Молекулярная спектроскопия
Guest
|
W@DIS
Онтологии трех атомных молекул
Онтологии состояний и переходов трехатомных молекул
Онтологии колебательных состояний и полос молекул
Онтологии информационных ресурсов по трехатомным молекулам
Приложения
Состояния
Поиск и сравнение источников информации
Мультимножество состояний
Парные отношения
Переходы
Поиск и сравнение данных
Мультимножество переходов
Парные отношения
Контур спектральных линий
Поиск и сравнение источников информации
Интенсивность. Мультимножество
Таблицы для расчёта спектров H2O с контурами линий Xартманна-Тран
Библиография
Монографии
Сборники статей
Статьи
Ссылки
Информация
Монографии
Микроволновая спектроскопия
1. ВОЗНИКНОВЕНИЕ
2. НЕМНОГО ОПРЕДЕЛЕНИЙ
3. КАК ЭТО ДЕЛАЕТСЯ
4. МОЛЕКУЛА И АТОМ ГЛАЗАМИ МИКРОВОЛНОВОЙ СПЕКТРОСКОПИИ
5. НЕСКОЛЬКО НОВЫХ НАПРАВЛЕНИЙ
6. СПЕКТРОСКОПИИ НЕТ КОНЦА
ЛИТЕРАТУРА
Методы спектроскопии высокого разрешения
1.ИЗМЕРЯЕМЫЕ ВЕЛИЧИНЫ
1.1. Энергетические состояния молекул
1.2. Тепловое распределение заселенности квантовых состояний
1.3. Интенсивность линии и коэффициент поглощения
1.4. Контур спектральной линии
1.5. Характеристики спектральной аппаратуры
2. КЛАССИЧЕСКИЕ СПЕКТРОМЕТРЫ
2.1. Дифракционные спектрометры
2.2. Схемы дифракционных спектрометров
2.3. Акустооптические спектрометры
2.4. Интерферометр Фабри-Перо
3. ФУРЬЕ-СПЕКТРОСКОПИЯ
3.1. Основы Фурье-спектроскопии
3.2. Ошибки в Фурье-спектроскопии
4. ЛАЗЕРНЫЕ СПЕКТРОМЕТРЫ
4.1. Лазерные спектрофотометры
4.2. Лазерные спектрометры с воздушным промежутком в резонаторе
4.3. Лазерный спектрофотометр с диодным лазером
4.4. Многоходовые лазерные кюветы
4.5. Внутрирезонаторная лазерная спектроскопия
4.6. Метод затухания излучения в резонаторе (ЗИР-спектроскопия)
4.7. Оптико-акустическая спектроскопия
5. МЕТОДЫ ОБРАБОТКИ ДАННЫХ
5.1. Синхронное детектирование
5.2. Корреляционная спектроскопия
5.3. Метод производной
6. АНАЛИТИЧЕСКИЕ ВОЗМОЖНОСТИ СПЕКТРАЛЬНОЙ АППАРАТУРЫ
6.1. Метод протяженной трассы с высоким спектральным разрешением
6.2. Затменное зондирование с борта космического аппарата
6.3. Затменное зондирование с поверхности Земли
6.4. Метод протяженной трассы с низким спектральным разрешением
ЗАКЛЮЧЕНИЕ
ЛИТЕРАТУРА
Введение в теорию колебательно – вращательных спектров молекул
ГЛАВА 1. Нормальные координаты, ...
1.1 Приближение Борна – Оппенгеймера
1.2 Система координат и нормальные колебательные координаты
1.3. Гамильтониан трехатомной молекулы в естественных координатах
ГЛАВА 2. Операторная теория возмущений
2.1. Эффективный вращательный гамильтониан
Молекулярные столкновения и спектры атмосферных газов
Аннотация
Оглавление
Введение
Уширение линий
Радиационное уширение
Допплеровское уширение
Совместное действие двух механизмов
Уширение линий столкновениями
Механизмы возмущения
Возможные приближения
Корреляционные функции
Общие соотношения в теории контура
Соотношения симметрии
Форма линий в адиабатическом приближении
Теория Андерсона
Метод Робера–Бонами
Интерференция линий
Пространство Лиувилля
Релаксационный оператор
Модель сильных столкновений
Модель варьируемого взаимодействия ветвей
Эффекты в центральной части полосы
Крылья полос
Квазистатическое приближение
Учет неадиабатичности
Эффект Дике
Индуцированные спектры
Механизмы индукции дипольного момента
Характерные черты индуцированных полос
Бинарные и многочастичные эффекты
Спектральные моменты полос
Бинарное приближение
Трансляционные спектры
Вращательные спектры
Колебательно-вращательные спектры
Одновременные переходы
Атмосферные наблюдения
Спектроскопия межмолекулярных взаимодействий. Нелинейные эффекты
Молекулярная спектроскопия
Библиография
2 атомные молекулы
HITRAN
Molecule
Isotopologue
Rus
|
Eng
|
..
Вверх
Поиск составных рисунков в публикациях
Статистика графических ресурсов
Функции и аргументы
Цитирующие графики
Статистика качества цитируемых графиков
Detailed CO2 statistics
Просмотр примитивных и составных графиков
Молекулярная спектроскопия (W@DIS)
»
Графические ресурсы
»
Атрибутивный поиск примитивных и составных графиков
» Поиск графиков в публикациях
Примитивный график
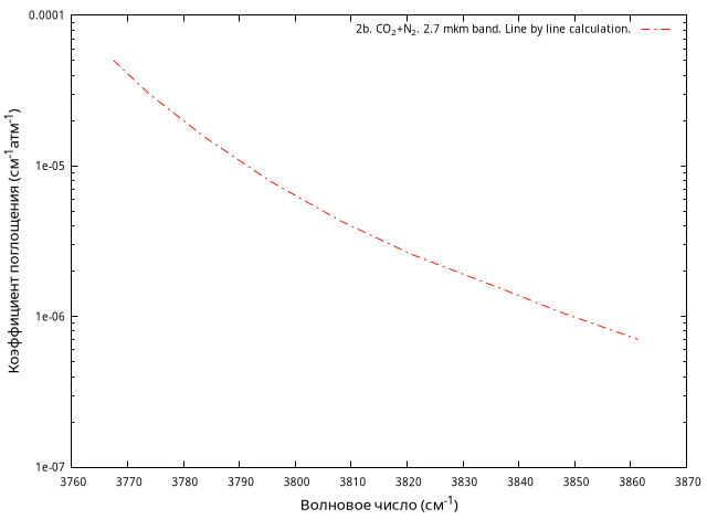
Рисунок 2b. CO₂+N₂. 2.7 mkm band. Line by line calculation.
Случай уширения азотом N
2
. Р
N2
=1 атм, Т=300°К, полинейный расчет. 2.7 μm, m=30, C
30
=1.8 10
-17
cm
-1
.
N
2
-broadening case.
Р
N2
= 1 atm, Т=300°K, experiment [2], approximation of a strong line, iine by line calculation.
2.7 μm, m=30, C
30
=1.8 10
-17
cm
-1
.
Библиографическая ссылка
Телегин Г.В., Фомин В.В.,
Расчет коэффициента поглощения в крыльях полос СО
2
, 5 Всесоюз. Симпозиум по распространению лазерного излучения в атмосфере. Ч. 3., Томск: ИОА СО АН СССР, Издательство ИОА,
1979
, Pages 152-156.
Annotation
Telegin G.V., Fomin V.V., Calculation of the absorption coefficient in the wings of CO
2
bands, Proceedings of 5 All-Union. Symposium on Propagation of Laser Radiation in the Atmosphere. Part 3., Tomsk: IOA SO AN SSSR, IOA Publishing House, 1979, Pages 152-156.
Издательство
Издательство ИОА.
Координатная система (Линейный, Логарифмический)
Ось абсцисс (X) (Размерность)
Волновое число (см⁻¹)
Ось ординат (Y) (Размерность)
Коэффициент поглощения (см⁻¹атм⁻¹)
Физические величины
Комментарий к графику
Дополнительное описание
Вещество
CO
2
+ N
2
Тип данных
Теоретические
Температура
300 К
Метод измерения (решения), Модель, Аппроксимация
Давление (полное)
1
атм
Па
Бар
Торр
мм рт.ст.
Происхождение данных
Оцифрованные
Давление (парциальное)
∅
Тип источника
Первичный
Длина пути (L)
∅
Плотность (d)
∅
Волновое число (T зависимость)
∅
Поиск примитивного или составного графика в списке статей
Выбор примитивного графика
-------------------
Рисунок 1. a
Рисунок 1. Optical thickness of water vapour (220K)
Рисунок 1. Optical thickness of water vapour (300K)
Рисунок 2. Elsasser W.M. (1938)
Рисунок 2. Experimental data
Рисунок 2. Fitting
Рисунок 1. a
Рисунок 4. Experiment (10 g/m³)
Рисунок 4. Experiment (50 g/m³)
Рисунок 4. Fitting (10 g/m³)
Рисунок 4. Fitting (50 g/m³)
Рисунок 1. a
Рисунок 1. b
Рисунок 1. c
Рисунок 1. d
Рисунок 1. a
Рисунок 1. b
Рисунок 1. c
Рисунок 1. d
Рисунок 1. e
Рисунок 1. f
Рисунок 1. g
Рисунок 1. h
Рисунок 1. i
Рисунок 1. The Absorption Spectra of Water Vapor
Рисунок 3. Water vapor atmospheric absorption coefficient. Experiment
Рисунок 3. Water vapor atmospheric absorption coefficient. Theory
Рисунок 1. Contour of the induced infrared absorption of hydrogen (T=80K)
Рисунок 1. Contour of the induced infrared absorption of hydrogen (T=300K)
Рисунок 7. Range 1-5.5 mkm
Рисунок 7. Range 7.5-14 mkm
Рисунок 1. a
Рисунок 1. a
Рисунок 1. b
Рисунок 1. c
Рисунок 1. d
Рисунок 1. e
Рисунок 1. f
Рисунок 1. g
Рисунок 1. h
Рисунок 1. i
Рисунок 2. Adel A. (1939) (700-1200 cm⁻¹)
Рисунок 2. Elsasser W.M. (1952) (300K, 500-1000 cm⁻¹)
Рисунок 2. Present measurements (800-1100 cm⁻¹)
Рисунок 1. a
Рисунок 1a
Рисунок 1. Absorption coefficients of water vapor (1250-1850 A)
Рисунок 1. a
Рисунок 2
Рисунок 1a
Рисунок 1. a
Рисунок 1. b
Рисунок 1a
Рисунок 1. a
Рисунок 1. b
Рисунок 11
Рисунок 1a
Рисунок 1a
Рисунок 4a. Absorption (%). Path length 1320 m
Рисунок 4a. Absorption (%). Path length 176 m
Рисунок 4a. Absorption (%). Path length 352 m
Рисунок 4a. Absorption (%). Path length 704 m
Рисунок 4a. Absorption (%). Path length 88 m
Рисунок 4b. Absorption (%). Total pressure 125 mm Hg
Рисунок 4b. Absorption (%). Total pressure 2 mm Hg
Рисунок 4b. Absorption (%). Total pressure 25 mm Hg
Рисунок 4b. Absorption (%). Total pressure 302 mm Hg
Рисунок 4b. Absorption (%). Total pressure 60 mm Hg
Рисунок 4b. Absorption (%). Total pressure 740 mm Hg
Рисунок 4c. Absorption (%). Partial pressure H₂O 16.3 mm Hg
Рисунок 4c. Absorption (%). Partial pressure H₂O 2 mm Hg
Рисунок 4c. Absorption (%). Partial pressure H₂O 5 mm Hg
Рисунок 4c. Absorption (%). Partial pressure H
2
O 10 mm Hg
Рисунок 4d. Absorption (%). Path length 704 m
Рисунок 4d. Absorption (%). Path length 352 m
Рисунок 1a
Рисунок 3. 4.3 mkm band. Calculation
Рисунок 3. 4.3 mkm band. Experiment
Рисунок 1. Elsasser W.M. et al. (1953). Absorption coefficient for the 15 mkm band of CO₂
Рисунок 1. Kaplan L.D. (1952). Absorption coefficient for the 15 mkm band of CO₂
Рисунок 4. Calc. (50 pr. cm)
Рисунок 4. Calc. (10 pr. cm)
Рисунок 4. Calc. (3 pr. cm)
Рисунок 4. Exp. (1.68 pr. cm)
Рисунок 4. Exp. ( 1.29 pr. cm)
Рисунок 4. Exp. (0.04 pr. cm)
Рисунок 4. Exp. (0.09 pr. cm)
Рисунок 4. Exp. (0.17 pr. cm)
Рисунок 4. Exp. (0.34 pr. cm)
Рисунок 4. Exp. (0.60 pr. cm)
Рисунок 4. Exp. (1.03 pr. cm)
Рисунок 4. Exp. (1.12 pr. cm)
Рисунок 1. Bottom curve
Рисунок 1. Center curve
Рисунок 1. Top curve
Рисунок 1a
Рисунок 1a
Рисунок 1. a
Рисунок 1. b
Рисунок 2. a
Рисунок 2. b
Рисунок 8. k₁. Vigroux, F. (1959)
Рисунок 5. Interpolation between 5 frequences
Рисунок 5. Present experiment
Рисунок 1. Low-resolution spectra of the 15-, 10.4-, and 9.4-mkm bands of CO₂. T=530R
Рисунок 1. low-resolution spectra of the 15-, 10.4-, and 9.4-mkm bands of CO₂, T=1500R
Рисунок 2. Low-resolution spectra of the 5.2-, 4.8-, and 4.3-mkm bands of CO₂. T=1500 R
Рисунок 2. Low-resolution spectra of the 5.2-, 4.8-, and 4.3-mkm bands of CO₂. T=530 R
Рисунок 3. Low-resolution spectra of the 2.7- and 2.0-mkm bands of CO₂ T=1500R
Рисунок 3. Low-resolution spectra of the 2.7- and 2.04-mkm bands of CO₂ T=530R
Рисунок 1a
Рисунок 4. Absorption coefficients of hot CO₂. Experiment
Рисунок 4. Absorption coefficients of hot CO₂
Рисунок 5. Absorption coefficients of CO₂. T=1220K. Experiment
Рисунок 5. Absorption coefficients of CO₂. T=1220K
Рисунок 1a
Рисунок 2a. Curve
Рисунок 2a. Line
Рисунок 2a.The frequency dependence of the absorption coefficient α for nitrogen (curve B)
Рисунок 2a.The frequency dependence of the absorption coefficient α for oxygen (curve A)
Рисунок 6. Absorption coefficients of the v₃ CO₂ band at 1200K
Рисунок 6. Absorption coefficients of the v₃ CO₂ band at 1600K
Рисунок 6. Absorption coefficients of the v₃ CO₂ band at 2000K
Рисунок 6. Absorption coefficients of the v₃ CO₂ band at 2400K
Рисунок 7. Absorption coefficients of the v₃ CO₂ band at 1400K
Рисунок 7. Absorption coefficients of the v₃ CO₂ band at 1800K
Рисунок 7. Absorption coefficients of the v₃ CO₂ band at 2200K
Рисунок 1. O₂+N₂ mixture
Рисунок 1. Pure O₂
Рисунок 1a
Рисунок 4. Watanabe, et al. (1953). Absorption coefficient of H2O
Рисунок 4a
Рисунок 1. Calculation using J.H. Van Vleck profile
Рисунок 1. Our calculation
Рисунок 11. Calculation using J.H. Van Vleck profile
Рисунок 11. Our calculation
Рисунок 15. Calculation using J.H. Van Vleck profile
Рисунок 15. Our calculation
Рисунок 8. Calculation using J.H. Van Vleck profile
Рисунок 8. Our calculation
Рисунок 1a
Рисунок 1a
Рисунок 1a
Рисунок 1a
Рисунок 1b
Рисунок 1a
Рисунок 1b
Рисунок 1. Burch Darrell E., et al. (1962). Experiment P=15.6 mmHg
Рисунок 1. The theoretical calculations of the transmittance. P=15.6 mm Hg
Рисунок 2. Burch Darrell E., et al. (1962). Experiment P=137 mmHg
Рисунок 2. The theoretical calculations of the transmittance. P=137 mm Hg
Рисунок 3. Burch Darrell E., et al. (1962). Experiment P=542 mmHg
Рисунок 3. The theoretical calculations of the transmittance. P=542 mm Hg
Рисунок 2. Calculated Lorentz absorption
Рисунок 2. Calculated modified Lorentz absorption
Таблица 2. Experimental absorption CO₂+CO₂
Рисунок 2. Experimental absorption CO₂
Таблица 3. Experimental absorption CO₂+N₂ ( p=1.25 atm)
Таблица 3. Experimental absorption CO₂+N₂ (p=0.25 atm)
Таблица 3. Experimental absorption CO₂+N₂ (p=0.5 atm)
Рисунок 3. P=0.25 atm. CO₂+N₂.
Рисунок 3. P=0.5 atm. CO₂+N₂
Рисунок 3. P=1.25 atm. CO₂+N₂
Рисунок 3. Self broadened curve
Таблица 4. p=0.25 atm. CO₂+O₂
Рисунок 4. P=0.25 atm. CO₂+O₂
Рисунок 4. P=0.5 atm. CO₂+O₂
Рисунок 4. P=1.25 atm. CO₂+O₂
Рисунок 4. Self broadened curve
Таблица 4. p=0.5 atm. CO₂+O₂
Таблица 4. p=1.25 atm. CO₂+O₂
Рисунок 2. J.H. Van Vleck
Рисунок 2. Our results
Рисунок 3. Becker, G.E., et al. (1946)
Рисунок 3. Bell Telephone Lab.
Рисунок 3. D.J.H.Wort (1962)
Рисунок 3. J.H. Van Vleck calculation
Рисунок 3. Our calculation
Рисунок 3. R.H.Dicke, et al. (1946)
Рисунок 3. Salomonovich A.E., et al. (1960)
Рисунок 3. The University of Texas
Рисунок 3. Zhevakin S.A., et al. (1958)
Рисунок 4. Our calculation
Рисунок 4. A.E.Salomonovich, et al. (1960)
Рисунок 4. Bell Telephone
Рисунок 4. D.J.H.Wort (1962)
Рисунок 4. E.Wolf, et al. (1962)
Рисунок 4. S.A.Zhevakin, et al. (1958)
Рисунок 4. Texas University
Рисунок 7. Spectral absorption coefficient
Рисунок 1a
Рисунок 1a
Рисунок 14-Presenr results
Рисунок 14. Heasty, R., et al. (1962)
Рисунок 14. N₂ spectrum
Рисунок 14. Theoretical
Рисунок 15. Heastie, R., et al. (1962)
Рисунок 15. Present results
Рисунок 12. Golay Detector
Рисунок 12. In-Ge Detector
Рисунок 16. (Thick gas) calculation (a=0.0281)
Рисунок 16. (Thick gas) calculation (a=0.0351)
Рисунок 16. (Thin gas) calculation
Рисунок 16. K.E. Nelson (1959). Experimental data
Рисунок 17. (Thick gas) calculation (a = 0.0482)
Рисунок 17. (Thick gas) calculation (a = 0.241)
Рисунок 17. (Thin gas) calculation
Рисунок 17. Nelson. Experimental data
Рисунок 18. (Thick gas) calculation (0.295)
Рисунок 18. (Thick gas) calculation (a=0.059)
Рисунок 18. (Thin gas) calculation
Рисунок 18. Nelson (1959). Experimental data
Рисунок 2. The fundamental absorption band of O₂
Рисунок 2. The oxygen-argon mixture, p[Ar] = 56.9 Amagats
Рисунок 2. The oxygen-nitrogen mixture. p[N₂]=56 Amagats
Рисунок 2. d
Рисунок 7
Рисунок 8
Рисунок 1a
Рисунок 1a
Рисунок 1. a
Рисунок 1. b
Рисунок 1. c
Рисунок 6. 7.5 mm of H₂O, 750 mm of a hypothetical broadener similar to H₂O
Рисунок 6. AC (H₂O + CO₂). (7.5 mm (H₂O), 750 mm (CO₂), 100-300 GHz)
Рисунок 6. AC (H₂O + N₂) (7.5 mm (H₂O), 750 mm (N₂), 100-300 GHz)
Рисунок 6. AC (H₂O). (7.5 mm (H₂O), 750 mm (N₂), 100-300 GHz) (Van Fleck, calculated)
Рисунок 6. C.W. Tolbert, et al. (1958) (144.38 GHz)
Рисунок 6. This work (120-300 Gc, 750 mm)
Рисунок 6. This work (150-300 Gc, 750 mm)
Рисунок 4. Measurements by the varying humidity
Рисунок 4. S.A. Zhevakin et al. (1963)
Рисунок 4. Varying distance method
Рисунок 1. Experimental values of the absorption coefficient
Рисунок 1. Theoretical values of the absorption coefficient
Рисунок 3. Absorption coefficient of atmospheric water vapor dimers
Рисунок 3. Absorption coefficient of water dimers. Experiment
Рисунок 4. Absorption coefficient of atmospheric water vapor monomers (Calculation)
Рисунок 4. Absorption coefficient of atmospheric water vapor monomers. (Experiment)
Рисунок 1. Calculation
Рисунок 1. Experiment (Texas University) (1959, 1960, 1961)
Рисунок 1. Experiment. D.J.H.Wort (1962)
Рисунок 1. Experiment. M.Cohn, et al (1963)
Рисунок 1. a. Experiment, distance variation, NIRFI (1963)
Рисунок 1. a. Experiment, humidity variation, NIRFI (1964)
Рисунок 1. b. Experiment, distance variation, NIRFI (1964)
Рисунок 1. b. Experiment, humidity variation, NIRFI (1964)
Рисунок 1. c. Experiment, humidity variation, NIRFI (1964)
Рисунок 5. G. Birnbaum, et al. (1962)
Рисунок 5. H. A. Gebbie, et al. (1963)
Рисунок 5. L. Frenkel, et al. (1966)
Рисунок 5. Rotational Line Shape
Рисунок 5. This work (Theory)
Рисунок 5. This work
Рисунок 5. Translational Line Shape
Рисунок 1a
Рисунок 1a
Рисунок 2. Absorption coefficient of water dimers in Earth's atmosphere
Рисунок 2. Absorption coefficient of water monomer in Earth's atmosphere
Рисунок 1. Calculations using method of C. B. Ludwig et al.
Рисунок 1. K.E.Nelson (1959)
Рисунок 1. Our calculations
Рисунок 1. Our measurement (2 atm)
Рисунок 1. Our measurement (20 atm)
Рисунок 1. Our measurement (25 atm)
Рисунок 1a
Рисунок 1a
Рисунок 1a
Рисунок 1a
Рисунок 8. M. Schurgers et al. (1968)
Рисунок 4. Atmospheric water wapour. (Experiment)
Рисунок 4. Fitting
Рисунок 4. Absorption coefficient (CO₂+CO₂, 3770-4100 cm⁻¹). Approximation
Рисунок 4. Absorption coefficient (CO₂+CO₂, 3770-4100 cm⁻¹). Experiment
Рисунок 4. Absorption coefficient (CO₂+N₂, 3770-4100 cm⁻¹). Approximation
Рисунок 4. Absorption coefficient (CO₂+N₂, 3770-4100 cm⁻¹). Experiment
Рисунок 4. Calculated absorption coefficient (W. S. Benedict line parameters) (300K, 0-35 cm⁻¹)
Рисунок 4. Calculated absorption coefficient. (W. S. Benedict line parameters) (300K, 0-35 cm⁻¹)
Рисунок 4. Calculated absorption coefficient. (W. S. Benedict line parameters) (300K, 0-35 cm⁻¹)
Рисунок 4. Frenkel, R.L. et al. (1966) (0.8-10 cm⁻¹)
Рисунок 4. G.E. Becker, et al. (1946) (0.6-1.15 cm⁻¹)
Рисунок 4. Hall J.T. (1967) (300K, 0-35 cm⁻¹)
Рисунок 4. Present work (300K, 13-35 cm⁻¹)
Рисунок 4. Straiton, A.W. et al. (1960) (0.5-5 cm⁻¹)
Рисунок 5. Absorption coefficient (296K, 0-35 cm⁻¹)
Рисунок 5. Absorption coefficient (296K, 0.1 atm, 0-35 cm⁻¹)
Рисунок 5. Continuum. (296K, 0-35 cm⁻¹)
Рисунок 6. Sample1-Experiment (18-36 cm⁻¹)
Рисунок 6. Sample1-Th-A (18-36 cm⁻¹)
Рисунок 6. Sample1-Th-B (18-36 cm⁻¹)
Рисунок 6a. Sample2-Experiment
Рисунок 6a. Sample2-Th-C
Рисунок 6a. Sample2-Th-D
Рисунок 6a. Sample2-Th-E
Рисунок 6b. Sample3-Exp (18-36 cm⁻¹)
Рисунок 6b. Sample3-Th-F (18-36 cm⁻¹)
Рисунок 6b. Sample3-Th-G (18-36 cm⁻¹)
Рисунок 6c. Sample4-Exp (18-36 cm⁻¹)
Рисунок 6c. Sample4-Th-H (18-36 cm⁻¹)
Рисунок 6c. Sample4-Th-J (18-36 cm⁻¹)
Рисунок 7. T'(v)
Рисунок 7. T
calc
(v)
Рисунок 7. The observed data
Рисунок 2. Water absorption coefficient (400K, 600-1000 cm⁻¹)
Рисунок 2. Water absorption coefficient (450K, 600-1000 cm⁻¹)
Рисунок 2. Water absorption coefficient (500K, 600-1000 cm⁻¹)
Рисунок 3. Water absorption coefficient (460K, 600-1000 cm⁻¹)
Рисунок 3. Water absorption coefficient (480K, 600-1000 cm⁻¹)
Рисунок 3. Water absorption coefficient (500K, 600-1000 cm⁻¹)
Рисунок 1a
Рисунок 6. The empirical profile
Рисунок 6. The fitted curve
Рисунок 6a. The empirical profile
Рисунок 6a. The fitted curve
Рисунок 7. The experimental data
Рисунок 7. The fitted curve
Рисунок 7. The individual component of the left peak
Рисунок 7. The individual component of the right peak
Рисунок 7. The sum of dashed curves
Рисунок 7a. The experimental data (300K, 9200-9800 cm⁻¹)
Рисунок 7a. The individual component (1)
Рисунок 7a. The individual component (2)
Рисунок 7a. The sum the individual components
Рисунок 1. Absorbance of O₂. (300K, 15600-16200 cm⁻¹)
Рисунок 1. Absorbance of O₂. (87K, 15600-16200 cm⁻¹)
Рисунок 2. The lower spectrum
Рисунок 2. The upper spectrum
Рисунок 1. 7.5 cm⁻¹ new feature
Рисунок 1. 14.9 cm⁻¹ monomeric absorption
Рисунок 1. A dimeric origin for the quadratic absorption
Рисунок 1. Least-squares fits to the data
Рисунок 2. Experiment
Рисунок 2. Theory
Рисунок 1a
Рисунок 1. Spectral curve. Sample A. (7000 cm⁻¹)
Рисунок 1. Spectral curve. Sample B. (7000 cm⁻¹)
Рисунок 1. Spectral curve. Sample C. (7000 cm⁻¹)
Рисунок 10. Mixture CO₂+Ar. Exp. (2400-2570 cm⁻¹)
Рисунок 10. Mixture CO₂+Ar. Theor. (2400-2570 cm⁻¹)
Рисунок 10. Mixture CO₂+N₂. Exp. (2400-2570 cm⁻¹)
Рисунок 10. Mixture CO₂+N₂. Theor. (2400-2570 cm⁻¹)
Рисунок 10. Mixture CO₂. Exp. (2400-2570 cm⁻¹)
Рисунок 10. Mixture CO₂. Theor. (2400-2570 cm⁻¹)
Рисунок 11. Pure CO₂. (T=296K, 7000 cm⁻¹)
Рисунок 11. Pure CO₂. (T=431K, 7000 cm⁻¹) Case 1
Рисунок 11. Pure CO₂. (T=431K, 7000 cm⁻¹) Case 2
Рисунок 12. Mixture CO₂+He. (T=296K, 7000 cm⁻¹)
Рисунок 12. Mixture CO₂+N₂. (T=296K, 7000 cm⁻¹)
Рисунок 12. Mixture CO₂+N₂. (T=431K, 7000 cm⁻¹)
Рисунок 12.Pure CO₂. (T=296K, 7000 cm⁻¹)
Рисунок 13. Mixture CO₂+Ar. (3800 cm⁻¹, T=296K)
Рисунок 13. Mixture CO₂+H₂. (3800 cm⁻¹, T=296K)
Рисунок 13. Mixture CO₂+He. (3800 cm⁻¹, T=296K)
Рисунок 13. Mixture CO₂+N₂. (3800 cm⁻¹, T=296K)
Рисунок 13. Mixture CO₂+O₂. (3800 cm⁻¹, T=296K)
Рисунок 13. Pure CO₂. (3800 cm⁻¹, T=296K)
Рисунок 14. Сorrection factor of the Lorentz line shape. CO₂+Ar. (2400 cm⁻¹, T=296K)
Рисунок 14. Сorrection factor of the Lorentz line shape. CO₂+N₂. (2400 cm⁻¹, T=296K)
Рисунок 14. Сorrection factor of the Lorentz line shape. CO₂. (2400 cm⁻¹, T=296K)
Рисунок 15. b. Calculated results
Рисунок 15a. 1
Рисунок 15a. 2
Рисунок 15b. Experimental results
Рисунок 15b. Values calculated on the basis of the same correction factor (a0=0.092 cm⁻¹)
Рисунок 16a. Curve A
Рисунок 16a. Curve B
Рисунок 16a. Curve C
Рисунок 16a. Curve D
Рисунок 16a. Curve E
Рисунок 16b. A. Experiment
Рисунок 16b. Calculation with contour A
Рисунок 16b. Calculation with contour B
Рисунок 16b. Calculation with contour C
Рисунок 16b. Calculation with contour D
Рисунок 16b. Calculation with contour E
Рисунок 2. Spectral curve in the 3800 cm⁻¹. Sample A. Estimated contribution
Рисунок 2. Spectral curve in the 3800 cm⁻¹. Sample A
Рисунок 2. Spectral curve in the 3800 cm⁻¹. Sample B
Рисунок 2. Spectral curve in the 3800 cm⁻¹. Sample C. Estimated contribution
Рисунок 2. Spectral curve in the 3800 cm⁻¹. Sample C
Рисунок 3. Spectral curve in the 2400 cm⁻¹. Sample A
Рисунок 3. Spectral curve in the 2400 cm⁻¹. Sample B
Рисунок 4. P branch
Рисунок 4. R branch
Рисунок 5. Spectral curve. Sample A
Рисунок 5. Spectral curve. Sample B
Рисунок 5. Spectral curve. Sample C
Рисунок 5. Spectral curve. Sample D
Рисунок 6. Approximation of experimental results
Рисунок 6. Band head
Рисунок 6. Sample having the following total pressures =< 2 atm
Рисунок 6. Sample having the following total pressures ~ 8 - 10 atm
Рисунок 6. The Lorentz curve
Рисунок 6. The WSB curve represents calculated results based on the WSB line shape
Рисунок 6. The sample having the following total pressure 15 atm
Рисунок 7. Mixture CO₂+He. Exp. (6990-7010 cm⁻¹)
Рисунок 7. Mixture CO₂+He. Theor. (6990-7010 cm⁻¹)
Рисунок 7. Mixture CO₂+N₂. Exp. (6990-7010 cm⁻¹)
Рисунок 7. Mixture CO₂+N₂. Theor. (6990-7010 cm⁻¹)
Рисунок 7. Mixture CO₂. Exp. (6990-7010 cm⁻¹)
Рисунок 7. Mixture CO₂. Theor. (6990-7010 cm⁻¹)
Рисунок 8. CO₂+CO₂ (3770 - 4100 cm⁻¹). Approximation
Рисунок 8. CO₂+CO₂ (3770 - 4100 cm⁻¹). Experiment
Рисунок 8. CO₂+N₂ (3770 - 4100 cm⁻¹). Approximation
Рисунок 8. CO₂+N₂ (3770 - 4100 cm⁻¹). Experiment
Рисунок 9. CO₂+Ar (3770 - 3860 cm⁻¹). Approximation
Рисунок 9. CO₂+Ar (3770 - 3860 cm⁻¹). Experiment
Рисунок 9. CO₂+CO₂ (3770 - 3860 cm⁻¹). Approximation
Рисунок 9. CO₂+H₂ (3770 - 3860 cm⁻¹). Approximation
Рисунок 9. CO₂+H₂ (3770 - 3860 cm⁻¹). Experiment
Рисунок 9. CO₂+He (3770 - 3860 cm⁻¹). Approximation
Рисунок 9. CO₂+He (3770 - 3860 cm⁻¹). Experiment
Рисунок 9. CO₂+N₂ (3770 - 3860 cm⁻¹). Approximation
Рисунок 9. CO₂+O₂ (3770 - 3860 cm⁻¹). Approximation
Рисунок 9. CO₂+O₂ (3770 - 3860 cm⁻¹). Experiment
Рисунок 6. Experiment
Рисунок 6. Present calculation
Рисунок 6. Stull V.R., et al. (1965). Calculation
Рисунок 1a
Рисунок 1a
Рисунок 1b
Рисунок 1. Transmittance (243K, 6600-7500 cm⁻¹)
Рисунок 1. Transmittance (303K, 6600-7500 cm⁻¹)
Рисунок 1. Transmittance (393K, 6600-7500 cm⁻¹)
Рисунок 1a. (243K)
Рисунок 1a. (303K)
Рисунок 1a. (393K)
Рисунок 3. (353.15K, w=10 oc.cm)
Рисунок 3. (353.15K, w=2.5 oc.cm)
Рисунок 3. (393.15K, w=10 oc.cm)
Рисунок 3. (393.15K, w=2.5 oc.cm)
Рисунок 1b. (o=0.55 oc.cm)
Рисунок 1b. (o=10 oc.cm)
Рисунок 1b. (o=2.5 oc.cm)
Рисунок 4. (Calculation. o=10 oc.cm)
Рисунок 4. (Calculation. o=2.5 oc.cm)
Рисунок 4. (Experiment. o=2.5 oc.cm)
Рисунок 4. Experiment. o=10 oc.cm. Moskalenko N.I. (1969)
Рисунок 1a
Рисунок 1a
Рисунок 1. Water absorption spectra. N.Wainfan, et al. (1966)
Рисунок 1. Water absorption spectra. P.H. Metzger et al. (1964)
Рисунок 1. Water absorption spectra
Рисунок 2a
Рисунок 10. Approximation (296K, 600-1300 mkm)
Рисунок 10. Approximation (358K, 600-1300 mkm)
Рисунок 10. Approximation (388K, 600-1300 mkm)
Рисунок 10. Present experiment (296K, 600-1300 mkm)
Рисунок 10. Present experiment (358K, 600-1300 mkm)
Рисунок 10. Present experiment (388K, 600-1300 mkm)
Рисунок 4. Bolle, H. J. (1964) (Beer Sheva)
Рисунок 4. Bolle, H. J. (1964) (Munich)
Рисунок 4. Bolle, H. J. (1964) (S.Agata)
Рисунок 4. Bolle, H. J. (1964) (Yungfraujoch)
Рисунок 4. Present work (extrapolated)
Рисунок 4. Present work
Рисунок 8. H. Bolle, et al. (1963)
Рисунок 8. K. Bignell, et al. (1963). k₁.
Рисунок 8. k₁. Anthony, R. (1952)
Рисунок 8. k₁. Bolle, (1964)
Рисунок 8. k₁. Palmer, C. H. Jr. (1957)
Рисунок 8. k₁. Roach, W.T., et al. ( 1958)
Рисунок 8. k₁. Roach, W.T., et al. (1958)
Рисунок 8. k₁. Taylor and Yates (1957)
Рисунок 8. k₁. Vigroux, F. (1959)
Рисунок 8. k₁. Yates et al. (1960)
Рисунок 8. k₂. Palmer, C. H. Jr. (1957)
Рисунок 8. k₂. Present work
Рисунок 1. Ar+H₂O (248K)
Рисунок 1. Ar+H₂O (298K)
Рисунок 1. a
Рисунок 1. (b) CO₂+CO¹⁸O (192K)
Рисунок 1. (c) Free-free collisions
Рисунок 1. (d)=(b)-(c)
Рисунок 1. Observed spectrum CO₂ (192K)
Рисунок 1a. v₁
d
band
Таблица 2a. Absorption coefficient of the CO₂ continuum
Таблица 2b. Cross section of the CO₂ continuum
Рисунок 5. Absorption coefficients of CO₂. (1960-2170 A)
Рисунок 5.Absorption coefficients of CO₂ in the region 1880-2160 A
Рисунок 6. Absorption coefficients of CO₂. (1800-1850 A)
Рисунок 6. Absorption coefficients of CO₂. (1840-1885 A)
Рисунок 7. Absorption coefficients of CO₂. (1720-1780 A)
Рисунок 7. Absorption coefficients of CO₂. (1760-1820 A)
Рисунок 8. Absorption cross sections of CO₂ continuum. Computation
Рисунок 8. Absorption cross sections of CO₂ continuum. Experiment
Рисунок 1a
Рисунок 1b
Рисунок 1c
Рисунок 1a
Рисунок 1a
Рисунок 1b
Рисунок 2. Spectral transmittance. p= 14.6 atm, L=32.9 m
Рисунок 2. Spectral transmittance. p=3.70 atm, L=32.9 m
Рисунок 1. 2400 cm⁻¹. Approximated data
Рисунок 1. 2400 cm⁻¹. Interpolated data
Рисунок 1. 2400 cm⁻¹. Original data
Рисунок 1. 2450 cm⁻¹. Approximated data
Рисунок 1. 2450 cm⁻¹. Interpolated data
Рисунок 1. 2450 cm⁻¹. Original data
Рисунок 1. 2500 cm⁻¹. Approximated data
Рисунок 1. 2500 cm⁻¹. Interpolated data
Рисунок 1. 2500 cm⁻¹. Original data
Рисунок 1. 2550 cm⁻¹. Approximated data
Рисунок 1. 2550 cm⁻¹. Interpolated data
Рисунок 1. 2550 cm⁻¹. Original data
Рисунок 1. 2600 cm⁻¹. Approximated data
Рисунок 1. 2600 cm⁻¹. Interpolated data
Рисунок 1. 2600 cm⁻¹. Original data
Рисунок 2. Approximated curve (338K, 2400-2829cm⁻¹)
Рисунок 2. Approximated curve (384K, 2400-2829cm⁻¹)
Рисунок 2. Approximated curve (428K, 2400-2829cm⁻¹)
Рисунок 2. Experimental points (338K, 2400-2829cm⁻¹)
Рисунок 2. Experimental points (384K, 2400-2829cm⁻¹)
Рисунок 2. Experimental points (428K, 2400-2829cm⁻¹)
Рисунок 2. Extrapolated curve (296K, 2400-2829cm⁻¹)
Рисунок 2. Extrapolated curve (296K, 2400-2829cm⁻¹)
Рисунок 1. Experiment (233K, 0-250 cm⁻¹)
Рисунок 1. Experiment (296K, 0-250 cm⁻¹)
Рисунок 1. Far-infrared spectrum (233K, 0-250 cm⁻¹)
Рисунок 1. Fitting (296K, 0-250 cm⁻¹)
Рисунок 1. The profile of the bar spectrum
Рисунок 2
Рисунок 3. Experiment (333K, 0-220 cm⁻¹)
Рисунок 3. Fitting (333K, 0-220 cm⁻¹)
Рисунок 1. Experimental (87.4K, 1400-1750 cm⁻¹)
Рисунок 1. Theoretical result with the doublet. (87.4K, 1400-1750 cm⁻¹)
Рисунок 1. Theoretical. (87.4K, 1400-1750 cm⁻¹)
Рисунок 1. Absorption profiles of the v₁ band at 296K
Рисунок 1. Absorption profiles of the v₁ band at 474K
Рисунок 4. Calculated absorption (1200-1600 cm⁻¹)
Рисунок 4. Observed absorption (1200-1600 cm⁻¹)
Рисунок 1. M.M.Shapiro, et al. (1966)
Рисунок 1. Present work
Рисунок 1. Shapiro, M. M. (1960)
Рисунок 3. Absorption coefficient of O₂. (1.06 mkm; 2.91 amagat; 90K)
Рисунок 3. Absorption coefficient of O₂. (1.06 mkm; 4.98 amagat; 112K)
Рисунок 3a. O₂ (1.26 mkm; 2.91 amagat; 90K)
Рисунок 3a. O₂ (1.26 mkm; 4.98 amagat; 112K)
Рисунок 4. Absorption coefficient of O₂. (5770 A; 2.66 amagat; 90K)
Рисунок 4. Absorption coefficient of O₂. (5770 A; 4.42 amagat; 295K)
Рисунок 4. Absorption coefficient of O₂. (5770 A; 5.61 amagat; 113K)
Рисунок 4a. O₂ (6290 A; 2.66 amagat; 90K)
Рисунок 4a. O₂ (6290 A; 4.42 amagat; 295K)
Рисунок 4a. O₂ (6290 A; 5.61 amagat; 113K)
Рисунок 5. Absorption coefficient (113K, 20760-20300 cm⁻¹)
Рисунок 5. Absorption coefficient (295K, 20760-20300 cm⁻¹)
Рисунок 5. Absorption coefficient (90K, 20760-20300 cm⁻¹)
Рисунок 1a
Рисунок 1. A.A.Viktorova et al. (1970) (6-9 cm⁻¹)
Рисунок 1. Calculation of total AC for water monomer and dimer (6-9 cm⁻¹)
Рисунок 1. Experimental data (6-9 cm⁻¹)
Рисунок 1. H₂O monomer (293K, 6-9 cm⁻¹)
Рисунок 2. Bastin, J.A. (1966) (293K, 6-9 cm⁻¹)
Рисунок 2. Cohn, M., et al. (1963) (293K, 7.5 cm⁻¹)
Рисунок 2. Dryageen, et al. (1966) (293K, 6-7.5 cm⁻¹)
Рисунок 2. Frenkel, L. et al. (1966) (293K, 9 cm⁻¹)
Рисунок 2. Gaitskell, J.N., et al. (1969) (293K, 7.4 cm⁻¹)
Рисунок 2. Malyshenko Yu.I. (1969) (293K, 7.4 cm⁻¹)
Рисунок 2. Our calculation
Рисунок 2. Our experiment
Рисунок 2. Ryadov, V. Y., et al. (1966) (293K, 8.6-8.9 cm⁻¹)
Рисунок 3. Experimental data
Рисунок 3. Theoretical values
Рисунок 4. Experitmental values
Рисунок 4. Theoretical values
Рисунок 5. Calculated values of the resultant absorption coefficient
Рисунок 5. Calculation for H₂O monomers
Рисунок 5. Experimental values
Рисунок 5. Fitting
Рисунок 2. (He + C₂H₆) Calculated spectrum
Рисунок 2. (He + C₂H₆) Experimental result
Рисунок 2. (He + CH₄) Calculated spectrum
Рисунок 2. (He + CH₄) Experimental result
Рисунок 2. (He + CO₂) Calculated spectrum
Рисунок 2. (He + CO₂) Experimental result
Рисунок 2. (He + N₂) Calculated spectrum
Рисунок 2. (He + N₂) Experimental result
Рисунок 1. Yurganov L.P., et al. (1972)
Рисунок 1. Water vapour transmittance. (P=158 Bar)
Рисунок 1. Water vapour transmittance. (P=2.8 Bar)
Рисунок 1. Water vapour transmittance. (P=27.5 Bar)
Рисунок 1. Water vapour transmittance. (P=76 Bar)
Рисунок 1. Water vapour transmittance. (P=8.7 Bar)
Рисунок 2. Optical density (350C, 158 Bar, 3100-4100 cm⁻¹)
Рисунок 2. Optical density (350C, 28 Bar, 3100-4100 cm⁻¹)
Рисунок 2. WD dimers. Optical density (350C, 158 Bar, 3100-4100 cm⁻¹)
Рисунок 2. Water monomers. Optical density (350C, 158 Bar, 3100-4100 cm⁻¹)
Рисунок 11. Kinetic line shape equation
Рисунок 11. Van Vleck line shape
Рисунок 11. Kinetic line shape equation
Рисунок 11. Kinetic line shape equation
Рисунок 11. Measurement
Рисунок 11. Modification takes into account Benedict parameter
Рисунок 11. Van Vleck line shape
Рисунок 11. Van Vleck line shape
Рисунок 1. M.M.Shapiro et al. (1966)
Рисунок 1b
Рисунок 1c
Рисунок 2. R.P. Blickensderfer, et al. (1969) (300K, 17000-17800 cm⁻¹)
Рисунок 2. The visible spectra of oxygen gas (87.3K, 17000-17800 cm⁻¹)
Рисунок 2. The visible spectra of oxygen gas at 87.3K
Рисунок 1a
Рисунок 2. The total absorption (σ
T
)
Рисунок 2b
Рисунок 3a
Рисунок 3b
Рисунок 1. Calculation on dispersion contour
Рисунок 1. Calculation on modified dispersion contour
Рисунок 1. Calculation on statistical contour
Рисунок 1. The results of this work (p=0.25 atm)
Рисунок 1. The results of this work (p=0.5 atm)
Рисунок 1. The results of this work (p=1.25 atm)
Рисунок 1. Winters B.H., et al. (1964). Experimental data (p=0.25 atm)
Рисунок 1. Winters B.H., et al. (1964). Experimental data (p=0.5 atm)
Рисунок 1. Winters B.H., et al. (1964). Experimental data (p=1.25 atm)
Рисунок 1. Calculation based on the dispersion contour
Рисунок 1. Calculation based on the modified dispersion contour [1]
Рисунок 1. Calculation based on the statistical contour
Рисунок 1. Results of this work, Delta = 10-5 cm7
Рисунок 1. Results of this work, Delta = 10-7 cm7
Рисунок 1. Results of this work, Delta = 10-9 cm7
Рисунок 1. Winters B.H., et al. (1964). Experiment p=0.25 atm
Рисунок 1. Winters B.H., et al. (1964). Experiment p=0.5 CO₂ + N₂
Рисунок 1. Winters B.H., et al. (1964). Experiment p=1.25 atm CO₂ + N₂
Рисунок 1a. Absorption coefficient in the band edge of 1.4 mkm. CO₂+CO₂. Original calculation
Рисунок 1a. Absorption coefficient in the band edge of 1.4 mkm. CO₂+N₂. Original calculation
Рисунок 1a. Burch D.E., et al. (1969). Absorption coefficient in the band edge of 1.4 mkm. CO₂+CO₂
Рисунок 1a. Burch D.E., et al. (1969). Absorption coefficient in the band edge of 1.4 mkm. CO₂+N₂
Рисунок 1b. Absorption coefficient in the band edge of 2.7 mkm. CO₂+CO₂. Original calculation
Рисунок 1b. Absorption coefficient in the band edge of 2.7 mkm. CO₂+N₂. Original calculation
Рисунок 1b. Burch D.E., et al. (1969). Absorption coefficient in the band edge of 2.7 mkm. CO₂+CO₂
Рисунок 1b. Burch D.E., et al. (1969). Absorption coefficient in the band edge of 2.7 mkm. CO₂+N₂
Рисунок 1c. Absorption coefficient in the band edge of 4.3 mkm. CO₂+CO₂. Calculation
Рисунок 1c. Absorption coefficient in the band edge of 4.3 mkm. CO₂+N₂. Calculation
Рисунок 1c. Burch D.E., et al. (1969). Absorption coefficient in the band edge of 4.3 mkm. CO₂+CO₂
Рисунок 1c. Burch D.E., et al. (1969). Absorption coefficient in the band edge of 4.3 mkm. CO₂+N₂
Рисунок 2. Calculation on data [5]
Рисунок 2. Calculation on data [9]
Рисунок 3. Burch D.E., et al. (1969). Experimental data
Рисунок 3. Calculation according to the data [9]
Рисунок 1a
Рисунок 1. (P=20 mBar, 700-1200 cm⁻¹)
Рисунок 1. (P=6 mBar, 700-1200 cm⁻¹)
Рисунок 1. Bignell K.J., et al. (1963) (700-1200 cm⁻¹)
Рисунок 1. Kondratiev K.Ya., et al. (1965) (700-1200 cm⁻¹)
Рисунок 1. Observed spectrum (360K, 3200-4100 cm⁻¹)
Рисунок 1. WD spectrum (360K, 3400-3900 cm⁻¹)
Рисунок 1. Water monomer spectrum (360K, 3200-4100 cm⁻¹)
Рисунок 1a. Observed spectrum (360K, 3200-4100 cm⁻¹)
Рисунок 1a. WD spectrum (360K, 3200-4100 cm⁻¹)
Рисунок 1a. Water monomer spectrum (360K, 3200-4100 cm⁻¹)
Рисунок 1b. Observed spectrum (360K, 3200-4100 cm⁻¹)
Рисунок 1b. WD spectrum (360K, 3200-4100 cm⁻¹)
Рисунок 1b. Water monomer spectrum (360K, 3200-4100 cm⁻¹)
Рисунок 1c. Observed spectrum (360K, 3200-4100 cm⁻¹)
Рисунок 1c. WD spectrum (360K, 3200-4100 cm⁻¹)
Рисунок 1c. Water monomer spectrum (360K, 3200-4100 cm⁻¹)
Рисунок 2. Confidence interval
Рисунок 2. Confidence interval
Рисунок 2. Experimental data
Рисунок 2. BNS potential
Рисунок 2. Calculated for PKC potential (0.5 kcal/mole)
Рисунок 2. Calculated for PKC potential (1.0 kcal/mole)
Рисунок 2. DBP potential with dispersion forces
Рисунок 2. DBP potential without dispersion forces
Рисунок 2. Fitting of experimental data
Рисунок 8. DBP potential with dispersion forces
Рисунок 8. DBP potentials calculated with dispersion forces
Рисунок 8. Fitting of experimental data
Рисунок 8. J.E. Harries, et al. (1969)
Рисунок 8. J.E. Harries, et al. (1970)
Рисунок 8. R.A. Bohlander, et al. (1970)
Рисунок 1a
Рисунок 6. Experimental results
Рисунок 6. Frenkel, L. et al (1966)
Рисунок 6. Ho, W., et al. (1971)
Рисунок 6. Present results
Рисунок 6a. Present work.Experiment
Рисунок 6a. Present work
Рисунок 6a. W. Ho, et al. (1971)
Рисунок 1. Burch D.E., et al. (1969). Experiment
Рисунок 1. This work (Т=295K, 6800-7100 cm⁻¹). Calculation
Рисунок 1. This work (Т=430K, 6800-7100 cm⁻¹). Calculation
Рисунок 1. Absorption Coefficient (8-12 mkm, 300K)
Рисунок 2. Bignell K.J., et al. (1963)
Рисунок 2. Kondratyev, K.Ya., (1965)
Рисунок 2. Original data. (e₀=15 mb, t₀=22C)
Рисунок 2. Original data. (e₀=5 mb, t₀=5C)
Рисунок 1. Tabular original continuum coefficient
e
C⁰
N
₂ (296 K, 338-822 cm⁻¹)
Рисунок 1. Tabular original continuum coefficient
e
C⁰
N
₂ (430K, 338-822 cm⁻¹)
Таблица 1. Tabular original continuum coefficient
e
C⁰
s
(296K, 300-850 cm⁻¹)
Рисунок 1. Tabular original continuum coefficient
e
C⁰
s
(430K, 338-822 cm⁻¹)
Рисунок 8. A. Thompson, et al. (1963)
Рисунок 8. A.H. Laufer et al (1965)
Рисунок 8. K. Watanabe et al (1953)
Рисунок 8. M. Schurgers, et al. (1968)
Рисунок 1a
Рисунок 1b
Рисунок 1a
Рисунок 1a
Рисунок 1a
Рисунок 5. N₂ gas
Рисунок 5. N₂(ls)
Рисунок 1. (CH₄) Calculated spectrum
Рисунок 1. (CH₄) Measured spectrum
Рисунок 2. (CH₄) Calculated spectrum
Рисунок 2. (CH₄) Measured spectrum
Рисунок 1. Absorpton coefficient. (2400-2480 cm⁻¹, T=300K). Experiment
Рисунок 1. Absorpton coefficient. (2400-2480 cm⁻¹, T=300K). Fitting
Рисунок 1. Absorpton coefficient. (2400-2480 cm⁻¹, T=473K). Experiment
Рисунок 1. Absorpton coefficient. (2400-2480 cm⁻¹, T=473K). Fitting
Рисунок 1. Absorpton coefficient. (2400-2480 cm⁻¹, T=673K). Experiment
Рисунок 1. Absorpton coefficient. (2400-2480 cm⁻¹, T=673K). Fitting
Рисунок 2. Absorpton coefficient. (2400-2480 cm⁻¹, T=300K). Experiment
Рисунок 2. Absorpton coefficient. (2400-2480 cm⁻¹, T=300K). Fitting
Рисунок 2. Absorpton coefficient. (2400-2480 cm⁻¹, T=473K). Experiment
Рисунок 2. Absorpton coefficient. (2400-2480 cm⁻¹, T=473K). fitting
Рисунок 2. Absorpton coefficient. (2400-2480 cm⁻¹, T=673K). Experiment
Рисунок 2. Absorpton coefficient. (2400-2480 cm⁻¹, T=673K). Fitting
Рисунок 3. Absorpton coefficient. (2400-2480 cm⁻¹, T=300K). Calculation
Рисунок 3. Absorpton coefficient. (2400-2480 cm⁻¹, T=473K). Calculation
Рисунок 3. Absorpton coefficient. (2400-2480 cm⁻¹, T=673K). Calculation
Рисунок 2. (d=0.0032 g/cm³)
Рисунок 2. (d=0.01 g/cm³)
Рисунок 2. (d=0.032 g/cm³)
Рисунок 2. (p=0.1; d=0.1 g/cm³)
Рисунок 1a
Рисунок 3. 1
Рисунок 3. 2
Рисунок 3. Approximation (296K, 600-1300 cm⁻¹)
Рисунок 3. Approximation (392K, 600-1300 cm⁻¹)
Рисунок 3. Approximation (430K, 600-1300 cm⁻¹)
Рисунок 3. Experiment (296K, 600-1300 cm⁻¹)
Рисунок 3. Experiment (392K, 600-1300 cm⁻¹)
Рисунок 3. Experiment (430K, 600-1300 cm⁻¹)
Таблица 1. H. Kildal, et al. (1974). P
w
=12 Torr
Таблица 1. Table 1. P
w
=10 torr, present experiment
Таблица 1. Table 1. P
w
=12 torr, present experiment
Таблица 1. Table 1. P
w
=6 torr, present experiment
Рисунок 4. Burch D.E., et al. (1969). Experiment
Рисунок 4. Calculation with a dispersion contour
Рисунок 4. Calculation with an empirical contour [20]
Рисунок 4. Calculation with the wing contour line taking into account F
Рисунок 4. Calculation with the wing contour of the line at F = 1
Рисунок 1a. Calculation (р=0.00989 atm)
Рисунок 1a. Calculation (р=0.475 atm)
Рисунок 1a. Experiment (p=0.00989 atm)
Рисунок 1a. Experiment (р=0.475 atm)
Рисунок 1b. Calculation (р=0.475 atm)
Рисунок 1b. Experiment (р=0.475 atm)
Рисунок 2. CO₂ (T=273K) Calculated data
Рисунок 2. CO₂ (T=273K) Experimental data
Рисунок 2. CO₂ (T=310K) Calculated data
Рисунок 2. CO₂ (T=310K). Experimental data
Таблица 1. Spectral absorption coefficients in the 4.3 mkm CO₂ band. T=1000K
Таблица 1. Spectral absorption coefficients in the 4.3 mkm CO₂ band. T=1200K
Таблица 1. Spectral absorption coefficients in the 4.3 mkm CO₂ band. T=300K
Таблица 1. Spectral absorption coefficients in the 4.3 mkm CO₂ band. T=400K
Таблица 1. Spectral absorption coefficients in the 4.3 mkm CO₂ band. T=500K
Таблица 1. Spectral absorption coefficients in the 4.3 mkm CO₂ band. T=600K
Таблица 1. Spectral absorption coefficients in the 4.3 mkm CO₂ band. T=800K
Рисунок 1b. Pure CO₂. 2.7 mkm band. (T=1000K, P=0.85 atm)
Рисунок 1b. Pure CO₂. 2.7 mkm band. (T=300K, P=0.23 atm)
Рисунок 1c. Pure CO₂. 2.0 mkm band. (T=300K, P=1 atm)
Рисунок 1c. Pure CO₂. 2.0 mkm band. (T=980K, P=17.3 atm)
Рисунок 1a. on Burch data [10], 500-840 cm⁻¹
Рисунок 1a. present data, 500-840 cm⁻¹
Рисунок 1a. u=500 атм см, Рэф=0.0158 атм
Рисунок 1b. on Burch data [10]
Рисунок 1b. present data
Рисунок 1b. расхождение
Рисунок 2. Kondrat'ev K.Ya., et al. (1969) (580-770 cm⁻¹)
Рисунок 2. Present data (580-770 cm⁻¹)
Рисунок 1. CO₂ + CO₂. Formula (3)
Рисунок 1. CO₂ + N₂. Formula (3)
Рисунок 1. CO₂ + N₂. S.D. Tvorogov, et al. (1971). Lennard-Jones potential
Рисунок 1. Girshfelder J., et al. (1961). CO₂. Lennard-Jones potential
Рисунок 1. H₂O+N₂. Formula (3)
Рисунок 1. H₂O+N₂. Lennard-Jones potential
Рисунок 1. D. E. Burch (1971) (296K, 1070-1240 cm⁻¹)
Рисунок 1. F.S. Mills et al. (1975)
Рисунок 1. Linear regression to all Burch's recent data
Рисунок 1. Mills et al. (1975) and Arefev et al. (1975)
Рисунок 1. Unpublished D. E. Burch (1975)
Рисунок 2. Linear regression to all Burch's recent data
Рисунок 2. Linear regression to the best Burch data
Рисунок 2. Recent data of Burch D.E. (1974, 1975) (296K, 300-1200 cm⁻¹)
Рисунок 3. Burch D.E. et al. (1971) (294K, 14.26Torr, 800-1100 cm⁻¹)
Рисунок 3. Burch D.E., et al. (1971) (300K; 19.73 Torr, 800-1100 cm⁻¹)
Рисунок 3. Original data
Рисунок 3. R.K. Long, et al. (unpubl.) (T=294K; P=14.26Torr)
Рисунок 1. Calculation of k₁(1)
Рисунок 1. Calculation of k₁(2)
Рисунок 1. Calculation of k₁(3)
Рисунок 1. Calculation of k₁(w) (320K)
Рисунок 1. Calculation of k₁(w)
Рисунок 1. McCoy J.H., et al. (1969)
Рисунок 1. Moskalenko N.I. (1974). Experimental data k₁(w) (300K)
Рисунок 1. Moskalenko N.I. (1974). Experimental data k₁(w) (360K)
Рисунок 1. Recalculated data
Рисунок 2. Lee A.C.L. (1973)
Рисунок 2. Arefiev V.N., et al. (1975)
Рисунок 2. Calculation k₂ (dependence of alpha)
Рисунок 2. Calculation k₂ (F=/=1, F1=1)
Рисунок 2. Calculation k₂ (F=1, F1=1)
Рисунок 2. Calculation k₂ (dependence of alpha)
Рисунок 2. K. J. Bignell (1970)
Рисунок 3. Burch D.E., et al. (1969). Experiment
Рисунок 3. Burch D.E., et al. (1969)., Experiment
Рисунок 3. Burch D.E., et al. (1969).. Experiment
Рисунок 3. Calculation according to (1) taking into account F
Рисунок 3. Calculation according to (1) with F = 1
Рисунок 3. Calculation with a dispersion contour
Рисунок 3. Winters B.H., et al. (1964). Valculation with an empirical contour
Рисунок 4. Calculation of k₂
Рисунок 4. Calculation using F₁=1
Рисунок 4. Calculation using formula (1)
Рисунок 4. Varanasi P., et al. (1968) (500K, 600-1000 cm⁻¹)
Рисунок 5. Calculation using formula (6)
Рисунок 5. Fitting of experimental data of Varanasi P., et al. (1968)
Рисунок 5. Ludwig C.B., et al. (1965)
Рисунок 3. Spectrum 11
Рисунок 3. Spectrum 12
Рисунок 3. Spectrum 13
Рисунок 3. Spectrum 14
Рисунок 3. Spectrum 15
Рисунок 3. Spectrum 1
Рисунок 3. Spectrum 2
Рисунок 3. Spectrum 4
Рисунок 3. Spectrum 5
Рисунок 3. Spectrum 8
Рисунок 1. H₂O+N₂. (120 atm)
Рисунок 1. WD spectrum
Рисунок 1a. H₂O. (4.954 atm)
Рисунок 1b. H₂O. (41.44 atm)
Рисунок 1c. H₂O. (41.44 atm)
Рисунок 1d. (4.355 atm)
Рисунок 1e. H₂O+N₂. (120 atm)
Рисунок 2. H₂O+N₂. (120 atm)
Рисунок 2. H₂O. (4.355 atm)
Рисунок 2. H₂O. (41.44 atm)
Рисунок 2. WD spectrum
Рисунок 1. LOWTRAN 1,2,3
Рисунок 1. LOWTRAN 3B
Рисунок 1a
Рисунок 1. Absolute absorption cross section of molecular H2O
Рисунок 1. D.H. Katayama et al. (1973), N. Wainfan, et al. (1955)
Рисунок 1. D.H.Katayama et al. (1973), N. Wainfan, et al. (1955)
Рисунок 1. L. De Reilhac et al. (1970)
Рисунок 1a
Рисунок 2a
Рисунок 1. Beer's measurements
Рисунок 1. Calculated monochromatic transmittance
Рисунок 1. Temperature dependence of the N₂ continuum. T=230K
Рисунок 1. Temperature dependence of the N₂ continuum. T=273K
Рисунок 1. Temperature dependence of the N₂ continuum. T=296K
Рисунок 1. Temperature dependence of the N₂ continuum. T=310K
Рисунок 2. Approximate form
Рисунок 2. Empirical function (2400 cm⁻¹). Burch, D.E., et al. (1969)
Рисунок 4. Burch D.E. (1970)
Рисунок 4. Calculation using formula (1) (P=0)
Рисунок 4. Calculation using formula (1)
Рисунок 4. J.H. McCoy, et al. (1969)
Рисунок 4. J.H. McCoy, et al. (1969)
Рисунок 4. K.J. Bignell (1970)
Рисунок 4. K.J. Bignell (1970)
Рисунок 4. Moskalenko N.I. et al. (1972)
Рисунок 1. Anthony, R. (1952)
Рисунок 1. Bignell, K. J. (1970)
Рисунок 1. Bignell, K., et al. (1963)
Рисунок 1. Bolle H.J., et al. (1963)
Рисунок 1. Bolle, H. J. (1964)
Рисунок 1. Burch, D.E. (1970)
Рисунок 1. Roach W.T. et al. (1958)
Рисунок 1. Roach, W.T. et al. (1958)
Рисунок 5. Full Lorentz 6.3 mkm (250K)
Рисунок 5. Full Lorentz 6.3 mkm (300K)
Рисунок 5. Full Lorentz Rotation (250K)
Рисунок 5. Full Lorentz Rotation (300K)
Рисунок 5. Simple Lorentz Rotation (300K)
Рисунок 5. VVW 6.3 mkm (250K)
Рисунок 5. VVW 6.3 mkm (300K)
Рисунок 5. VVW Rotational band (250K)
Рисунок 5. VVW Rotational band (300K)
Рисунок 5. Zhevakin-Naumov 6.3 mkm band (250K)
Рисунок 5. Zhevakin-Naumov 6.3 mkm band (300K)
Рисунок 5. Zhevakin-Naumov Rotation (300K)
Рисунок 1. The observed spectrum
Рисунок 1. The prediction for a model atmosphere
Рисунок 1. Transmission spectrum derived from observations of emission
Рисунок 1a
Рисунок 1a
Рисунок 1b
Рисунок 9. N. Wainfan, et al. (1955)
Рисунок 9a
Рисунок 1a
Рисунок 1a
Рисунок 10. *C
s
⁰ =C
s
⁰ -
c
C
s
⁰, empirical continuum (296K, 300-800 cm⁻¹)
Рисунок 10. C
s
⁰ experiment (296K, 300-800 cm⁻¹)
Рисунок 10. Calculation line-by-line with Lorentzian line shape
Рисунок 10. Calculation line-by-line with modified line shape,
c
C
s
⁰
Рисунок 11. Experiment (296K, 600-1350 cm⁻¹)
Рисунок 11. Experiment (392K, 600-1350 cm⁻¹)
Рисунок 11. Experiment (430K, 600-1350 cm⁻¹)
Рисунок 11. Fitting (296K, 600-1350 cm⁻¹)
Рисунок 11. Fitting (392K, 600-1350 cm⁻¹)
Рисунок 11. Fitting (430K, 600-1350 cm⁻¹)
Рисунок 2. P
t
=360 Torr, this work
Рисунок 2. P
t
=760 Torr, this work
Рисунок 2. R. T. Menzies, et al. (1976). P
t
=760 Torr
Рисунок 3. Burch D.E. (1970) (280-400K, 1203 cm⁻¹)
Рисунок 3. D.E. Burch, et al. (1974) (296K, 1203 cm⁻¹)
Рисунок 3. R.E. Roberts, et al. (1976) (300-500K, 1200 cm⁻¹)
Рисунок 3. This work (320-470K, 1200 cm⁻¹)
Рисунок 1. Calculation using formula (4) (I)
Рисунок 1. Calculation using formula (4) (II)
Рисунок 1. Optical depth of vertical pillar of the atmosphere (I)
Рисунок 1. Optical depth of vertical pillar of the atmosphere (II)
Рисунок 5. Adel A., et al. (1958)
Рисунок 5. Adiks T.G. et al. (1975)
Рисунок 5. Anthony R. (1952)
Рисунок 5. Bignell K.J., et al. (1963)
Рисунок 5. Calculation using formula (4) and (6) (I)
Рисунок 5. Calculation using formula (4) and (6) (II)
Рисунок 5. Calculation using formula (6)
Рисунок 5. Kondratiev K.Ya., et al. (1965)
Рисунок 5. Roach W.T., et al. (1958)
Рисунок 5. Roach W.T., et al. (1958)
Рисунок 5. Shukurov A. Kh. et al. (1972)
Рисунок 5. Yurganov L.N., et al. (1972)
Рисунок 3. Measurement this work (338K, 2400-2900 cm⁻¹)
Рисунок 3. Prediction (338K, 2400-2900 cm⁻¹)
Рисунок 4. Burch results. Extrapolation of higher temperature data
Рисунок 4. Burch results. Solid curve based on 65C self-broadened data
Рисунок 4. This work
Рисунок 5. Burch extrapolation
Рисунок 5. OSU. Measurement
Рисунок 5. Our measurement
Рисунок 5. Our model
Рисунок 6. Burch fit
Рисунок 6. Burch uncertainty (141K)
Рисунок 6. Burch uncertainty (172K)
Рисунок 6. Burch uncertainty (208K)
Рисунок 6. Burch uncertainty (338K)
Рисунок 6. Burch uncertainty (374K)
Рисунок 6. Burch uncertainty (428K)
Рисунок 6. Experiment. This work
Рисунок 1a
Рисунок 2. 1
Рисунок 2. 2
Рисунок 6. 5.48 km to Space. N₂ continuum
Рисунок 6. AFGL data. CO₂ continuum
Рисунок 6. Burch Form Factor. CO₂ continuum
Рисунок 6. Lorentz lineshape. CO₂ continuum
Рисунок 7. D. E. Burch, et al. (1969). CO₂+N₂
Рисунок 7. J. Susskind et al. (1977). CO₂+N₂
Рисунок 1a
Рисунок 1a
Рисунок 1. This work (Computed)
Рисунок 1. Winters B.H., et al. (1964)
Рисунок 2. Transmittance. (3100-4800 см-1, L=128 m)
Рисунок 2. Transmittance. (3100-4800 см-1, L=32 m)
Рисунок 2. Transmittance. (3100-4800 см-1, L=64 m)
Рисунок 1a. Burch D.E., et al. (1969). Pure CO₂. 4.3 mkm band. Experiment
Рисунок 1a. Pure CO₂. 4.3 mkm band. Calculation in approximation of a strong line
Рисунок 1a. Pure CO₂. 4.3 mkm band. Line by line calculation
Рисунок 1b. Burch D.E., et al. (1969). Pure CO₂. 2.7 mkm band. Experiment
Рисунок 1b. Pure CO₂. 2.7 mkm band. Calculation in approximation of a strong line
Рисунок 1b. Pure CO₂. 2.7 mkm band. Line by line calculation
Рисунок 1c. Burch D.E., et al. (1969). Pure CO₂. 1.4 mkm band. Experiment
Рисунок 1c. Pure CO₂. 1.4 mkm band. Calculation in approximation of a strong line
Рисунок 1c. Pure CO₂. 1.4 mkm band. Line by line calculation
Рисунок 2a. Burch D.E., et al. (1969). CO₂+NO₂. 4.3 mkm band. Experiment
Рисунок 2a. CO₂+N₂. 4.3 mkm band. Calculation in approximation of a strong line
Рисунок 2a. CO₂+N₂. 4.3 mkm band. Line by line calculation
Рисунок 2b. Burch D.E., et al. (1969). CO₂+NO₂. 2.7 mkm band. Experiment
Рисунок 2b. CO₂+N₂. 2.7 mkm band. Calculation in approximation of a strong line
Рисунок 2b. CO₂+N₂. 2.7 mkm band. Line by line calculation
Рисунок 2c. Burch D.E., et al. (1969). CO₂+NO₂. 4.3 mkm band. Experiment
Рисунок 2c. CO₂+N₂. 4.3 mkm band. Line by line calculation
Рисунок 5. Bulanin M.O., et al. (1978). Experiment
Рисунок 5. Burch D.E., et al. (1969). Experiment
Рисунок 5. Results of the authors' calculations
Таблица 1. Calculation with Lorentzian contour
Таблица 1. Experiment
Таблица 1. Telegin G.V., et al. (1979). Calculation with contour
Таблица 2. Calculation with Lorentzian contour
Таблица 2. Calculation with contour [1]
Таблица 2. Experiment
Рисунок 3. D. E. Burch, et al. (1975)
Рисунок 3. Present data
Рисунок 3. Quadratic fit to present data
Таблица 1A. Cs0 (cm2molec-1atm-1) self-broadening. Spectrophone
Таблица 1A. Cs0 (cm2molec-1atm-1) self-broadening. White Cell
Таблица 1B. Cs0 γ Spectrophone (cm2molec-1atm-1) foreign-broadening
Таблица 1B. Cs0 γ White Cell (cm2molec-1atm-1) foreign-broadening
Таблица 1C. γ Spectrophone
Таблица 1C. γ White Cell
Рисунок 1. Curve a-a. (281K)
Рисунок 1. Curve b-b. (290K)
Рисунок 1. Curve l-l. Scaled Burch data (290K)
Рисунок 1. Curve m-m. Monomer model spectrum (290K)
Рисунок 1a. Coffey, M.T. (1977) Curve L-L. (8-14 mkm)
Рисунок 1a. Curve A-A
Рисунок 1a. Curve B-B
Рисунок 3. Fowle, F.E. (1913)
Рисунок 3. Fowle, F.E. (1914)
Рисунок 3. Fraser, R.S. (1975)
Рисунок 3. Present data. Set A
Рисунок 3. Present data. Set B
Рисунок 3. Present data. Set C
Рисунок 3. Present data. Set D
Рисунок 3. Present data. Set E
Рисунок 3. Tomasi, C. and Guzzi, R. (1974)
Рисунок 4. Present data. Set A
Рисунок 4. Present data. Set B
Рисунок 4. Present data. Set C
Рисунок 4. Present data. Set D
Рисунок 4. Present data. Set E
Рисунок 4. The regression line
Рисунок 4. Tomasi, C. and Guzzi, R. (1974)
Рисунок 1. Table 1. H₂O (296K, 338-882 cm⁻¹)
Рисунок 1. Table 1. H₂O (430K, 430-882 cm⁻¹)
Рисунок 1. Table 1. H₂O+N₂ (296K, 338-629 cm⁻¹)
Рисунок 1. Table 1. H₂O+N₂ (430K, 430-629 cm⁻¹)
Рисунок 2. Approximated continuum data (296K, 300-850 cm⁻¹)
Рисунок 2. Continuum data (296K, 300-850 cm⁻¹)
Рисунок 2. Line contribution data (296K, 300-850 cm⁻¹)
Рисунок 2. Original experimental data H₂O-H₂O (296 K, 300-900 cm⁻¹)
Рисунок 3. Approximated continuum data (338K, 300-500 cm⁻¹)
Рисунок 3. Continuum data (338K, 300-500 cm⁻¹)
Рисунок 3. Line contribution data (338K, 300-500 cm⁻¹)
Рисунок 3. Original experimental data H₂O (338 K, 300-480 cm⁻¹)
Рисунок 4. Approximated continuum data (430K, 400-850 cm⁻¹)
Рисунок 4. Continuum data (430K, 400-850 cm⁻¹)
Рисунок 4. Line contribution data (430K, 400-850 cm⁻¹)
Рисунок 4. Original experimental data H₂O-H₂O (430 K, 400-900 cm⁻¹)
Рисунок 5. Empirical continuum. Approximated data. (296K, 300-900 cm⁻¹)
Рисунок 5. Empirical continuum. Approximated data. (338K, 300-450 cm⁻¹)
Рисунок 5. Empirical continuum. Approximated data. (430K, 400-900 cm⁻¹)
Рисунок 5. Empirical continuum. Extrapolated data. (338K,450-900 cm⁻¹)
Рисунок 5. Empirical continuum. Extrapolated data. (430K, 300-450 cm⁻¹)
Рисунок 6. H₂O + N₂ continuum coefficient (296K, 300-700 cm⁻¹). Approximated continuum data
Рисунок 6. H₂O + N₂ continuum coefficient (296K, 300-700 cm⁻¹). Continuum data
Рисунок 6. H₂O + N₂ continuum coefficient (296K, 300-700 cm⁻¹). Line contribution data
Рисунок 6. Original experimental data H₂O + N₂. (296K, 300-700 cm⁻¹)
Рисунок 7. H₂O + N₂ continuum coefficient (338K, 300-700 cm⁻¹). Approximated continuum data
Рисунок 7. H₂O + N₂ continuum coefficient (338K, 300-700 cm⁻¹). Continuum data
Рисунок 7. H₂O + N₂ continuum coefficient (338K, 300-700 cm⁻¹). Line contribution data
Рисунок 7. H₂O + N₂ continuum coefficient (338K, 300-700 cm⁻¹)
Рисунок 8. H₂O + N₂ continuum coefficient (430K, 400-700 cm⁻¹). Approximated continuum data
Рисунок 8. H₂O + N₂ continuum coefficient (430K, 400-700 cm⁻¹). Continuum data
Рисунок 8. H₂O + N₂ continuum coefficient (430K, 400-700 cm⁻¹). Line contribution data
Рисунок 8.Original experimental data H₂O + N₂ continuum coefficient (430K, 400-700 cm⁻¹)
Рисунок 5. Observed profile
Рисунок 5. The profile calculated
Рисунок 2. (23420-23440 MHz)
Рисунок 2. (23440-23560 MHz)
Рисунок 1a
Рисунок 1a
Рисунок 1b
Рисунок 3. Burch D. E., et al. (1972) (1200-2000 cm⁻¹)
Рисунок 3. Burch D.E, et al. (1973) (1200-2200 cm⁻¹)
Рисунок 3. Burch D.E., et al. (1972) (1200-2000 cm⁻¹)
Рисунок 3. Burch D.E., et al. (1972) (1200-2000 cm⁻¹)
Рисунок 3. Burch D.E., et al. (1973) (1300-2100 cm⁻¹)
Рисунок 3. Burch D.E., et al. (1972) (1200-2000 cm⁻¹)
Рисунок 3. Calculated spectra with Burch data (1973)
Рисунок 3. Calculated spectra with Burch data (1973)
Рисунок 3. Calculated without the continuum (1) (1300-2100 cm⁻¹)
Рисунок 3. Calculated without the continuum (2). (1200-2200 cm⁻¹)
Рисунок 1. Absorption coefficient (2400-2500 cm⁻¹, T=293K). Calculation
Рисунок 1. Absorption coefficient (2400-2500 cm⁻¹). Calculation
Рисунок 1. Absorption coefficient (2400-2500 cm⁻¹, T=213K). Calculation
Рисунок 1. Absorption coefficient (2400-2500 cm⁻¹, T=310K). Calculation
Рисунок 1. Буланин М. и др. (1976). Точки c аппроксимационной кривой для экспериментальных данных. (2400-2500 cm⁻¹, T=213K)
Рисунок 1. Буланин М. и др. (1976). Точки c аппроксимационной кривой для экспериментальных данных. (2400-2500 cm⁻¹, T=293K)
Рисунок 1. Точки c аппроксимационной кривой для экспериментальных данных из работы [4]. (2400-2500 cm⁻¹, T=310K)
Рисунок 2. Absorption coefficient (2400-2500 cm⁻¹, T=213K). Calculation
Рисунок 2. Absorption coefficient (2400-2500 cm⁻¹, T=293K). Calculation
Рисунок 2. Absorption coefficient (2400-2500 cm⁻¹, T=310K). Calculation
Рисунок 2. Bulanin M.O., et al. (1976). (2400-2500 cm⁻¹, T=293K). Experiment
Рисунок 2. Bulanin M.O., et al. (1976). (2400-2500 cm⁻¹, T=310K). Experiment
Рисунок 2. Bulanin M.O., et al. (1980). (2400-2500 cm⁻¹, T=213K). Experiment
Рисунок 2a. Burch D.E., et al. (1969). 4.3 mkm band. Experiment
Рисунок 2a. Calculation in the approximation of one strong line. 4.3 mkm band
Рисунок 2a. Line by line calculation. 4.3 mkm band
Рисунок 2a. Lorentzian contour calculation. 4.3 mkm band
Рисунок 2b. Burch D.E., et al. (1969). 2.7 mkm band. Experiment
Рисунок 2b. Calculation in the approximation of one strong line. 2.7 mkm band
Рисунок 2b. Line by line calculation. 2.7 mkm band
Рисунок 2b. Lorentzian contour calculation. 2.7 mkm band
Рисунок 2c. Burch D.E., et al. (1969). 1.4 mkm band. Experiment
Рисунок 2c. Calculation in the approximation of one strong line. 1.4 mkm band
Рисунок 2c. Line by line calculation. 1.4 mkm band
Рисунок 2c. Lorentzian contour calculation. 1.4 mkm band
Рисунок 3a. Burch D.E., et al. (1969). 4.3 mkm band. Experiment
Рисунок 3a. Calculation in the approximation of one strong line. 4.3 mkm band
Рисунок 3a. Line by line calculation. 4.3 mkm band
Рисунок 3a. Lorentzian contour calculation. 4.3 mkm band
Рисунок 3b. Burch D.E., et al. (1969). 2.7 mkm band. Experiment
Рисунок 3b. Calculation in the approximation of one strong line. 2.7 mkm band
Рисунок 3b. Line by line calculation. 2.7 mkm band
Рисунок 3b. Lorentzian contour calculation. 2.7 mkm band
Рисунок 3c. Burch D.E., et al. (1969). 1.4 mkm band. Experiment
Рисунок 3c. Line by line calculation. 1.4 mkm band
Рисунок 3c. Lorentzian contour calculation. 1.4 mkm band
Таблица 2. Binary absorption coefficient. CO₂+Ar. Experiment
Таблица 2. Binary absorption coefficient. CO₂+He. Experiment
Таблица 2. Binary absorption coefficient. CO₂+N₂. Experiment
Рисунок 2a. Deviations of the calculated K2(vk) from the experimental ones. khi(v)=1
Рисунок 2a.Deviations of the calculated K2(vk) from the experimental ones. khi(v) is described by curve (8)
Рисунок 2b. Deviations of the calculated K2(vk) from the experimental ones. khi(v)=1
Рисунок 2b.Deviations of the calculated K2(vk) from the experimental ones. khi(v) is described by curve (8)
Рисунок 2c.Deviations of the calculated K2(vk) from the experimental ones. khi(v) is described by curve (8)
Рисунок 2c.culated K2(vk) from the experimental ones. khi(v) is described by curve (8)
Рисунок 3. Сorrection factor of the Lorentz line shape in cases of CO₂+Ar
Рисунок 3. Сorrection factor of the Lorentz line shape in cases of CO₂+He
Рисунок 3. Сorrection factor of the Lorentz line shape in cases of CO₂+N₂
Рисунок 1. Calculation according to the Lorentzian contour
Рисунок 1. Calculation according to the generalized contour
Рисунок 1. Dokuchaev A.B., et al. (1979). Experimental data
Рисунок 2. Calculation according to the Lorentzian contour
Рисунок 2. Calculation according to the generalized contour
Рисунок 2. Dokuchaev A.B., et al. (1979). Experimental data
Рисунок 1. Arefiev V.N., et al.(1977) (300K, 10-13 cm⁻¹)
Рисунок 1. Bignell K. J. (1970) (296K, 800-1200 cm⁻¹)
Рисунок 1. Bignell K. J. (1970) (303K, 800-1200 cm⁻¹)
Рисунок 1. Burch D.E. (1970) (296K, 700-1200 cm⁻¹)
Рисунок 1. Burch D.E. (1970). Averaged data (296K, 700-1300 cm⁻¹)
Рисунок 1. Burch D.E. et al. (1974) (296K, 700-1250 cm⁻¹)
Рисунок 1. Calculation using formula (10)
Рисунок 1. McCoy J.H., et al. (1969) (296K, 800-1150 cm⁻¹)
Рисунок 2. McCoy J.H., et al. (1969)
Рисунок 3. Burch D.E. (1970) (800-1200 cm⁻¹)
Рисунок 3. Grassl H. (1971) (800-1200 cm⁻¹)
Рисунок 3. Grassl H. (1974) (800-1200 cm⁻¹)
Рисунок 3. Tvorogov S.D., et al. (1971) (800-1200 cm⁻¹)
Рисунок 9. H₂O. Calculation using formula (12)
Рисунок 9. H₂O. Calculation using formula (7)
Рисунок 9. H₂O
Рисунок 9. H₂O + N₂. Calculation using formula (12)
Рисунок 9. H₂O + N₂. Calculation using formula (7)
Рисунок 9. H₂O + N-2
Рисунок 1. Experiment (296K, 600-1350 cm⁻¹)
Рисунок 1. Experiment (392K, 600-1350 cm⁻¹)
Рисунок 1. Experiment (430K, 600-1350 cm⁻¹)
Рисунок 1. Fitting (296K, 600-1350 cm⁻¹)
Рисунок 1. Fitting (392K, 600-1350 cm⁻¹)
Рисунок 1. Fitting (430K, 600-1350 cm⁻¹)
Рисунок 10. Burch, D.E. (1968) (13-35 cm⁻¹)
Рисунок 10. Calculation, the line contribution plus continuum
Рисунок 10. Continuum
Рисунок 10. Dryagin, Yu. A., et al. (1966) (3-7 cm⁻¹)
Рисунок 10. Frenkel, R. L., et al. (1966) (5-10 cm⁻¹)
Рисунок 10. Ryadov, Ya.V., et al. (1972) (6-14 cm⁻¹)
Рисунок 10. Straiton, A. W., et al. (1960) (0-5 cm⁻¹)
Рисунок 2. Approximated curve (338 K, 2400-2800cm⁻¹)
Рисунок 2. Approximated curve (384 K, 2400-2800cm⁻¹)
Рисунок 2. Approximated curve (428 K, 2400-2800cm⁻¹)
Рисунок 2. Experimental points (338 K, 2400-2800cm⁻¹)
Рисунок 2. Experimental points (384K, 2400-2800cm⁻¹)
Рисунок 2. Experimental points (428K, 2400-2800cm⁻¹)
Рисунок 2. Extrapolated curve (296 K, 2400-2800cm⁻¹)
Рисунок 2. Extrapolated curve (296 K, 2400-2800cm⁻¹)
Рисунок 4. Contribution of lines
Рисунок 4. Empirical continuum (296K, 300-800 cm⁻¹)
Рисунок 4. Experiment (296K, 300-800 cm⁻¹)
Рисунок 5. Continuum (296K, 300-640 cm⁻¹)
Рисунок 5. Contribution of lines (296K, 300-640 cm⁻¹)
Рисунок 5. Empirical continuum (296K, 300-640 cm⁻¹)
Рисунок 5. Experiment. N₂ broadening (296K, 300-650 cm⁻¹)
Рисунок 8. Continuum (308K, 1400-1900 cm⁻¹)
Рисунок 8. Contribution of lines
Рисунок 8. Empirical continuum (308K, 1400-1900 cm⁻¹)
Рисунок 8. Experiment (308K, 1400-1900 cm⁻¹)
Рисунок 9. H₂O+N₂. (308K, 1400-1850 cm⁻¹)
Рисунок 9. H₂O+N₂. (353K, 1290-1450 cm⁻¹)
Рисунок 9. H₂O+N₂. (353K, 1600-2000 cm⁻¹)
Рисунок 9. H₂O+N₂. (428K, 1850-2050 cm⁻¹)
Рисунок 9. H₂O. (308K, 1400-1850 cm⁻¹)
Рисунок 9. H₂O. (322K, 1850-2250 cm⁻¹)
Рисунок 9. H₂O. (353K, 1290-1450 cm⁻¹)
Рисунок 9. H₂O. (353K, 1600-2200 cm⁻¹)
Рисунок 9. H₂O. (428K, 1290-1450 cm⁻¹)
Рисунок 9. H₂O. (428K,1850-2200 cm⁻¹)
Рисунок 6. Calculation (296 K, 0-1080 cm⁻¹)
Рисунок 6. Present experiment (296 K, 0-1080 cm⁻¹)
Рисунок 7. Calculation (333K, 0-1080 cm⁻¹)
Рисунок 7. Calculation (337K, 0-1080 cm⁻¹)
Рисунок 7. Present experiment (333K, 0-1080 cm⁻¹)
Рисунок 7. Present experiment (337K, 0-1080 cm⁻¹)
Рисунок 1. Calculation using Lorentz profile
Рисунок 1. Calculation using formula (2)
Рисунок 1. Calculation using full Lorentz profile
Рисунок 1. Fitting of Burch D.E. (1970) data
Рисунок 1a. Calculation using Lorentz profile
Рисунок 1a. Calculation using full Lorentz profile
Рисунок 1a. Calculation using generalized contour
Рисунок 1a. Fitting of experimental data
Рисунок 1. (Ar-CO₂)
Рисунок 1. Lower limit (CO₂-CO₂)
Рисунок 1. Lower limit (H₂O-Ar)
Рисунок 1. Lower limit (H₂O-H₂O)
Рисунок 1. Lower limit (N₂-CO₂)
Рисунок 1. Lower limit (N₂-H₂O)
Рисунок 1. Lower limit (O₂-CO₂)
Рисунок 1. Lower limit (O₂-H₂O)
Рисунок 1. Total number density
Рисунок 1. Upper limit (CO₂-CO₂)
Рисунок 1. Upper limit (H₂O-Ar)
Рисунок 1. Upper limit (H₂O-H₂O)
Рисунок 1. Upper limit (N₂-CO₂)
Рисунок 1. Upper limit (N₂-H₂O)
Рисунок 1. Upper limit (O₂-CO₂)
Рисунок 1. Upper limit (O₂-H₂O)
Рисунок 1a. Water vapour (50-100 cm⁻¹)
Рисунок 1b. Water vapour (0-50 cm⁻¹)
Таблица 1. B.H.Winters, et al. (1964). Continuum Transmittance.
Таблица 1. Continuum Transmittance. This work N_2
Таблица 1. Continuum Transmittance. This work
Таблица 1. D. E. Burch, et al. (1969). Continuum Transmittance.
Таблица 1. J. Susskind, et al. (1977). Continuum Transmittance
Таблица 1. M.W.P.Cann, et al. (1980). Continuum Transmittance
Рисунок 2. Absorption coefficient computed with the Susskind and Mo (1978) line shape
Рисунок 2. Absorption coefficients computed with the Burch et al. (1969) line shape
Рисунок 2. Calculated with the B.H. Winters, et al. (1964) line shape
Рисунок 2. Calculated with the M.W.P. Cann et al. (1980) line shape
Рисунок 6. A. 10% CO₂ in He (P
s
=5.3 atm, 3700-3730 cm⁻¹)
Рисунок 6. B. 10% CO₂ in He (P
s
=13.3 atm, 3700-3730 cm⁻¹)
Рисунок 6. C. 40% CO₂ in He (P
s
=9.2 atm, 3700-3730 cm⁻¹)
Рисунок 6. D. 40% CO₂ in He (P
s
=14.8 atm, 3700-3730 cm⁻¹)
Рисунок 6. E. 40% CO₂ in He (P
s
=21.4 atm, 3700-3730 cm⁻¹)
Рисунок 6. F. 40% CO₂ in He (P
s
=29.2 atm, 3700-3730 cm⁻¹)
Рисунок 1. Approximation of experimental data (296K, 600-1299 cm⁻¹)
Рисунок 1. Approximation of experimental data (392K)
Рисунок 1. Approximation of experimental data (430K, 600-1200 cm⁻¹)
Рисунок 1. Experimental data (296K, 600-1200 cm⁻¹)
Рисунок 1. Experimental data (392K, 600-1200 cm⁻¹)
Рисунок 1. Experimental data (430K, 625-818 cm⁻¹)
Рисунок 10. Burch, D.E. (1968)
Рисунок 10. Calculation, the line contribution plus continuum
Рисунок 10. Continuum
Рисунок 10. Dryagin, Yu. A., et al. (1966)
Рисунок 10. Frenkel, R. L., et al. (1966)
Рисунок 10. Ryadov, Ya.V., et al. (1972)
Рисунок 10. Straiton, A. W., et al. (1960)
Рисунок 11. Becker, G.E. et al. (1946)
Рисунок 11. Bohlander, R. A.
Рисунок 11. Burch, D.E. (1968) (22.5-28.3 cm⁻¹)
Рисунок 11. Dryagin, Yu.A., et al. (1966) (4-7.5 cm⁻¹)
Рисунок 11. Frenkel, R.L., et al. (1966) (1.31 cm⁻¹)
Рисунок 11. Hogg, D.C. (1978) (2.26-2-65 cm⁻¹)
Рисунок 11. Liebe, H.J., et al. (1969) (1.908 cm⁻¹)
Рисунок 11. Llewellyn Jones, D.T., et al. (1978) (7.09 cm⁻¹)
Рисунок 11. Ryadov Ya.V., et al. (1974) (5-10 cm⁻¹)
Рисунок 11. Simpson, O.A., et al. (1979) (5-45 cm⁻¹)
Рисунок 11. Straiton, A.W., et al. (1960) (2cm⁻¹)
Рисунок 13. Absorption coefficient of liquid water (L)
Рисунок 13. The average intensities of the H₂O vapor lines (V)
Рисунок 13. The empirical continuum for self broadening (C)
Рисунок 13a. Absorption coefficient of liquid water (L) (50-300 cm⁻¹)
Рисунок 13a. The average intensities of the H₂O vapor lines (V) (50-3000 cm⁻¹)
Рисунок 13a. The empirical continuum for self broadening (C) (296K, 300-3000 cm⁻¹))
Рисунок 2. Approximated curve (384K, 2400-2800 cm⁻¹)
Рисунок 2. Approximated curve (338K, 2400-2800 cm⁻¹)
Рисунок 2. Approximated curve (428K, 2400-2800 cm⁻¹)
Рисунок 2. Experimental points (338K, 2400-2650 cm⁻¹)
Рисунок 2. Experimental points (384K, 2400-2740 cm⁻¹)
Рисунок 2. Experimental points (428K, 2400-2700 cm⁻¹)
Рисунок 2. Extrapolated curve (T=296K)
Рисунок 2. Extrapolated curve (T=296K)
Рисунок 4. Contribution of lines (296K, 300-800 cm⁻¹)
Рисунок 4. Empirical continuum (296K, 300-800 cm⁻¹)
Рисунок 4. Experiment (296K, 300-800 cm⁻¹)
Рисунок 5. Calculatied contributions of lines according to an apodized weigthing function (300-650 cm⁻¹)
Рисунок 5. Empirical continuum (296K, 300-650 cm⁻¹)
Рисунок 5. Experimental values (H₂O+N₂) (296K, 300-650 cm⁻¹)
Рисунок 5. Fitting empirical continuum (296K, 300-650 cm⁻¹)
Рисунок 7. Continuum (308K, 1400-1900 cm⁻¹)
Рисунок 7. Contribution of lines
Рисунок 7. Empirical continuum (308K, 1400-1900 cm⁻¹)
Рисунок 7. Experiment (308K, 1400-1900 cm⁻¹)
Рисунок 8. Composite of spectral curves of the empirical continuum. H₂O. (308K, 1400-1850 cm⁻¹)
Рисунок 8. H₂O+N₂. (308K, 1400-1850 cm⁻¹)
Рисунок 8. H₂O+N₂. (353K, 1290-1450 cm⁻¹)
Рисунок 8. H₂O+N₂. (353K, 1600-1850 cm⁻¹)
Рисунок 8. H₂O+N₂. (428K, 1850-2050 cm⁻¹)
Рисунок 8. H₂O. (322K, 1850-2250 cm⁻¹)
Рисунок 8. H₂O. (353K, 1290-1450 cm⁻¹)
Рисунок 8. H₂O. (353K, 1600-2200 cm⁻¹)
Рисунок 8. H₂O. (428K, 1290-1450 cm⁻¹)
Рисунок 8. H₂O. (428K, 1850-2200 cm⁻¹)
Рисунок 8. B.Kolos perturbation theory calculation
Рисунок 8. Diersken G.H.F., et al. (1975). Potential Water Dimer Curve
Рисунок 8. Matsuoka O., et al. (1976)*. Potential Water Dimer Curve
Рисунок 8. Matsuoka O., et al. (1976). Potential Water Dimer Curve
Рисунок 1a. Baranov Yu.I., et al. (1981). CO₂+CO₂. Experiment
Рисунок 1a. Baranov Yu.I., et al. (1981). CO₂+He. Experiment
Рисунок 1a. Burch D.E., et al. (1969). CO₂+CO₂. Experiment
Рисунок 1a. Burch D.E., et al. (1969). CO₂+He. Experiment
Рисунок 1a. Burch D.E., et al. (1969). CO₂+N₂. Experiment
Рисунок 1a. CO₂+CO₂. Calculation
Рисунок 1a. CO₂+He. Calculation
Рисунок 1a. CO₂+N₂. Calculation
Рисунок 1b. Baranov Yu.I., et al. (1981). CO₂+CO₂. Experiment
Рисунок 1b. Burch D.E., et al. (1969). CO₂+CO₂. Experiment
Рисунок 1b. CO₂+CO₂. Calculation
Рисунок 1. 1.4 mkm band. CO₂+Ar, calculation on (1)
Рисунок 1. 1.4 mkm band. CO₂+Ar, calculation with dispersion contour
Рисунок 1. 1.4 mkm band. CO₂+Ar, experiment
Рисунок 1. 1.4 mkm band. CO₂+CO₂, calculation on (1)
Рисунок 1. 1.4 mkm band. CO₂+CO₂, calculation with dispersion contour
Рисунок 1. 1.4 mkm band. CO₂+CO₂, experiment
Рисунок 1. 1.4 mkm band. CO₂+He, calculation on (1)
Рисунок 1. 1.4 mkm band. CO₂+He, calculation with dispersion contour
Рисунок 1. CO₂+He, experiment
Таблица 1a. За кантом полосы 3v3 CO2
Таблица 1a. За кантом полосы 3v3. Ar+CO2
Таблица 1a. За кантом полосы 3v3. He+CO2
Таблица 1b. В микроокнах 3v3. CO2+He
Таблица 1b. В микроокнах 3v3. Чистый CO2
Рисунок 1. Absorption spectra (2500-3500 cm⁻¹, 220K, 15atm)
Рисунок 1. Absorption spectra (2500-3500 cm⁻¹, 300K, 15atm)
Рисунок 1. D. E. Burch et al. (1969). Nitrogen-broadening
Рисунок 1. Nitrogen-broadening
Рисунок 1. Oxygen-broadening
Рисунок 1. Self-broadening
Рисунок 5. Continuum absorption coefficient (200K)
Рисунок 5. Continuum absorption coefficient (300K)
Рисунок 5. Molecular absorption (200K)
Рисунок 5. Molecular absorption (300K)
Рисунок 1a
Рисунок 1b
Рисунок 2. Absorption coefficient of O₃ (300K, 200-320 nm)
Рисунок 2. Absorption coefficient of O₃ (500K, 200-320 nm)
Рисунок 2. Absorption coefficient of O₃ (720K, 200-320 nm)
Рисунок 2. Absorption coefficient of O₃ (900K, 200-320 nm)
Рисунок 1a
Рисунок 1b
Рисунок 1c
Рисунок 1d
Рисунок 1. Absorption coefficient (661-667-cm⁻¹). With line mixing
Рисунок 1. Absorption coefficient (661-667-cm⁻¹). With no line mixing
Рисунок 2. Absorption coefficient (661-667-cm⁻¹). With line mixing
Рисунок 2. Absorption coefficient (661-667-cm⁻¹). With no line mixing
Рисунок 3. Absorption coefficient (667.366-667.469 cm⁻¹). With line mixing
Рисунок 3. Absorption coefficient (667.366-667.469 cm⁻¹). With no line mixing
Рисунок 4. Absorption coefficient (667.366-667.469 cm⁻¹). With line mixing
Рисунок 4. Absorption coefficient (667.366-667.469 cm⁻¹). With no line mixing
Рисунок 1. Calculation with dispersion contour
Рисунок 1. Calculation with empirical contour [6]
Рисунок 1. Calculation with line wing contour [1] without exponential factor
Рисунок 1. Calculation with line wing contour [1]
Рисунок 1. Winters B.H., et al. (1964). Experiment (pCO2=0.25 atm)
Рисунок 1. Winters B.H., et al. (1964). Experiment (pCO2=0.5 atm)
Рисунок 1. Winters B.H., et al. (1964). Experiment (pCO2=1.25 atm)
Рисунок 4. Bulanin M.O., et al. (1976). Experiment (T=213K)
Рисунок 4. Bulanin M.O., et al. (1976). Experiment
Рисунок 4. Our calculation
Рисунок 4. Winters B.H., et al. (1964). Experiment
Рисунок 2. Baranov Yu.I., et al. (1981). Experiment
Рисунок 2. Burch D.E., et al. (1969). Experiment
Рисунок 2. Calculation using Lorentz contour
Рисунок 2. Calculation using formula (6)
Рисунок 3. Calculation Lorentz contour
Рисунок 3. Calculation k(10)
Рисунок 3. Calculation k(5)
Рисунок 3. Calculation using formula (6)
Рисунок 3. Dokuchaev A.B., et al. (1980). Experiment. 4.3 mkm band+
Рисунок 3. Winters B.H., et al. (1964). Experiment. 4.3 mkm band
Рисунок 4. Calculation using Lorentz contour
Рисунок 4. Calculation using formula (6)
Рисунок 4. Dokuchaev A.B., et al. (1980). Experimemt. 4.3 mkm band
Рисунок 1. Absorption coefficient of pure CO₂ at the 4.3 mkm band periphery. T=213K. Calculation
Рисунок 1. Absorption coefficient of pure CO₂ at the 4.3 mkm band periphery. T=273K. Calculation
Рисунок 1. Absorption coefficient of pure CO₂ at the 4.3 mkm band periphery. T=310K. Calculation
Рисунок 1. Bulanin M.O., et al. (1976). T=213K. Experiment
Рисунок 1. Bulanin M.O., et al. (1976). T=273K. Experiment
Рисунок 1. Bulanin M.O., et al. (1976). T=310K. Experiment
Рисунок 1. Burch D.E. et al. (1970). Experiment, T=240 K
Рисунок 1. Burch D.E. et al. (1970). Experiment, T=296 K
Рисунок 1. Present calculation not using V(T), T=240K
Рисунок 1. Present calculation, T=240K
Рисунок 1. Present calculation, T=296K
Рисунок 2. Burch D.E. et al. (1970). Experiment (780-900 cm-1, T=240K)
Рисунок 2. Burch D.E. et al. (1970). Experiment, T=296K
Рисунок 2. Present calculation, T=240K
Рисунок 2. Present calculation, T=296K
Рисунок 2. Absorption coefficient of CO₂+Ar. Original calculation
Рисунок 2. Absorption coefficient of CO₂+CO₂. Lorentz contour
Рисунок 2. Absorption coefficient of CO₂+CO₂. Origina calculation
Рисунок 2. Absorption coefficient of CO₂+H₂. Original calculation
Рисунок 2. Absorption coefficient of CO₂+He. Originalt calculation
Рисунок 2. Absorption coefficient of CO₂+N₂. Original calculation
Рисунок 2. Absorption coefficient of CO₂+O₂. Lorentz contour
Рисунок 2. Absorption coefficient of CO₂+O₂. Original calculation
Рисунок 2. Burch D.E., et al. (1969). Absorption coefficient of CO₂+Ar. Experiment
Рисунок 2. Burch D.E., et al. (1969). Absorption coefficient of CO₂+CO₂. Experiment
Рисунок 2. Burch D.E., et al. (1969). Absorption coefficient of CO₂+H₂. Experiment
Рисунок 2. Burch D.E., et al. (1969). Absorption coefficient of CO₂+He. Experiment
Рисунок 2. Burch D.E., et al. (1969). Absorption coefficient of CO₂+N₂. Experiment
Рисунок 2. Burch D.E., et al. (1969). Absorption coefficient of CO₂+O₂. Experiment
Рисунок 3. Absorption coefficient of pure CO₂. Present calculation
Рисунок 3. Absorption coefficient of pure CO₂. k10
Рисунок 3. Absorption coefficient of pure CO₂. k12
Рисунок 3. Burch D.E., et al. (1969). Absorption coefficient of pure CO₂. Experiment
Рисунок 1. Absorption coefficient in the wing of the band is 1.4 mkm. CO₂+Ar. Experiment
Рисунок 1. Absorption coefficient in the wing of the band is 1.4 mkm. CO₂+Ar. This calculation
Рисунок 1. Absorption coefficient in the wing of the band is 1.4 mkm. CO₂+CO₂. Experiment [2,11]
Рисунок 1. Absorption coefficient in the wing of the band is 1.4 mkm. CO₂+CO₂. This calculation
Рисунок 1. Absorption coefficient in the wing of the band is 1.4 mkm. CO₂+He. Experiment
Рисунок 1. Absorption coefficient in the wing of the band is 1.4 mkm. CO₂+He. This calculation
Рисунок 1. Absorption coefficient in the wing of the band is 1.4 mkm. CO₂+N₂. This calculation
Рисунок 1. D.E. Burch, et al. Absorption coefficient in the wing of the band 1.4 mkm. CO₂+N₂. Experiment
Рисунок 2. 4
Рисунок 2. Baranov Yu.I., et al. (1981). Experiment
Рисунок 2. Calculation
Рисунок 2.Burch, et al. (1969). Experiment
Рисунок 4. Temperature dependence of the absorption coefficient (w=2390.8 cm⁻¹)
Рисунок 4. Temperature dependence of the absorption coefficient (w=2395 cm⁻¹)
Рисунок 4. Temperature dependence of the absorption coefficient (w=2396.5 cm⁻¹)
Рисунок 4. Temperature dependence of the absorption coefficient (w=2405 cm⁻¹)
Рисунок Burch D.E., et al. (1969). Experiment+. 2. Baranov Yu.I., et al. (1981). Experiment
Таблица 1. Absorption coefficient (T = 293K). CO₂+Ar
Таблица 1. Absorption coefficient (T = 293K). CO₂+CO₂
Таблица 1. Absorption coefficient (T = 293K). CO₂+N₂
Рисунок 1. Bulanin M.O., et al. (1976). T=293K. Experiment
Рисунок 1. Winters B.H., et al. (1964). Experiment
Рисунок 1. Сalculation by formula (10) without factor F
Рисунок 1. Сalculation by the formula (10)
Рисунок 1. Сalculation with a dispersion contour
Рисунок 2. Calculation by formula (10) without factor F
Рисунок 2. Calculation by the formula (10)
Рисунок 2. Calculation with a dispersion contour
Рисунок 2. Winters B.H., et al. (1969). Experiment II
Рисунок 2. Winters B.H., et al. (1969). Experiment I
Рисунок 3. Burch D.E., et al. (1969). Experimental data (2400.7716 - 2549.3022 cm⁻¹)
Рисунок 3. Calculation by formula (10) without factor F
Рисунок 3. Calculation by the formula (10)
Рисунок 3. Calculation with a dispersion contour
Рисунок 1. Calculation along the generalized contour
Рисунок 1. Calculation by the dispersion contour
Рисунок 1. Dokuchaev A.B., et al. (1980). Experiment
Рисунок 2. Calculation along the dispersion contour
Рисунок 2. Calculation along the generalized contour
Рисунок 2. Dokuchaev A.B., et al. (1980). Experiment
Таблица 3. Calculation along the dispersion contour with half-widths
Таблица 3. Calculation along the generalized contour
Таблица 3. Calculation for the dispersion contour with half-widths
Таблица 3. Dokuchaev A.B., et al. (1980). Calculation along the dispersion contour
Таблица 3. Dokuchaev A.B., et al. (1980). Experiment [4]
Рисунок 4. Adiks, T.G. (1982) (Fermi doublet, 20⁰0, 2547 cm⁻¹)
Рисунок 4. Calculated spectra
Рисунок 4. Measured spectra
Рисунок 4a. Calculated spectra
Рисунок 4a. Measured spectra
Рисунок 4b. Calculated spectra
Рисунок 4b. Measured spectra
Рисунок 1. Approximation of experimental data (296K, 600-1350 cm⁻¹)
Рисунок 1. Approximation of experimental data (392K, 600-1350 cm⁻¹)
Рисунок 1. Approximation of experimental data (430K, 600-1350 cm⁻¹)
Рисунок 1. Experiment (296K, 600-1350 cm⁻¹)
Рисунок 1. Experiment (392K, 600-1350 cm⁻¹)
Рисунок 1. Experiment (430K, 600-1350 cm⁻¹)
Рисунок 10. Burch, D.E. (1968)
Рисунок 10. Calculation, the line contribution plus continuum
Рисунок 10. Continuum
Рисунок 10. Dryagin, Yu. A., et al. (1966)
Рисунок 10. Frenkel, R. L., et al. (1966)
Рисунок 10. Ryadov, Ya.V., et al. (1972)
Рисунок 10. Straiton, A. W., et al. (1960)
Рисунок 13. Absorption coefficient of liquid water (L) (5-45 cm⁻¹)
Рисунок 13. The average intensities of the H₂O vapor lines (V) (5-45 cm⁻¹)
Рисунок 13. The empirical continuum for self broadening (C)
Рисунок 13a. Absorption coefficient of liquid water (L)
Рисунок 13a. The average intensities of the H₂O vapor lines (V)
Рисунок 13a. The empirical continuum for self broadening (C)
Рисунок 2. Approximated curve (338K, 2400-2829cm⁻¹)
Рисунок 2. Approximated curve (384K, 2400-2829cm⁻¹)
Рисунок 2. Approximated curve (428K, 2400-2829cm⁻¹)
Рисунок 2. Experimental points (338K, 2400-2829cm⁻¹)
Рисунок 2. Experimental points (384K, 2400-2829cm⁻¹)
Рисунок 2. Experimental points (428K, 2400-2829cm⁻¹)
Рисунок 2. Extrapolated curve (296K, 2400-2829cm⁻¹)
Рисунок 2. Extrapolated curve (296K, 2400-2829cm⁻¹)
Рисунок 5. Continuum (296K, 300-650 cm⁻¹)
Рисунок 5. Contribution of lines (296K, 300-650 cm⁻¹)
Рисунок 5. Empirical continuum (296K, 300-650 cm⁻¹)
Рисунок 5. Experiment (296K, 300-650 cm⁻¹)
Рисунок 7. Continuum (308K, 1400-1900 cm⁻¹)
Рисунок 7. Contribution of lines
Рисунок 7. Empirical continuum (308K, 1400-1900 cm⁻¹)
Рисунок 7. Experiment (308K, 1400-1900 cm⁻¹)
Рисунок 8. H₂O+N₂. (T=308K, 1400-1850 cm⁻¹)
Рисунок 8. H₂O+N₂. (T=353K, 1290-1450 cm⁻¹)
Рисунок 8. H₂O+N₂. (T=353K, 1600-2000 cm⁻¹)
Рисунок 8. H₂O+N₂. (T=428K, 1850-2050 cm⁻¹)
Рисунок 8. H₂O. (1290-1450 cm⁻¹, T=353K)
Рисунок 8. H₂O. (T=308K, 1400-1850 cm⁻¹)
Рисунок 8. H₂O. (T=322K, 1850-2250 cm⁻¹)
Рисунок 8. H₂O. (T=353K, 1600-2200 cm⁻¹)
Рисунок 8. H₂O. (T=428K, 1290-1450 cm⁻¹)
Рисунок 8. H₂O. (T=428K, 1850-2200 cm⁻¹)
Рисунок 1. Visibility 10 m
Рисунок 1. Visibility 150 m
Рисунок 1. Visibility 50 m
Рисунок 1a. Visibility 100 m
Рисунок 1a. Visibility 150 m
Рисунок 1a. Visibility 50 m
Рисунок 3. D.E.Burch (1970). (700-1300 cm-1)
Рисунок 3. Full Lorentz
Рисунок 3. Simple Lorentz
Рисунок 3. This work
Рисунок 3. Van Vleck-Weisskopf
Рисунок 4. Burch experimental data
Рисунок 4. Calculated data far wings
Рисунок 4. Calculated data total absorption
Рисунок 5. Lorentz no bound
Рисунок 5. OSU data (J. C. Peterson, 1978)
Рисунок 5. Present calculation
Рисунок 5. Soviet data (V. N. Aref'ev, et al., 1977)
Рисунок 1a
Рисунок 1b
Рисунок 1c
Рисунок 1a
Рисунок 1b
Рисунок 1a
Рисунок 1b
Рисунок 1c
Рисунок 1d
Рисунок 1e
Рисунок 1f
Рисунок 1g
Рисунок 2. Watanabe, K., et al. (1953)
Рисунок 2a
Рисунок 2b
Рисунок 2d
Рисунок 1a
Рисунок 1a
Рисунок 1b
Рисунок 1a. Absorption coefficient. Experiment
Рисунок 1a. Calculated values of absorption coefficient.
Рисунок 1a. Fitting
Рисунок 1b. Absorption coefficient. Experiment
Рисунок 1b. Calculated values of absorption coefficient.
Рисунок 1b. Fitting
Рисунок 2. Burch D.E., et al. (1969). Experiment. Р=14.5 atm, u=47.3 cmSTP
Рисунок 2. Burch D.E., et al. (1969). Experiment. Р=0.077 atm, u=3.32 atm cmSTP
Рисунок 2. Burch D.E., et al. (1969). Experiment. Р=2.0 atm, u=87.1 atm cmSTP
Рисунок 2. Calculation. P=2.0 атм, u=87.1 атм смSTP
Рисунок 2. Calculation. Р=0.077 atm, u=3.32 atm cmSTP
Рисунок 2. Calculation. Р=14.5 atm, u=47.3 cmSTP
Рисунок 1. Burch D.E., et al. (1969). CO₂+CO₂. Experiment (6990-7020 cm⁻¹)
Рисунок 1. Burch D.E., et al. (1969). CO₂+He. Experiment (6990-7020 cm⁻¹)
Рисунок 1. Burch D.E., et al. (1969). CO₂+N₂. Experiment (6990-7020 cm⁻¹)
Рисунок 1. CO₂+Ar. Calculation (6990-7020 cm⁻¹)
Рисунок 1. CO₂+CO₂. Calculation (6990-7020 cm⁻¹)
Рисунок 1. CO₂+He. Calculation (6990-7020 cm⁻¹)
Рисунок 1. CO₂+N₂. Calculation (6990-7020 cm⁻¹)
Рисунок 1. Баранов Ю.И. et al. (1981). CO₂+Ar. Experiment (6990-7020 cm⁻¹)
Рисунок 2. Bulanin M.O, et al. (1976). Experiment, normalized to the integrated intensity of the band
Рисунок 2. Burch D.E., et al. (1969). Experiment, normalized to the integrated intensity of the band
Рисунок 2. Calculation with Morse potential. (T=300K)
Рисунок 2. Calculation with the Kihara potential. (T=300K)
Рисунок 3. Temperature dependence of the absorption coefficient at 2450 cm⁻¹ (potential Morse (11))
Рисунок 3. Temperature dependence of the absorption coefficient at 2600 cm⁻¹ (potential Morse (11))
Рисунок 3. Temperature dependence of the absorption coefficient at 3000 cm⁻¹ (potential Morse (11))
Рисунок 1. Absorption coefficient in the wing of the v₃ CO₂ band. CO₂+Ar. Experiment
Рисунок 1. Absorption coefficient in the wing of the v₃ CO₂ band. CO₂+Ar. Fitting
Рисунок 1. Absorption coefficient in the wing of the v₃ CO₂ band. CO₂+CO₂. Experiment
Рисунок 1. Absorption coefficient in the wing of the v₃ CO₂ band. CO₂+CO₂. Fitting
Рисунок 1. Absorption coefficient in the wing of the v₃ CO₂ band. CO₂+D₂. Experiment
Рисунок 1. Absorption coefficient in the wing of the v₃ CO₂ band. CO₂+D₂. Fitting
Рисунок 1. Absorption coefficient in the wing of the v₃ CO₂ band. CO₂+H₂. Experiment
Рисунок 1. Absorption coefficient in the wing of the v₃ CO₂ band. CO₂+H₂. Fitting
Рисунок 1. Absorption coefficient in the wing of the v₃ CO₂ band. CO₂+He. Experiment
Рисунок 1. Absorption coefficient in the wing of the v₃ CO₂ band. CO₂+He. Fitting
Рисунок 1. Absorption coefficient in the wing of the v₃ CO₂ band. CO₂+N₂. Experiment
Рисунок 1. Absorption coefficient in the wing of the v₃ CO₂ band. CO₂+N₂. Fitting
Рисунок 1. Lennard-Jones potential used to determine the parameters of the contour
Рисунок 1. Potential retrieved from absorption coefficient data. T=213K
Рисунок 1. Potential retrieved from absorption coefficient data. T=293K
Рисунок 1. Potential retrieved from absorption coefficient data. T=310K
Рисунок 2. Absorption coefficient. CO₂+Ar. Calculation
Рисунок 2. Absorption coefficient. CO₂+Ar. Experiment
Рисунок 2. Absorption coefficient. CO₂+CO₂. Calculation
Рисунок 2. Absorption coefficient. CO₂+CO₂. Experiment
Рисунок 2. Absorption coefficient. CO₂+D₂. Experiment
Рисунок 2. Absorption coefficient. CO₂+H₂. Calculation
Рисунок 2. Absorption coefficient. CO₂+H₂. Experiment
Рисунок 2. Absorption coefficient. CO₂+He. Calculation
Рисунок 2. Absorption coefficient. CO₂+He. Experiment
Рисунок 2. Absorption coefficient. CO₂+N₂. Calculation
Рисунок 2. Absorption coefficient. CO₂+N₂. Experiment
Рисунок 3. Absorption coefficient. CO₂+Ar. Experiment
Рисунок 3. Absorption coefficient. CO₂+CO₂. Experiment
Рисунок 3. Absorption coefficient. CO₂+D₂. Experiment
Рисунок 3. Absorption coefficient. CO₂+H₂. Experiment
Рисунок 3. Absorption coefficient. CO₂+He. Experiment
Рисунок 3. Absorption coefficient. CO₂+N₂. Experiment
Рисунок 3. Correcting factor. CO₂. Calculation. n=14
Рисунок 3. Correcting factor. CO₂. Calculation. n=24
Рисунок 3. Correcting factor. CO₂. Calculation. n=5
Рисунок 3. Correcting factor. CO₂. Calculation. n=8
Рисунок 3. Calculation using (1), (2)
Рисунок 3. Calculations using data of Arefiev V.N., et al. (1977)
Рисунок 3. G.P.Montgomery (1978)
Рисунок 1. Calculation. Continuum Absorption. P(20) (10.59 mkm)
Рисунок 1. Calculation. Line Absorption R(20) (10.25 mkm)
Рисунок 1. Experiment. Continuum Absorption. P(20) (10.59 mkm)
Рисунок 1. Experiment. Line Absorption R(20) (10.25 mkm)
Рисунок 1. Bignell K.J., et al. (Fll Lorentz Lineshape)
Рисунок 1. Bignell K.J., et al. (Simple Lorentz Lineshape)
Рисунок 1. Bignell K.J., et al. (van Vleck-Weisskopf Lineshape)
Рисунок 1. Coffey M.T. (Full Lorentz Lineshape)
Рисунок 1. Coffey M.T. (Simple Lorentz Lineshape)
Рисунок 1. Coffey M.T. (van Vleck-Weisskopf Lineshape)
Рисунок 1. Knyazev N.A., et al. (Full Lorentz Lineshape)
Рисунок 1. Knyazev N.A., et al. (Simple Lorentz Lineshape)
Рисунок 1. Our calculation (Full Lorentz Lineshape)
Рисунок 1. Our calculation (Simple Lorentz Lineshape)
Рисунок 1. Our calculation (van Vleck-Weisskopf Lineshape)
Рисунок 8. D.E.Burch, et al. (1970, 1974)
Рисунок 8. Aerospace
Рисунок 8. Collisional broadening model
Рисунок 8. D.E.Burch, et al. (1970, 1974)
Рисунок 8. Dimer model (-6.5 kcal/mole binding energy)
Рисунок 8. G.P.Montgomery, Jr. (1978)
Рисунок 7. The calculated absorption coefficients of H₂O (1 atm, 1300-2300K, 1901.762 cm⁻¹)
Рисунок 7. The calculated absorption coefficients of H₂O (0.3 atm, 1300-2300K, 1901.762 cm⁻¹)
Рисунок 7. The calculated absorption coefficients of H₂O (0.64 atm, 1300-2300K, 1901.762 cm⁻¹)
Рисунок 7. The measured absorption coefficient (0.3 atm, 1300-2300K, 1901.762 cm⁻¹)
Рисунок 7. The measured absorption coefficient (0.64 atm, 1300-2300K, 1901.762 cm⁻¹)
Рисунок 7. The measured absorption coefficient (1 atm, 1300-2300K, 1901.762 cm⁻¹)
Рисунок 1. Absorption coefficient (228.3K, 20-300 cm⁻¹)
Рисунок 1. Absorption coefficient (253.5K, 20-300 cm⁻¹)
Рисунок 1. Absorption coefficient (277.5K, 20-300 cm⁻¹)
Рисунок 1. Absorption coefficient (297.5K, 20-300 cm⁻¹)
Рисунок 1. Absorption coefficient (322.6K, 20-300 cm⁻¹)
Рисунок 1. Absorption coefficient (343K, 20-300 cm⁻¹)
Рисунок 1. Laser results (15.1 cm⁻¹)
Рисунок 1. Laser results (84.2 cm⁻¹)
Рисунок 1a
Рисунок 1. Calculation (corner-corner approach)
Рисунок 1. Calculation (crossed-edge approach)
Рисунок 1. Calculation (staggered plane-plane approach)
Рисунок 1. Present model (corner-corner approach)
Рисунок 1. Present model (crossed-edge approach)
Рисунок 1. Present model (staggered plane-plane approach)
Рисунок 1a
Рисунок 1. Approximation of U(R) curve (4)
Рисунок 1. The boundary of the region of intermolecular distances R1 (left)
Рисунок 1. The boundary of the region of intermolecular distances R2 (right)
Рисунок 1. U(R) at TE0=273K
Рисунок 1. U0(R) at TE0=300K
Рисунок 2. Bulanin M.O., et al. (1976). Experiment T= 213 K
Рисунок 2. Bulanin M.O., et al. (1976). Experiment T= 273 K
Рисунок 2. Bulanin M.O., et al. (1976). Experiment T= 310 K
Рисунок 2. Calculation along the generalized contour at Т = 213 K
Рисунок 2. Calculation along the generalized contour at Т = 273 K
Рисунок 2. Calculation along the generalized contour at Т = 310 K
Таблица 3. Calculation with Lorentzian contour (T=300 K)
Таблица 3. Calculation with generalized contour (T=213K)
Таблица 3. Calculation with generalized contour (T=273K)
Таблица 3. Calculation with generalized contour (T=300K)
Таблица 3. Calculation with generalized contour (T=310K)
Таблица 3. Experiment (T=300K)
Таблица 5. Calculation with Lorentzian contour (T=300 K)
Таблица 5. Calculation with generalized contour (T=213K)
Таблица 5. Calculation with generalized contour (T=273K)
Таблица 5. Calculation with generalized contour (T=300K)
Таблица 5. Calculation with generalized contour (T=310K)
Таблица 5. Experiment (T=300K)
Таблица 6. Calculation with Lorentzian contour (T=300 K)
Таблица 6. Calculation with generalized contour (T=213K)
Таблица 6. Calculation with generalized contour (T=273K)
Таблица 6. Calculation with generalized contour (T=300K)
Таблица 6. Calculation with generalized contour (T=310K)
Таблица 6. Experiment (T=300K)
Таблица 3. Absorption coefficient behind the edge of the band 4.3 mkm. T= 273K
Таблица 3. Absorption coefficient behind the edge of the band 4.3 mkm. T=273K
Таблица 3. Absorption coefficient behind the edge of the band 4.3 mkm. T=296K
Таблица 3. Absorption coefficient behind the edge of the band 4.3 mkm. T=298K
Таблица 3. Absorption coefficient behind the edge of the band 4.3 mkm. T=333K
Таблица 3. Absorption coefficient behind the edge of the band 4.3 mkm. T=336K
Таблица 3. Absorption coefficient behind the edge of the band 4.3 mkm. T=359K
Таблица 3. Absorption coefficient behind the edge of the band 4.3 mkm. T=363K
Рисунок 2. Laser line P(20) Density=2.07
Рисунок 2. Laser line P(20) Density=2.08
Рисунок 2. Laser line P(20) Density=3.45
Рисунок 2. Laser line P(20) Density=5.25
Рисунок 2. S.H.Suck, et al. (1982). Dimer model
Рисунок 1. Theoretical values for water vapor monomers
Рисунок 1. Our total absorption (T=25.5C, P =730 Torr)
Рисунок 1. Our total absorption (T=25.5C, P=730 Torr)
Рисунок 1. Theoretical values for water vapor monomers
Рисунок 1a. A.A.Viktorova, et al. (1970). Theoretical dimer absorption
Рисунок 1a. A.A.Viktorova, et al. (1970). Theoretical dimer absorption.
Рисунок 1a. Our excess absorption
Рисунок 1a. Our excess absorption
Рисунок 1a. R.J. Emery, et al. (1975)
Рисунок 1a. R.J. Emery, et al. (1975)
Рисунок 2. Our total absorption
Рисунок 2. Our total absorption
Рисунок 2. Theoretical values for water vapor monomers.
Рисунок 2. Theoretical values for water vapor monomers
Рисунок 2a. A.A.Viktorova, et al. (1970). Theoretical dimer absorption.
Рисунок 2a. A.A.Viktorova, et al. (1970). Theoretical dimer absorption
Рисунок 2a. Our excess absorption.
Рисунок 2a. Our excess absorption
Рисунок 2a. R.J. Emery, et al. (1975), Excess absorption spectrum.
Рисунок 2a. R.J. Emery, et al. (1975). Excess absorption spectrum
Рисунок 1. D.E.Burch, (1976, 1982) (296K, 700-1100cm⁻¹)
Рисунок 1. Our experimental results (296K, 700-1100cm⁻¹)
Рисунок 1. Our fitting (296K, 700-1100cm⁻¹)
Рисунок 2. (296K, 700-1100cm⁻¹)
Рисунок 2. Experiment (284K, 700-1100cm⁻¹)
Рисунок 2. Self-broadening coefficient (284K, 700-1100cm⁻¹)
Рисунок 3. Fitting (1000 cm⁻¹)
Рисунок 3. Fitting (700 cm⁻¹)
Рисунок 3. LOTRAN 6 (1000 cm⁻¹)
Рисунок 3. LOTRAN 6 (700 cm⁻¹)
Рисунок 3. This work (1000 cm⁻¹)
Рисунок 3. This work (700 cm⁻¹)
Рисунок 4. H₂O+N₂. LOWTRAN 6 data (296K, 700-1200 cm⁻¹)
Рисунок 4. H₂O+N₂. Measured values (296K, 700-1200 cm⁻¹)
Рисунок 4. H₂O+N₂. Smoothed values (296K, 700-1200 cm⁻¹) (Tab)
Рисунок 6. Experiment (296K, 2400-2640cm⁻¹)
Рисунок 6. Experiment (328K, 2400-2640cm⁻¹)
Рисунок 6. Fitting (296K) (2400-2640cm⁻¹)
Рисунок 6. Fitting (328K) (2400-2640cm⁻¹)
Рисунок 7. 1971, extrapolated, (296 K)
Рисунок 7. D.E. Burch, et al. (1971). (338K, 2400-2800 cm⁻¹)
Рисунок 7. D.E. Burch, et al. (1971). (384K, 2400-2800 cm⁻¹)
Рисунок 7. D.E. Burch, et al. (1971). (428K, 2400-2800 cm⁻¹)
Рисунок 7. Present work (296K, 2400-2800 cm⁻¹)
Рисунок 7. Present work. (328K, 2400-2800 cm⁻¹)
Рисунок 8. Wavenumber 2400 cm⁻¹. Temperature dependence. Approximation
Рисунок 8. Wavenumber 2400 cm⁻¹. Temperature dependence. Experiment
Рисунок 8. Wavenumber 2500 cm⁻¹. Temperature dependence. Approximation
Рисунок 8. Wavenumber 2500 cm⁻¹. Temperature dependence. Experiment
Рисунок 8. Wavenumber 2600 cm⁻¹. Temperature dependence. Approximation
Рисунок 8. Wavenumber 2600 cm⁻¹. Temperature dependence. Experiment
Рисунок 4. L.M. Koukin, et al. (278K)
Рисунок 4. Absorption coefficient (263K, 0.6-0.9 cm⁻¹)
Рисунок 1a
Таблица 7. Absorption coefficients CO₂+Ar
Таблица 7. Absorption coefficients CO₂+H₂
Таблица 7. Absorption coefficients CO₂+He
Таблица 7. Absorption coefficients CO₂+N₂
Таблица 7. Absorption coefficients CO₂+Ne
Рисунок 1a
Рисунок 4a
Рисунок 4b
Рисунок 4c
Рисунок 4d
Рисунок 4e
Рисунок 4f
Рисунок 4g
Рисунок 4h
Рисунок 4i
Рисунок 4j
Рисунок 4k
Рисунок 5. Experimental results for the water dimer
Рисунок 5. Quantum simulation results for the water dimer
Рисунок 4. I E.L.Knuth (1977)
Рисунок 4. II D.E.Stogryn et al. (1959)
Рисунок 4. III This work
Рисунок 4. IV This work (classical partition functions)
Рисунок 4. V This work (neglecting the anisotropy)
Рисунок 4. VI This work (dimer as a diatomic molecule)
Рисунок 1a
Рисунок 1b
Рисунок 1a
Рисунок 1a
Рисунок 1b
Рисунок 1c
Таблица 1. Normalized Absorption Coefficient. T=193K
Таблица 1. Normalized Absorption Coefficient. T=218K
Таблица 1. Normalized Absorption Coefficient. T=238K
Таблица 1. Normalized Absorption Coefficient. T=258K
Таблица 1. Normalized Absorption Coefficient. T=296K
Таблица 1. Normalized Absorption Coefficient.T=296K
Рисунок 5a. Normalized absorption coefficient. CO₂. T=193K
Рисунок 5a. Normalized absorption coefficient. CO₂. T=296K
Рисунок 5b. Normalized absorption coefficient. CO₂. T=193K
Рисунок 5b. Normalized absorption coefficient. CO₂. T=296K
Рисунок 5c. Normalized absorption coefficient. CO₂. T=193K
Рисунок 5c. Normalized absorption coefficient. CO₂. T=296K
Рисунок 6. Temperature dependence of the normalized absorption coefficient (l=2395 cm⁻¹)
Рисунок 6. Temperature dependence of the normalized absorption coefficient (l=2435 cm⁻¹)
Рисунок 6. Temperature dependence of the normalized absorption coefficient (l=2485 cm⁻¹)
Рисунок 6. Temperature dependence of the normalized absorption coefficient (l=2590 cm⁻¹)
Рисунок 6. Temperature dependence of the normalized absorption coefficient. Fitting (l=2395 cm⁻¹)
Рисунок 6. Temperature dependence of the normalized absorption coefficient. Fitting (l=2435 cm⁻¹)
Рисунок 6. Temperature dependence of the normalized absorption coefficient. Fitting (l=2485 cm⁻¹)
Рисунок 6. Temperature dependence of the normalized absorption coefficient. Fitting (l=2590 cm⁻¹)
Рисунок 7. Correcting factor of the line shape (WSB)
Рисунок 9a. Best fit obtained with the two-parameter lineshape factor of Birnbaum
Рисунок 9a. Calculation with the Lorentzian model
Рисунок 9a. Experimental data (T=296K)
Рисунок 9b. Best fit obtained with the two-parameter lineshape factor of Birnbaum
Рисунок 9b. Calculation with Lorentzian model
Рисунок 9b. Experimental data (T=218K)
Таблица 2. Normalized Absorption Coefficient. Paris. T=296K
Таблица 2. Normalized Absorption Coefficient. Rennes. T=193K
Таблица 2. Normalized Absorption Coefficient. Rennes. T=218K
Таблица 2. Normalized Absorption Coefficient. Rennes. T=238K
Рисунок 2a. Normalized absorption coefficient. CO₂+N₂. T=193K
Рисунок 2a. Normalized absorption coefficient. CO₂+N₂. T=296K
Рисунок 2b. Normalized absorption coefficient. CO₂+N₂. T=193K
Рисунок 2b. Normalized absorption coefficient. CO₂+N₂. T=296K
Рисунок 2c. Normalized absorption coefficient. CO₂+N₂. Experiment. l=2395 cm⁻¹
Рисунок 2c. Normalized absorption coefficient. CO₂+N₂. Experiment. l=2435 cm⁻¹2435
Рисунок 2c. Normalized absorption coefficient. CO₂+N₂. Experiment. l=2445 cm⁻¹
Рисунок 2c. Normalized absorption coefficient. CO₂+N₂. Experiment. l=2520 cm⁻¹
Рисунок 2c. Normalized absorption coefficient. CO₂+N₂. l=2395 cm⁻¹
Рисунок 2c. Normalized absorption coefficient. CO₂+N₂. l=2435 cm⁻¹
Рисунок 2c. Normalized absorption coefficient. CO₂+N₂. l=2445 cm⁻¹
Рисунок 2c. Normalized absorption coefficient. CO₂+N₂. l=2520 cm⁻¹
Таблица 3. Normalized Absorption Coefficient. Rennes. T=193K
Таблица 3. Normalized Absorption Coefficient. Rennes. T=218K
Таблица 3. Normalized Absorption Coefficient. Rennes. T=238K
Таблица 3. Normalized Absorption Coefficient. Rennes. T=296K
Рисунок 3a. Normalized absorption coefficient. CO₂+O₂. T=193K
Рисунок 3a. Normalized absorption coefficient. CO₂+O₂. T=296K
Рисунок 3b. Normalized absorption coefficient. CO₂+O₂. T=193K
Рисунок 3b. Normalized absorption coefficient. CO₂+O₂. T=296K
Рисунок 3c. Normalized absorption coefficient. CO₂+O₂. Experiment. l=2395 cm⁻¹
Рисунок 3c. Normalized absorption coefficient. CO₂+O₂. Experiment. l=2435 cm⁻¹
Рисунок 3c. Normalized absorption coefficient. CO₂+O₂. Experiment. l=2445 cm⁻¹
Рисунок 3c. Normalized absorption coefficient. CO₂+O₂. Experiment. l=2520 cm⁻¹
Рисунок 3c. Normalized absorption coefficient. CO₂+O₂. l=2395 cm⁻¹
Рисунок 3c. Normalized absorption coefficient. CO₂+O₂. l=2435 cm⁻¹
Рисунок 3c. Normalized absorption coefficient. CO₂+O₂. l=2445 cm⁻¹
Рисунок 3c. Normalized absorption coefficient. CO₂+O₂. l=2520 cm⁻¹
Рисунок 4. CO₂+N₂. Correcting factor of the line shape (WSB)
Рисунок 4. CO₂+O₂. Correcting factor of the line shape (WSB)
Рисунок 5. CO₂+N₂. Correcting factor of the line shape (BGPB)
Рисунок 5. CO₂+N₂. Correcting factor of the line shape (CNRFB)
Рисунок 3. FIR Interferometer
Рисунок 3. FIR Laser (15.1 cm⁻¹)
Рисунок 3. FIR Laser (84.2 cm⁻¹)
Рисунок 3. Theory (Mori theory)
Рисунок 3a. FIR Interferometer
Рисунок 3a. FIR Laser (84.2 cm⁻¹)
Рисунок 3a. IR Laser (15.1 cm⁻¹)
Рисунок 3a. Theory (Mori theory)
Рисунок 3b. FIR Interferometer
Рисунок 3b. FIR Laser (15.1 cm⁻¹)
Рисунок 3b. FIR Laser (84.2 cm⁻¹)
Рисунок 3b. Theory (Mori theory)
Рисунок 3c. Buontempo et al. (1975). FIR Interferometer
Рисунок 3c. FIR Interferometer
Рисунок 3c. FIR Laser (15.1 cm⁻¹)
Рисунок 3c. FIR Laser (84.2 cm⁻¹)
Рисунок 3c. Theory (Mori theory)
Рисунок 1. Birnbaum, G. (1975) (195K, 0-600 cm⁻¹)
Рисунок 1. Present results (195K, 0-600 cm⁻¹)
Рисунок 1a. Birnbaum, G. (1975) (296K, 0-600 cm⁻¹)
Рисунок 1a. Present results (296K, 0-600 cm⁻¹)
Таблица 1. Binary absorption coefficient CO₂+Ar
Таблица 1. Binary absorption coefficient CO₂+D₂
Таблица 1. Binary absorption coefficient CO₂+H₂
Таблица 1. Binary absorption coefficient CO₂+He
Таблица 1. Binary absorption coefficient CO₂+N₂
Таблица 1. Binary absorption coefficient CO₂+Ne
Таблица 1. Binary absorption coefficient CO₂+Xe
Рисунок 1. CO₂+Ar. Correction factor of the Lorentz shape
Рисунок 1. CO₂+D₂. Correction factor of the Lorentz shape
Рисунок 1. CO₂+H₂. Correction factor of the Lorentz shape
Рисунок 1. CO₂+He. Correction factor of the Lorentz shape
Рисунок 1. CO₂+N₂. Correction factor of the Lorentz shape
Рисунок 1. CO₂+Ne. Correction factor of the Lorentz shape
Рисунок 1. CO₂+Xe. Correction factor of the Lorentz shape
Рисунок 1. Расчет по модели изолированных ветвей
Рисунок 1. Расчет по модели сильных столкновений
Таблица 1. Absorption coefficient. T=213K. Calculation
Таблица 1. Absorption coefficient. T=293K. Calculation
Таблица 1. Absorption coefficient. T=310K. Calculation
Таблица 1. Bulanin M.O., et al. (1976). T=213K. Experiment
Таблица 1. Bulanin M.O., et al. (1976). T=293K. Experiment
Таблица 1. Bulanin M.O., et al. (1976). T=310K. Experiment
Рисунок 4a. Calculation with V(T₀=293 K), T=673K
Рисунок 4a. Calculation with V(T0=293 K), T=300K
Рисунок 4a. Calculation with V(T0=293°K), T=473K
Рисунок 4b. Calculation with V(T), T=300K
Рисунок 4b. Calculation with V(T), T=473K
Рисунок 4b. Calculation with V(T), T=673K
Рисунок 5a. Bulanin M.O., et al. (1976). Experiment. T=213K
Рисунок 5a. Original calculation. T=213K, V(T0)
Рисунок 5a. Original calculation. T=310K, V(T0)
Рисунок 5a. Original calculation. T=500K, V(T0)
Рисунок 5a. Winters B.H., et al. (1964) and Bulanin M.O., et al. (1976). Experiment. T=300K
Рисунок 5b. Original calculation. T=213K, V(T)
Рисунок 5b. Original calculation. T=310K, V(T)
Рисунок 5b. Original calculation. T=310K, V(T)
Рисунок 5b. Original calculation. T=590K, V(T)
Рисунок 5b. Winters B.H., et al. (1964) and Буланин М.О., et al. (1976). Experiment T=300K
Рисунок 5b. Буланин М.О., et al. (1976). Experiment T=213K
Рисунок 5c. Calculation with a dispersion contour. T=213K
Рисунок 5c. Calculation with a dispersion contour. T=310K
Рисунок 5c. Calculation with a dispersion contour. T=500K
Рисунок 5c. Winters B.H., et al. (1964) and Буланин М.О., et al. (1976). Experiment T=300K
Рисунок 5c. Буланин М.О., et al. (1976). Experiment T=213K
Рисунок 6. Calculation with a dispersion contour. (2394 cm⁻¹)
Рисунок 6. Calculation with a dispersion contour. (2396 cm⁻¹)
Рисунок 6. Calculation with a dispersion contour. (2400 cm⁻¹)
Рисунок 6. Calculation with a dispersion contour. (2410 cm⁻¹)
Рисунок 6. Calculation with a dispersion contour. (2420 cm⁻¹)
Рисунок 6. Present calculation. (2394 cm⁻¹)
Рисунок 6. Present calculation. (2396 cm⁻¹)
Рисунок 6. Present calculation. (2400 cm⁻¹)
Рисунок 6. Present calculation. (2410 cm⁻¹)
Рисунок 6. Present calculation. (2420 cm⁻¹)
Рисунок 1a. Calculation with a Lorentzian contour
Рисунок 1a. Calculation with a limited number of interacting lines
Рисунок 1a. Experiment
Рисунок 1a. Positions and relative intensities of the lines
Рисунок 1b. Calculation with a Lorentzian contour
Рисунок 1b. Calculation with a limited number of interacting lines
Рисунок 1b. Experiment
Рисунок 1b. Positions and relative intensities of the lines
Рисунок 1b. Сalculation with the strong collision model
Рисунок 1. Table 1. Calculated
e
C
s
⁰
Рисунок 1. Table 1. Corrected
e
C⁰
s
Рисунок 1. Table 1. Empirical
e
C
s
⁰
Рисунок 3. Calculated
e
C
s
⁰ (3000-4400 cm⁻¹)
Рисунок 3. Corrected
e
C
s
⁰ (3000-4400 cm⁻¹)
Рисунок 3. Empirical
e
C
s
⁰ (3000-4400 cm⁻¹)
Рисунок 5. Calculated
e
C⁰
N
(296K, 3000 to 4200 cm⁻¹)
Рисунок 5. Corrected
e
C⁰
N
(296K, 3000-4200 cm⁻¹)
Рисунок 5. Empirical
e
C⁰
N
(296K, 3000 to 4200 cm⁻¹)
Рисунок 6. Continuum (308K, 1400-1900 cm⁻¹)
Рисунок 6. Contribution of lines
Рисунок 6. Empirical continuum (308K, 1400-1900 cm⁻¹)
Рисунок 6. Experiment (308K, 1400-1900 cm⁻¹)
Рисунок 7. H₂O+N₂. (T=308K, 1400-1850 cm⁻¹)
Рисунок 7. H₂O+N₂. (T=353K, 1290-1450 cm⁻¹)
Рисунок 7. H₂O+N₂. (T=353K, 1600-2000 cm⁻¹)
Рисунок 7. H₂O+N₂. (T=428K, 1850-2050 cm⁻¹)
Рисунок 7. H₂O. (T=308K, 1400-1850 cm⁻¹)
Рисунок 7. H₂O. (T=322K, 1850-2250 cm⁻¹)
Рисунок 7. H₂O. (T=353K, 1290-1450 cm⁻¹)
Рисунок 7. H₂O. (T=353K, 1600-2200 cm⁻¹)
Рисунок 7. H₂O. (T=428K, 1290-1450 cm⁻¹)
Рисунок 7. H₂O. (T=428K, 1850-2200 cm⁻¹)
Рисунок 1. Experimental data
Рисунок 1. Regression fit
Рисунок 2. Experimental data
Рисунок 2. Regression fit
Рисунок 3. Experimental data
Рисунок 3. Regression fit
Рисунок 4. Difference between 9R(36) and 9R(34)
Рисунок 4. Regression fit
Рисунок 8. Fedoseev L.I. et al. (1984) (278K, 190-260 GHz)
Рисунок 8. Millimeter-Wave Propagation Model (MPM)
Рисунок 8a. Fedoseev L.I. et al. (1984) (263K, 180-260 GHz)
Рисунок 8a. Millimeter-Wave Propagation Model (MPM) 263K
Рисунок 2. D.E.Burch, et al. (1971) (338K, 2400-2850 cm⁻¹)
Рисунок 2. H₂O+N₂. D.E.Burch, et al. (1971) (296K, 2400-2800 cm⁻¹))
Рисунок 2. Total line shape (298K)
Рисунок 2. Total line shape (338K)
Рисунок 3. D.E.Burch, et al. (1971, 1980) (280-400K, 944.195 cm⁻¹)
Рисунок 3. Dimer
Рисунок 3. G.L.Loper, et al. (1983) (260-300K, 944.195 cm⁻¹)
Рисунок 3. J.C.Peterson, et al. (1978,1979) (280-305K, 944.195 cm⁻¹)
Рисунок 3. Total line shape
Рисунок 3. V.N.Arefev et al. (1977) (280-360Kб 944.195 cm⁻¹)
Рисунок 4. D.E.Burch et al. (1971, 1980) (1203 cm⁻¹)
Рисунок 4. Dimer and local lines
Рисунок 4. Dimer
Рисунок 4. G.L.Loper, et al. (1983)
Рисунок 4. G.P.Montgomery Jr. (1978)
Рисунок 4. Total line Shape
Рисунок 5. Experiment (296K, 850-1100 cm⁻¹)
Рисунок 5. Experiment (392K, , 850-1100 cm⁻¹)
Рисунок 5. Total line shape (392K)
Рисунок 5. Total line shape 296K
Рисунок 6. D.E.Burch et al. (1971, 1980) (2500 cm⁻¹)
Рисунок 6. Total line shape (2500 cm⁻¹)
Рисунок 1a
Рисунок 1a
Рисунок 1a
Рисунок 1a
Рисунок 1a
Рисунок 2. LLambda contributions (LLambda=32 CH₄)
Рисунок 2. LLambda contributions (LLambda=43 CH₄)
Рисунок 2. LLambda contributions (LLambda=54 CH₄)
Рисунок 2. Quantum calculation based on the fit of the measurement
Рисунок 2. Sutter et al. (1986). Experiment (195K)
Рисунок 3. A quantum calculation based on the fit of the measurement. (297K)
Рисунок 3. Birnbaum, G., et al. (1987). Absorption coefficient of H2 + CH4
Рисунок 3. LLambda contributions as follows: LLambda = 32 CH₄
Рисунок 3. LLambda contributions as follows: LLambda = 43 CH₄
Рисунок 3. LLambda contributions as follows: LLambda = 54 CH₄
Рисунок 4. Absorption coefficient of H₂-CH₄ calculated at 70K, in the region of the hydrogen S
o
(0) line
Рисунок 5. 2
Рисунок 5. LLambda contribution (LLambda=54 H₂)
Рисунок 5. LLambda contributions (LLambda=32 CH₄)
Рисунок 5. LLambda contributions (LLambda=43 CH₄)
Рисунок 5. Total LLambda contribution
Рисунок 2. Buontempo et al. (1975) (124K, 0-200 cm⁻¹)
Рисунок 2. Fitting (126K)
Рисунок 2. Fitting (149K)
Рисунок 2. Fitting (179K)
Рисунок 2. Stone et al. (1984), Dagg et al. (1985) (126K, 0-200 cm⁻¹)
Рисунок 2. Stone et al. (1984), Dagg et al. (1985) (149K, 0-200 cm⁻¹)
Рисунок 2. Stone et al. (1984), Dagg et al. (1985) (179K, 0-200 cm⁻¹)
Рисунок 2a. Dagg, I.R., et al. (1985) (300K)
Рисунок 2a. Fitting-228.3K
Рисунок 2a. Fitting-300K
Рисунок 2a. Stone, N. W. B., et al. (1984) (228.3K)
Рисунок 2a. U. Buentempo, et al. (300K)
Рисунок 1a. CO₂+N₂. (2374-2383 cm⁻¹, T=193K)
Рисунок 1a. CO₂+N₂. (2374-2383 cm⁻¹, T=238K)
Рисунок 1a. CO₂+N₂. (2374-2383 cm⁻¹, T=296K)
Рисунок 1b. CO₂+N₂. (2383-2388 cm⁻¹, T=193K)
Рисунок 1b. CO₂+N₂. (2383-2388 cm⁻¹, T=238K)
Рисунок 1b. CO₂+N₂. (2383-2388 cm⁻¹, T=296K)
Рисунок 1c. CO₂+N₂. (2388-2395 cm⁻¹, T=193K)
Рисунок 1c. CO₂+N₂. (2388-2395 cm⁻¹, T=238K)
Рисунок 1c. CO₂+N₂. (2388-2395 cm⁻¹, T=296K)
Рисунок 2a. CO₂+O₂. (2374-2383 cm⁻¹, T=193K)
Рисунок 2a. CO₂+O₂. (2374-2383 cm⁻¹, T=238K)
Рисунок 2a. CO₂+O₂. (2374-2383 cm⁻¹, T=296K)
Рисунок 2b. CO₂+O₂. (2383-2387 cm⁻¹, T=193K)
Рисунок 2b. CO₂+O₂. (2383-2387 cm⁻¹, T=238K)
Рисунок 2b. CO₂+O₂. (2383-2387 cm⁻¹, T=296K)
Рисунок 2c. CO₂+O₂. (2387-2393 cm⁻¹, T=193K)
Рисунок 2c. CO₂+O₂. (2387-2393 cm⁻¹, T=238K)
Рисунок 2c. CO₂+O₂. (2387-2393 cm⁻¹, T=296K)
Таблица 4. Normalized Absorption Coefficient. Paris. T=296K
Таблица 4. Normalized Absorption Coefficient. Rennes. T=193K
Таблица 4. Normalized Absorption Coefficient. Rennes. T=218K
Таблица 4. Normalized Absorption Coefficient. Rennes. T=238K
Таблица 4. Normalized Absorption Coefficient. Rennes. T=296K
Таблица 5. Normalized Absorption Coefficient. Rennes. T=193K
Таблица 5. Normalized Absorption Coefficient. Rennes. T=218K
Таблица 5. Normalized Absorption Coefficient. Rennes. T=238K
Таблица 5. Normalized Absorption Coefficient. Rennes. T=296K
Рисунок 4. FIR interferometer. The experimental results (212K, 0-400 cm⁻1)
Рисунок 4. FIR laser (212K, 15.1 cm⁻¹)
Рисунок 4. FIR laser (212K, 84.2 cm⁻¹)
Рисунок 4. Microwave (212K, 4.85 cm⁻1)
Рисунок 4. Theory (212K, 0-400 cm⁻1)
Рисунок 4a. FIR interferometer. The experimental results (179K, 0-400 cm⁻1)
Рисунок 4a. FIR laser (179K, 15.1 cm⁻¹)
Рисунок 4a. FIR laser (179K, 84.2 cm⁻¹)
Рисунок 4a. Microwave (179K, 4.85 cm⁻1)
Рисунок 4a. Theory (179K, 0-400 cm⁻1)
Рисунок 4b. FIR laser (149K, 15.1 cm⁻¹)
Рисунок 4b. FIR laser (149K, 84.2 cm⁻¹)
Рисунок 4b. Microwave (149K, 4.85 cm⁻1)
Рисунок 4b. The experimental results (149K, 0-400 cm⁻1)
Рисунок 4b. Theory (149K, 0-400 cm⁻1)
Рисунок 4c. FIR interferometer. The experimental results (126K, 0-400 cm⁻1)
Рисунок 4c. FIR laser (126K, 15.1 cm⁻¹)
Рисунок 4c. FIR laser (126K, 84.2 cm⁻¹)
Рисунок 4c. Microwave (126K, 4.85 cm⁻1)
Рисунок 4c. Theory (126K, 0-400 cm⁻1)
Рисунок 4c. Theory. Hexadecapole induction (126K, 0-400 cm⁻1)
Рисунок 4c. Theory. Octopole induction (126K, 0-400 cm⁻1)
Рисунок 4c. Theory. Quadrupole induction (126K, 0-400 cm⁻1)
Рисунок 1. P. Codastefano, et al. (1986) (140K, 150-850 cm⁻¹)
Рисунок 1. Theoretical roto-translational spectra H₂-CH₄ (140K, 150-850 cm⁻¹)
Рисунок 1a. P. Codastefano, et al. (1986) (163K, 150-850 cm⁻¹)
Рисунок 1a. Theoretical roto-translational spectra H₂-CH₄ (163K, 150-850 cm⁻¹)
Рисунок 1b. P. Codastefano, et al. (1986) (175K, 150-850 cm⁻¹)
Рисунок 1b. Theoretical roto-translational spectra H₂+CH₄ (175K, 150-850 cm⁻¹)
Рисунок 1c. P. Codastefano, et al. (1986) (195K, 150-850 cm⁻¹)
Рисунок 1c. Theoretical roto-translational spectra H₂-CH₄ (195K, 150-850 cm⁻¹)
Рисунок 1d. P. Codastefano, et al. (1986) (296K, 150-850 cm⁻¹)
Рисунок 1d. Theoretical roto-translational spectra H₂+CH₄ (296K, 150-850 cm⁻¹)
Рисунок 1. Measured roto-translational spectra (91K, 100-800 cm⁻¹)
Рисунок 1. Theoretical roto-translational spectra (91K, 100-800 cm⁻¹)
Рисунок 1a. Measured roto-translational spectra (141K, 100-800 cm⁻¹)
Рисунок 1a. Theoretical roto-translational spectra (141K, 100-800 cm⁻¹)
Рисунок 1b. Measured roto-translational spectra (165K, 100-800 cm⁻¹)
Рисунок 1b. Theoretical roto-translational spectra (165K, 100-800 cm⁻¹)
Рисунок 1c. Measured roto-translational spectra (195K, 100-800 cm⁻¹)
Рисунок 1c. Theoretical roto-translational spectra (195K, 100-800 cm⁻¹)
Рисунок 1d. Measured roto-translational spectra (298K, 100-800 cm⁻¹)
Рисунок 1d. Theoretical roto-translational spectra (298K, 100-800 cm⁻¹)
Рисунок 1. CH₄ absorption p²
m
A
mm
(v). (175K, 100-500 cm⁻¹)
Рисунок 1. H₂ absorption p²
h
A
hh
(v). (175K, 100-500 cm⁻¹)
Рисунок 1. Measured absorption A
e
(v) (175K, 100-500 cm⁻¹)
Рисунок 1. Total absorption due to all of the CH₄+H₂ interactions A
T
HM
(v) (175K, 100-500 cm⁻¹)
Рисунок 2. CH₄ absorption p²
m
A
mm
(v). (175K, 300-850 cm⁻¹)
Рисунок 2. H₂ absorption p²
h
A
hh
(v) (175K, 300-850 cm⁻¹)
Рисунок 2. Measured absorption A
e
(v) (175K, 300-850 cm⁻¹)
Рисунок 2. Total absorption due to all of the CH₄+H₂ interactions A
T
HM
(v)(175K, 300-850 cm⁻¹)
Рисунок 3. Absorption coefficient A
HM
(v) (195K, 200-850 cm⁻¹)
Рисунок 3. Previous measurements (195K, 200-850 cm⁻¹)
Рисунок 3a. Absorption coefficient A
HM
(v) (296K, 200-850 cm⁻¹)
Рисунок 3a. Previous measurements (296K, 200-850 cm⁻¹)
Рисунок 4. Best fitting profile (140K, 0-850 cm⁻¹)
Рисунок 4. Experimental F
HM
(v) (140K, 0-850 cm⁻¹)
Рисунок 4. m-h contribution (140K, 0-850 cm⁻¹)
Рисунок 1. Table 1. Computation
Рисунок 1. Table 1. Experiment
Рисунок 1. Table 1. Kelley P.L., et al. (1976)
Рисунок 1. Table 1. Rice D.K., et al. (1973), Menzies R.T., et al. (1976)
Рисунок 1. CO₂+Hе, 13.4 Amagat
Рисунок 1. CO₂+Hе, 2.2 Amagat
Рисунок 1. CO₂+Hе, 47.4 Amagat
Рисунок 1. CO₂+Хе, 14.8 Amagat
Рисунок 1. CO₂+Хе, 2.1 Amagat
Рисунок 1. CO₂+Хе, 45.0 Amagat
Рисунок 1. CO₂+Хе, 7.0 Amagat
Рисунок 2. The shape of the Q-branch of the band v=1932 cm⁻¹. CO₂+Ar. Experiment
Рисунок 2. The shape of the Q-branch of the band v=1932 cm⁻¹. CO₂+He. Experiment
Рисунок 2. The shape of the Q-branch of the band v=1932 cm⁻¹. CO₂+Ne. Experiment
Рисунок 2. The shape of the Q-branch of the band v=1932 cm⁻¹. CO₂+Xe. Experiment
Рисунок 2. The shape of the Q-branch of the band v=1932 cm⁻¹. Calculation (MILDC)
Рисунок 2. The shape of the Q-branch of the band v=1932 cm⁻¹. Calculation (MInB)
Рисунок 2. The shape of the Q-branch of the band v=1932 cm⁻¹. Calculation (MIsB)
Таблица 1. The absorption coefficient. CO₂+N₂. T=210K
Таблица 1. The absorption coefficient. CO₂+N₂. T=230K
Таблица 1. The absorption coefficient. CO₂+N₂. T=250K
Таблица 1. The absorption coefficient. CO₂+N₂. T=260K
Таблица 1. The absorption coefficient. CO₂+N₂. T=280K
Таблица 1. The absorption coefficient. CO₂+N₂. T=300K
Рисунок 1. Function of deviation. CO₂+Ar. Calculation of a model of a limited number of interacting lines
Рисунок 1. Function of deviation. CO₂+Ar. Experiment
Рисунок 1. Function of deviation. CO₂+He. Calculation of a model of a limited number of interacting lines
Рисунок 1. Function of deviation. CO₂+He. Experiment
Рисунок 1. Function of deviation. CO₂+N₂. Calculation of a model of a limited number of interacting lines
Рисунок 1. Function of deviation. CO₂+N₂. Experiment
Рисунок 1. Function of deviation. CO₂+Ne. Calculation of a model of a limited number of interacting lines
Рисунок 1. Function of deviation. CO₂+Ne. Experiment
Рисунок 1. Function of deviation. CO₂+Xe. Calculation of a model of a limited number of interacting lines
Рисунок 1. Function of deviation. CO₂+Xe. Experiment
Рисунок 1. Function of deviation. CO₂. Calculation of a strong collision model
Таблица 1. Adiks T.G., et al. (1984). Experiment. T=273K
Таблица 1. Adiks T.G., et al. (1984). Experiment. T=298K
Таблица 1. Adiks T.G., et al. (1984). Experiment. T=333K
Таблица 1. Adiks T.G., et al. (1984). Experiment. T=363K
Таблица 1. Original calculation. (2400-2450 cm-1, T=273K)
Таблица 1. Original calculation. (2400-2450 cm-1, T=298K)
Таблица 1. Original calculation. (2400-2450 cm-1, T=333K)
Таблица 1. Original calculation. (2400-2450 cm-1, T=363K)
Рисунок 1a. Absorption coefficient. Calculation with V (T0 = 293K) at T=300K
Рисунок 1a. Absorption coefficient. Calculation with V (T0 = 293K) at T=473K
Рисунок 1a. Absorption coefficient. Calculation with V (T0 = 293K) at T=673K
Рисунок 1b. Absorption coefficient. Calculation with V (T) at T=300K
Рисунок 1b. Absorption coefficient. Calculation with V (T) at T=473K
Рисунок 1b. Absorption coefficient. Calculation with V (T) at T=673K
Рисунок 4. Baranov Yu.I., et al. (1981). CO₂+He. Experiment
Рисунок 4. Burch D.E., et al. (1969). CO₂+He. Experiment
Рисунок 4. Burch D.E., et al. (1969). CO₂+N₂. Experiment
Рисунок 4. CO₂+He. Calculation with Γmm
Рисунок 4. CO₂+He. Calculation with ENT contour
Рисунок 4. CO₂+He. Experiment
Рисунок 4. CO₂+N₂. Calculation with Γmm
Рисунок 4. CO₂+N₂. Calculation with ENT contour
Рисунок 4. CO₂+N₂. Experiment
Рисунок 1. CO₂ + Ar. Calculation according to the formula (1)
Рисунок 1. CO₂ + Ar. Experiment
Рисунок 1. CO₂ + Ar. Lorentz curve
Рисунок 1. CO₂ + He. Calculation according to the formula (1)
Рисунок 1. CO₂ + He. Lorentz curve
Рисунок 1. Sattarov, K., et al. (1983). CO₂ + He. Experiment
Таблица 1. Normalized Absorption Coefficient. Paris. T=296K
Таблица 1. Normalized Absorption Coefficient. Rennes. T=193K
Таблица 1. Normalized Absorption Coefficient. Rennes. T=296K
Таблица 2. Normalized Absorption Coefficient. Paris. T=296K
Таблица 2. Normalized Absorption Coefficient. Rennes. T=193K
Таблица 2. Normalized Absorption Coefficient. Rennes. T=296K
Рисунок 1. Absorption coefficients of gaseous methane (150K, 0-600 cm⁻¹)
Рисунок 1. Absorption coefficients of gaseous methane (175K, 0-600 cm⁻¹)
Рисунок 1. Absorption coefficients of gaseous methane (195K, 0-600 cm⁻¹)
Рисунок 3. Experimentally determined absorption band. (243K, 50-700 cm⁻¹)
Рисунок 3. The best-fit curve obtained by using the ab inifio computed single line profiles
Рисунок 3. The best-fit curve: (a) octupolar contribution
Рисунок 3. The best-fit curve: (b) hexadecapolar contribution
Рисунок 4. Experimentally determined absorption band. (163K, 50-600 cm⁻¹)
Рисунок 4. The best-fit curve obtained by using the MLEW model to describe the single line profiles (R=2.3)
Рисунок 4. The best-fit curve: (a) octupolar contribution (R=2.3)
Рисунок 4. The best-fit curve: (b) hexadecapolar contribution (R=2.3)
Рисунок 4a. Experimentally determined absorption band. (163K, 50-600 cm⁻¹)
Рисунок 4a. The best-fit curve obtained by using the MLEW model to describe the line profiles (R=1.6)
Рисунок 4a. The best-fit curve: (a) octupolar contribution (R=1.6)
Рисунок 4a. The best-fit curve: (b) hexadecapolar contribution (R=1.6)
Рисунок 1a
Рисунок 1b
Рисунок 1c
Рисунок 2. CO₂ laser line 10P(30)
Рисунок 2. S.H. Suck, et al. (1979). Dimer model
Рисунок 1a
Рисунок 3. Calculated. Perpendicular band
Рисунок 3. Experimental
Рисунок 1. Calculation of the CO₂ trimer spectrum
Рисунок 1a. Observed spectrum of the (CO₂)₂ (5 atm)
Рисунок 1a. Observed spectrum of the CO₂+(CO₂)₂+He (5 atm)
Рисунок 1b. Observed spectrum of the CO₂+(CO₂)₂+He (2 atm)
Рисунок 1c. Observed spectrum of the CO₂+(CO₂)₂+He (3 atm)
Рисунок 1. Absorption coefficients of CH₄+CH₄ (295K)
Рисунок 1. P. Codastefano, et al. (1986). Experimental data ( 295K, 0-600 cm⁻¹)
Рисунок 1a. Fitted absorption coefficients of CH₄+CH₄ (243K, 0-600 cm⁻¹)
Рисунок 1a. P. Codastefano, et al. (1986). Experimental data (243K, 0-600 cm⁻¹)
Рисунок 1b. Fitted absorption coefficients of CH₄+CH₄ (195K, 0-600 cm⁻¹)
Рисунок 1b. P. Codastefano, et al. (1986). Experimental data (195K, 0-600 cm⁻¹)
Рисунок 1c. Fitted absorption coefficients of CH₄+CH₄ (175K, 0-600 cm⁻¹)
Рисунок 1c. P. Codastefano, et al. (1986). Experimental data (175K, 0-600 cm⁻¹)
Рисунок 1d. Fitted absorption coefficients of CH₄+CH₄ (163K, 0-600 cm⁻¹)
Рисунок 1d. P. Codastefano, et al. (1986). Experimental data (163K, 0-600 cm⁻¹)
Рисунок 1e. Fitted absorption coefficients of CH₄-CH₄ (151K, 0-600 cm⁻¹)
Рисунок 1e. P. Codastefano, et al. (1986). Experimental data (151K, 0-600 cm⁻¹)
Рисунок 1f. Fitted absorption coefficients of CH₄-CH₄ (140K, 0-600 cm⁻¹)
Рисунок 1f. P. Codastefano, et al. (1986). Experimental data (151K, 0-600 cm⁻¹)
Рисунок 1g. CH₄-CH₄. The contribution due to the hexadecapole induction (126K, 0-600 cm⁻¹)
Рисунок 1g. CH₄-CH₄. The contributions due to the octopole induction (126K, 0-600 cm⁻¹)
Рисунок 1g. Fitted absorption coefficients of CH₄-CH₄ (126K, 0-600 cm⁻¹)
Рисунок 1g. I.R. Dagg, et al. (1986). Absorption coefficients of CH₄-CH₄. (126K, 0-600 cm⁻¹)
Рисунок 1. Part of mixture spectrum showing the contributions due to CH₄ collisions
Рисунок 1. Part of mixture spectrum showing the contributions due to H₂+CH₄ collisions
Рисунок 1. Part of mixture spectrum showing the contributions due to H₂+H₂ collisions
Рисунок 1. The Far-Infrared spectrum of a mixture of 20.7% CH₄ in H₂ at 195K
Рисунок 2. Part of mixture spectrum showing the contributions due to CH₄+CH₄ collisions
Рисунок 2. Part of mixture spectrum showing the contributions due to H₂+CH₄ collisions
Рисунок 2. Part of mixture spectrum showing the contributions due to H₂+H₂ collisions
Рисунок 2. The Far-Infrared spectrum of a mixture of 20.7% CH₄ in H₂ at 297K
Рисунок 3. Fitting the difference between the experinmental and computed CH₄ induced spectra
Рисунок 3. The experinmental points CH₄+H₂ (195K, 0-1000 cm⁻¹)
Рисунок 3. The quadrupole-Induced spectrum of H₂ (195K, 0-1000 cm⁻¹)
Рисунок 3. The sum of the computed octopole and hexadecapole-induced spectrum of CH₄ (195K, 0-1000 cm⁻¹)
Рисунок 3. The sum of the computed spectrum of CH₄ and H₂ (195K, 0-1000 cm⁻¹)
Рисунок 4. Fitting the difference between the experinmental and computed CH₄ induced spectra
Рисунок 4. The experinmental points CH₄+H₂ (297K, 0-1000 cm⁻¹)
Рисунок 4. The quadrupole-Induced spectrum of H₂ (297K, 0-1000 cm⁻¹)
Рисунок 4. The sum of the computed octopole and hexadecapole-induced spectrum of CH₄ (297K, 0-1000 cm⁻¹)
Рисунок 4. The sum of the computed spectrum of CH₄ and H₂ (297K, 0-1000 cm⁻¹)
Рисунок 1. The hexadecapole-induced contribution (300K, 0-600 cm⁻¹)
Рисунок 1. The octopole-induced contribution (300K, 0-600 cm⁻¹)
Рисунок 1. The total contribution (300K, 0-650 cm⁻¹)
Рисунок 1a. The hexadecapole-induced contribution (110K, 0-600 cm⁻¹)
Рисунок 1a. The octopole-induced contribution (110K, 0-600 cm⁻¹)
Рисунок 1a. The total contribution (110K, 0-650 cm⁻¹)
Рисунок 1b. The hexadecapole-induced contribution (50K, 0-600 cm⁻¹)
Рисунок 1b. The octopole-induced contribution (50K, 0-600 cm⁻¹)
Рисунок 1b. The total contribution (50K, 0-650 cm⁻¹)
Рисунок 1. Best fit (297K)
Рисунок 1. Hexadecapolar component (297K)
Рисунок 1. Stone, N. W. B., et al. (1984) Experimental data (297K)
Рисунок 1a. Best fit (149K)
Рисунок 1a. Hexadecapolar component (149K)
Рисунок 1a. Stone, N. W. B., et al. (149K)
Рисунок 2. Computed spectra (140K)
Рисунок 2. P.Codastefano, et al. (1986) (140K)
Рисунок 2a. Computed spectra (93K)
Рисунок 2a. J.L.Hunt, et al. (1983) (90K)
Рисунок 2a. P.Codastefano, et al. (1986) (93K)
Рисунок 1. Adiks T.G., et al. (1984). (2400 cm⁻¹)
Рисунок 1. Adiks T.G., et al. (1984). (2410 cm⁻¹)
Рисунок 1. Adiks T.G., et al. (1984). (2420 cm⁻¹)
Рисунок 1. Adiks T.G., et al. (1984). (2430 cm⁻¹)
Рисунок 1. Adiks T.G., et al. (1984). (2440 cm⁻¹)
Рисунок 1. Adiks T.G., et al. (1984). (2450 cm⁻¹)
Рисунок 1. Bulanin M.O., et al. (1976). (2400 cm⁻¹)
Рисунок 1. Bulanin M.O., et al. (1976). (2410 cm⁻¹)
Рисунок 1. Bulanin M.O., et al. (1976). (2420 cm⁻¹)
Рисунок 1. Bulanin M.O., et al. (1976). (2430 cm⁻¹)
Рисунок 1. Bulanin M.O., et al. (1976). (2440 cm⁻¹)
Рисунок 1. Bulanin M.O., et al. (1976). (2450 cm⁻¹)
Рисунок 1. Le Doucen R., et al. (1985). (2400 cm⁻¹)
Рисунок 1. Le Doucen R., et al. (1985). (2410 cm⁻¹)
Рисунок 1. Le Doucen R., et al. (1985). (2420 cm⁻¹)
Рисунок 1. Le Doucen R., et al. (1985). (2430 cm⁻¹)
Рисунок 1. Le Doucen R., et al. (1985). (2440 cm⁻¹)
Рисунок 1. Le Doucen R., et al. (1985). (2450 cm⁻¹)
Рисунок 1. This work (2400 cm⁻¹)
Рисунок 1. This work (2410 cm⁻¹)
Рисунок 1. This work (2420 cm⁻¹)
Рисунок 1. This work (2430 cm⁻¹)
Рисунок 1. This work (2440 cm⁻¹)
Рисунок 1. This work (2450 cm⁻¹)
Рисунок 2. Calculation. T=218K
Рисунок 2. Calculation. T=296K
Рисунок 2. Le Doucen R., et al. (1985). Experiment. T=218K
Рисунок 2. Le Doucen R., et al. (1985). Experiment. T=296K
Рисунок 2. Adiks T.G., et al. (1984). Experiment. T=298K
Рисунок 2. Le Doucen R., et al. (1985). Experiment. T=193K
Рисунок 2. Le Doucen R., et al. (1985). Experiment. T=296K
Рисунок 2. Сalculation. T = 296K
Рисунок 2. Сalculationю T = 193K
Рисунок 1. All of the lines
Рисунок 1. Self-broadened water vapor spectra
Рисунок 1. Self-broadened water vapor
Рисунок 2. Calculated water vapor spectra (lower)
Рисунок 2. Calculated water vapor spectra (upper)
Рисунок 2. Measured water vapor spectra
Рисунок 3. Experimental continua
Рисунок 3. Theoretical continua
Рисунок 4. D.E. Burch et al. (1984) (2500 cm⁻¹)
Рисунок 4. G.L. Loper, et al. (1981). Temperature dependence of the self-broadening coefficient
Рисунок 4. M.E. Thomas et al. (1982)
Рисунок 4. Our data
Рисунок 1a
Рисунок 1b
Рисунок 1c
Рисунок 1d
Рисунок 1e
Рисунок 1f
Рисунок 1g
Рисунок 1h
Рисунок 1i
Рисунок 1a
Рисунок 19. Laser line: 10P(20). Density=2.07
Рисунок 19. Laser line: 10P(20). Density=2.08
Рисунок 19. Laser line: 10P(20). Density=3.45
Рисунок 19. Laser line: 10P(20). Density=5.25
Рисунок 19. Suck S.H., et al. (1979). Dimer model
Рисунок 19a. Laser line: 10P(24). Density=2.07
Рисунок 19a. Laser line: 10P(24). Density=2.08
Рисунок 19a. Laser line: 10P(24). Density=3.45
Рисунок 19a. Laser line: 10P(24). Density=5.25
Рисунок 19a. Suck S.H., et al. (1979). Dimer model
Рисунок 19b. Laser line: 10P(30). Density=2.07
Рисунок 19b. Laser line: 10P(30). Density=2.08
Рисунок 19b. Laser line: 10P(30). Density=3.45
Рисунок 19b. Laser line: 10P(30). Density=5.25
Рисунок 19b. Semi-empirical formula
Рисунок 19b. Suck S.H., et al. (1979). Dimer model
Рисунок 20. Laser line:10P(20)
Рисунок 20. Suck S.H., et al. (1979). Dimer model
Рисунок 20a. Suck S.H., et al. (1979). Dimer model
Рисунок 20a. Laser line:10P(24)
Рисунок 20b. Laser line:10P(38)
Рисунок 20b. Suck S.H., et al. (1979). Dimer model
Рисунок 20c. Laser line:10P(30)
Рисунок 20c. Suck S.H., et al. (1979). Dimer model
Рисунок 24. Laser line 10P(20)
Рисунок 24. Suck S.H., et al. (1979). Dimer model
Рисунок 24a. Laser line 10P(24)
Рисунок 24a. Suck S.H., et al. (1979). Dimer model
Рисунок 6. Burch, D.E., et al. (1979, 1980, 1981, 1984) (296K, 300-1000 cm⁻¹)
Рисунок 6. Burch, D.E., et al. (1979, 1980, 1981, 1984). Self-broadened
Рисунок 6. N₂ broadened
Рисунок 6. Self-broadened
Рисунок 7. Burch, D.E., et al. (1979, 1980, 1981, 1984). N₂ broadened. (338K, 300-450 cm⁻¹)
Рисунок 7. Burch, D.E., et al. (1979, 1980, 1981, 1984). Self-broadened (338K, 300-450 cm⁻¹)
Рисунок 7. N₂ broadened
Рисунок 7. Self-broadened
Рисунок 8. Burch, D.E., et al. (1979, 1980, 1981, 1984). N₂ broadened (430K, 350-650 cm⁻¹)
Рисунок 8. Burch, D.E., et al. (1979, 1980, 1981, 1984). Self-broadened
Рисунок 8. N₂ broadened.
Рисунок 8. Self-broadened
Рисунок 1a
Рисунок 1. A.D. Afanasev et al. (1980) (353K, 0-500 cm⁻¹)
Рисунок 1. Calculated spectra (353K, 0-500 cm⁻¹)
Рисунок 1a. A.D. Afanasev et al. (1980) (293K, 0-500 cm⁻¹)
Рисунок 1a. Calculated spectra (293K, 0-500 cm⁻¹)
Рисунок 1b. A.D. Afanasev et al. (1980) (150K, 0-500 cm⁻¹)
Рисунок 1b. Calculated spectra (150K, 0-500 cm⁻¹)
Рисунок 2. Calculated spectra (300K, 0-500 cm⁻¹)
Рисунок 2. Ezra Bar‐Ziv et al. (1972) (300K, 0-500 cm⁻¹)
Рисунок 3. A.D. Afanasev et al. (1980) (150K, 0-500 cm⁻¹)
Рисунок 3. Component due to hexadecapolar (Lambda = 4) overlap (150K, 0-500 cm⁻¹)
Рисунок 3. Component due to isotropic (Lambda = 0) overlap (150K, 0-500 cm⁻¹)
Рисунок 3. Component due to octopolar (Lambda = 3) overlap (150K, 0-500 cm⁻¹)
Рисунок 3. Total contribution (150K, 0-500 cm⁻¹)
Рисунок 4. A.D. Afanasev et al. (1980) (293K, 0-500 cm⁻¹)
Рисунок 4. Component due to hexadecapolar (Lambda = 4) overlap (293K, 0-500 cm⁻¹)
Рисунок 4. Component due to isotropic (Lambda = 0) overlap (150K, 0-500 cm⁻¹)
Рисунок 4. Component due to octopolar (Lambda = 3) overlap (293K, 0-500 cm⁻¹)
Рисунок 4. Total contribution (293K, 0-500 cm⁻¹)
Рисунок 5. Component due to hexadecapolar (Lambda = 4) overlap (300K, 0-500 cm⁻¹)
Рисунок 5. Component due to isotropic (Lambda = 0) overlap (300K, 0-500 cm⁻¹)
Рисунок 5. Component due to octopolar (Lambda = 3) overlap (300K, 0-500 cm⁻¹)
Рисунок 5. Ezra Bar‐Ziv, et al. (1972) (300K, 0-500 cm⁻¹)
Рисунок 5. Total contribution (300K, 0-500 cm⁻¹)
Рисунок 6. A.D. Afanasev et al. (1980) (353K, 0-500 cm⁻¹)
Рисунок 6. Component due to hexadecapolar (Lambda = 4) overlap (353K, 0-500 cm⁻¹)
Рисунок 6. Component due to isotropic (Lambda = 0) overlap (353K, 0-500 cm⁻¹)
Рисунок 6. Component due to octopolar (Lambda = 3) overlap (353K, 0-500 cm⁻¹)
Рисунок 6. Total contribution (353K, 0-500 cm⁻¹)
Рисунок 1. CO₂+N₂ absorption coefficient (T=301K, P=0.49 atm)
Рисунок 1. CO₂+N₂ absorption coefficient (T=301K, P=1.94 atm)
Рисунок 1. CO₂+N₂ absorption coefficient divided by the CO₂ mole fraction.Experiment. (P=0.49 atm)
Рисунок 1. CO₂+N₂ absorption coefficient divided by the CO₂ mole fraction.Experiment. (P=1.94 atm)
Рисунок 1. Lorentzian calculation (P=1.94 atm)
Рисунок 1. Lorentzian calculation. P=0.49 atm
Рисунок 1. Lorentzian calculation. P=1.94 atm
Рисунок 2. L. Rosenmann, et al. (1988)
Рисунок 2. CO₂+N₂ broadening coefficient at 296K. EGL fit
Рисунок 3a. Calculated with the EGL line-overlapping model, T=296 K
Рисунок 3a. Calculated with the Lorentzian model, T=296 K
Рисунок 3a. Experiment, T=296 K
Рисунок 3b. Calculated with the EGL line-overlapping model, T=370 K
Рисунок 3b. Calculated with the Lorentzian model, T=370 K
Рисунок 3b. Experiment, T=370 K
Рисунок 6. C.Cousin, et al. (1986). Experimental data
Рисунок 6. Calculated data: EGL model
Рисунок 6. Calculated data: Lorentzian model accounting for all lines
Рисунок 6. Calculated data: Rj lines with J >=66
Рисунок 6. Calculated data: lines other than Rj with J>=66
Рисунок 6. Experimental data: this work
Рисунок 3. CO₂ dimer (10⁰1-00⁰0)
Таблица 1. Table 1. N₂ Absorption coefficient (100K, 5-200 cm⁻¹)
Таблица 1. Table 1. N₂ Absorption coefficient (110K, 5-200 cm⁻¹)
Таблица 1. Table 1. N₂ Absorption coefficient (120K, 5-200 cm⁻¹)
Таблица 1. Table 1. N₂ Absorption coefficient (70K, 5-200 cm⁻¹)
Таблица 1. Table 1. N₂ Absorption coefficient (80K, 5-200 cm⁻¹)
Таблица 1. Table 1. N₂ Absorption coefficient (90K, 5-200 cm⁻¹)
Рисунок 2. The collision-induced spectrum of N₂ + Ar (126K, 0-250 cm⁻¹)
Рисунок 2. Dagg, I. R., et al. (1986). The collision-induced spectrum of N₂ + Ar (126K, 40-160 cm⁻¹)
Рисунок 2. Dagg, I.R., et al. (1986). The collision-induced spectrum of N₂ + Ar. (126K, 15 cm⁻¹)
Рисунок 2. Dagg, I.R., et al. (1986). The collision-induced spectrum of N₂ + Ar. (126K, 84.2 cm⁻¹)
Таблица 2. Table 2. CH₄ Absorption coefficient (100K, 5-550 cm⁻¹)
Таблица 2. Table 2. CH₄ Absorption coefficient (110K, 5-550 cm⁻¹)
Таблица 2. Table 2. CH₄ Absorption coefficient (120K, 5-550 cm⁻¹)
Таблица 2. Table 2. CH₄ Absorption coefficient (70K, 5-550 cm⁻¹)
Таблица 2. Table 2. CH₄ Absorption coefficient (80K, 5-550 cm⁻¹)
Таблица 2. Table 2. CH₄ Absorption coefficient (90K, 5-550 cm⁻¹)
Рисунок 2a. The collision-induced spectrum of N₂ + Ar (149K, 0-250 cm⁻¹)
Рисунок 2a. Dagg, I. R., et al. (1986). The collision-induced spectrum of N₂ + Ar (149K, 40-160 cm⁻¹)
Рисунок 2a. Dagg, I.R., et al. (1986). The collision-induced spectrum of N₂ + Ar (149K, 15 cm ⁻¹)
Рисунок 2a. Dagg, I.R., et al. (1986). The collision-induced spectrum of N₂ + Ar. (149K, 84.2 cm⁻¹)
Рисунок 2b. Dagg, I.R., et al. (1986) The collision-induced spectrum of N₂ + Ar. (179K, 15 cm ⁻¹)
Рисунок 2b. Dagg, I.R., et al. (1986). The collision-induced spectrum of N₂ + Ar (179K, 40-200 cm⁻¹)
Рисунок 2b. Dagg, I.R., et al. (1986). The collision-induced spectrum of N₂ + Ar. (179K, 84.2 cm ⁻¹)
Рисунок 2b. The collision-induced spectrum of N₂ + Ar (179K, 0-250 cm⁻¹)
Рисунок 2c. The collision-induced spectrum of N₂ + Ar (212K, 0-250 cm⁻¹)
Рисунок 2c. Dagg, I. R., et al. (1986). The collision-induced spectrum of N₂ + Ar (212K, 40-200 cm⁻¹)
Рисунок 2c. Dagg, I. R., et al. (1986). The collision-induced spectrum of N₂ + Ar. (212K, 84.2 cm ⁻¹)
Рисунок 2c. Dagg, I.R., et al. (1986). The collision-induced spectrum of N₂ + Ar. (212K, 15 cm⁻¹)
Рисунок 3. Codastefano, P., et al. (1985, 1986). (140K, 0-450 cm⁻¹)
Таблица 3. Table 3. CH₄+N₂ Absorption coefficient (100K, 5-550 cm⁻¹)
Таблица 3. Table 3. CH₄+N₂ Absorption coefficient (110K, 5-550 cm⁻¹)
Таблица 3. Table 3. CH₄+N₂ Absorption coefficient (120K, 5-550 cm⁻¹)
Таблица 3. Table 3. CH₄+N₂ Absorption coefficient (70K, 5-550 cm⁻¹)
Таблица 3. Table 3. CH₄+N₂ Absorption coefficient (80K, 5-550 cm⁻¹)
Таблица 3. Table 3. CH₄+N₂ Absorption coefficient (90K, 5-550 cm⁻¹)
Рисунок 3. The collision-induced spectrum of pure CH₄. (140K, 0-500 cm⁻¹)
Рисунок 3a. Codastefano, P., et al. (1985, 1986). (163K, 0-450 cm⁻¹)
Рисунок 3a. The collision-induced spectrum of pure CH₄. (163K, 0-500 cm⁻¹)
Рисунок 3b. Codastefano, P., et al. (1985, 1986). (195K, 0-450 cm⁻¹)
Рисунок 3b. The collision-induced spectrum of pure CH₄. (195K, 0-500 cm⁻¹)
Рисунок 3c. Codastefano, P., et al. (1985, 1986). (295K, 0-450 cm⁻¹)
Рисунок 3c. The collision-induced spectrum of pure CH₄. (295K, 0-500 cm⁻¹)
Рисунок 4. Dagg et al. (1986). The collision-induced spectrum of N₂ + CH₄. (126K, 15.1 cm⁻¹)
Рисунок 4. Dagg, I. R., et al. (1986). The collision-induced spectrum of N₂ + CH₄. (126K, 0-450 cm⁻¹)
Рисунок 4. Dagg, I. R., et al. (1986). The collision-induced spectrum of N₂ + CH₄. (126K, 84.5 cm⁻¹)
Таблица 4. Table 4. N₂ + H₂ Absorption coefficient (100K, 5-800 cm⁻¹)
Таблица 4. Table 4. N₂ + H₂ Absorption coefficient (110K, 5-800 cm⁻¹)
Таблица 4. Table 4. N₂ + H₂ Absorption coefficient (120K, 5-800 cm⁻¹)
Таблица 4. Table 4. N₂ + H₂ Absorption coefficient (70K, 5-800 cm⁻¹)
Таблица 4. Table 4. N₂ + H₂ Absorption coefficient (80K, 5-800 cm⁻¹)
Таблица 4. Table 4. N₂ + H₂ Absorption coefficient (90K, 5-800 cm⁻¹)
Рисунок 4. The collision-induced spectrum of N₂ + CH₄. (126K, 0-500 cm⁻¹)
Рисунок 4a. Dagg et al. (1986). The collision-induced spectrum of N₂ + CH₄. (149K, 0-400 cm⁻¹)
Рисунок 4a. Dagg, I. R., et al. (1986). The collision-induced spectrum of N₂ + CH₄. (149K, 15 cm⁻¹)
Рисунок 4a. Dagg, I. R., et al. (1986). The collision-induced spectrum of N₂ + CH₄. (149K, 84.2 cm⁻¹)
Рисунок 4a. The collision-induced spectrum of N₂ + CH₄. (149K, 0-500 cm⁻¹)
Рисунок 4b. Dagg, I. R., et al. (1986). The collision-induced spectrum of N₂ + CH₄. (179K, 0-400 cm⁻¹)
Рисунок 4b. Dagg, I. R., et al. (1986). The collision-induced spectrum of N₂ + CH₄. (179K, 15 cm⁻¹)
Рисунок 4b. Dagg, I. R., et al. (1986). The collision-induced spectrum of N₂ + CH₄. (179K, 84.2 cm⁻¹)
Рисунок 4b. The collision-induced spectrum of N₂ + CH₄. (179K, 0-500 cm⁻¹)
Рисунок 4c. Dagg et al. (1986). The collision-induced spectrum of N₂ + CH₄. (212K, 15 cm⁻¹)
Рисунок 4c. Dagg, I. R., et al. (1986). The collision-induced spectrum of N₂ + CH₄. (212K, 0-400 cm⁻¹)
Рисунок 4c. Dagg, I. R., et al. (1986). The collision-induced spectrum of N₂ + CH₄. (212K, 84.2 cm⁻¹)
Рисунок 4c. The collision-induced spectrum of N₂ + CH₄. (212K, 0-500 cm⁻¹)
Рисунок 5. Dore, P., et al. (1986). The collision-induced spectrum of N₂ + H₂. (91K, 0-1000 cm⁻¹)
Рисунок 5. The collision-induced spectrum of N₂ + H₂ mixture. (91K, 0-1000 cm⁻¹)
Рисунок 5a. Dore, P., et al. (1986). The collision-induced spectrum of N₂ + H₂. (141K, 0-1000 cm⁻¹)
Рисунок 5a. The collision-induced spectrum of N₂ + H₂ mixture. (141K, 0-1000 cm⁻¹)
Рисунок 5b. Dore, P., et al. (1986). The collision-induced spectrum of N₂ + H₂. (165K, 0-1000 cm⁻¹)
Рисунок 5b. The collision-induced spectrum of N₂ + H₂ mixture. (165K, 0-1000 cm⁻¹)
Рисунок 5c. Dore, P., et al. (1986). The collision-induced spectrum of N₂ + H₂. (195K, 0-1000 cm⁻¹)
Рисунок 5c. The collision-induced spectrum of N₂ + H₂ mixture. (195K, 0-1000 cm⁻¹)
Рисунок 5d. Dore, P., et al. (1986). The collision-induced spectrum of N₂ + H₂. (298K, 0-1000 cm⁻¹)
Рисунок 5d. The collision-induced spectrum of N₂ + H₂ mixture. (298K, 0-1000 cm⁻¹)
Рисунок 6. The collision-induced absorption spectrum calculated for a gaseous mixture at temperature 110K
Рисунок 6. The collision-induced absorption spectrum calculated for a gaseous mixture at temperature 75K
Рисунок 6. The collision-induced absorption spectrum calculated for a gaseous mixture at temperature 95K
Рисунок 1. Nitrogen broadening, calculation
Рисунок 1. Nitrogen broadening, experiment
Рисунок 1. Self-broadening, calculation
Рисунок 1. Self-broadening, experiment
Рисунок 2a. Burch D.E., et al. (1969). Experiment
Рисунок 2a. Calculation using the Lorentzian contour
Рисунок 2a. Calculation with a refined value of v
l
Рисунок 2a. Calculation with an original theoretical contour
Рисунок 2a. Sattarov, K., et al. (1983). Experiment
Рисунок 2a. Winters B.H., et al. (1964). Experiment
Рисунок 2b. Burch D.E., et al. (1969). Experiment
Рисунок 2b. Calculation using the Lorentzian contour
Рисунок 2b. Calculation with a refined value of v
l
Рисунок 2b. Calculation with a theoretical contour
Рисунок 2b. Winters B.H., et al. (1964). Experiment
Рисунок 2b. Докучаев А.Б. et al. (1980). Experiment
Рисунок 2. Measured nitrogen-broadened water vapor spectra
Рисунок 2. Measured self-broadened water vapor spectra
Рисунок 3. Calculated self-broadened water vapor spectrum (lower)
Рисунок 3. Calculated self-broadened water vapor spectrum (upper))
Рисунок 3. Measured self-broadened water vapor spectrum
Рисунок 4. Calculated nitrogen-broadened water vapor spectrum (lower)
Рисунок 4. Calculated nitrogen-broadened water vapor spectrum (upper))
Рисунок 4. Measured nitrogen-broadened water vapor spectrum
Рисунок 6. Experimental continua
Рисунок 6. Theoretical continua
Рисунок 7. D.E. Burch et al. (1984) (1000 cm⁻¹)
Рисунок 7. Fitting
Рисунок 7. Our data
Рисунок 8. D.E. Burch et al. (1980)
Рисунок 8. Dimer model
Рисунок 8. G. P. Montgomery, Jr. (1978)
Рисунок 8. G.L. Loper et al. (1981)
Рисунок 8. M.E. Thomas et al. (1982). Far-wing absorption model
Рисунок 8. Our data
Рисунок 1a
Рисунок 1a
Рисунок 1b
Рисунок 1a
Рисунок 1b
Таблица 1. Normalized absorption coefficient. CO₂. (P=1.62 amagat, T=291K)
Таблица 1. Normalized absorption coefficient. CO₂. (P=17.0 amagat, T=291K)
Таблица 1. Normalized absorption coefficient. CO₂. (P=29.3 amagat, T=291K)
Таблица 1. Normalized absorption coefficient. CO₂. (P=51.5 amagat, T=291K)
Таблица 1. Normalized absorption coefficient. CO₂. (P=7.27 amagat, T=291K)
Таблица 1. Normalized absorption coefficient. CO₂. (P=77.1 amagat, T=291K)
Таблица 1. Normalized absorption coefficient. CO₂. (T=296K)
Рисунок 3. Calculated with the model Lorentzian. d=1.62 amagat
Рисунок 3. Calculated with the model Lorentzian. d=17.0 amagat
Рисунок 3. Calculated with the model Lorentzian. d=7.27 amagat
Рисунок 3. Calculated with the modified Lorentzian model. d=17.0 amagat
Рисунок 3. Calculated with the modified Lorentzian model. d=1.62 amagat
Рисунок 3. Calculated with the modified Lorentzian model. d=7.27 amagat
Рисунок 3. Experimental transmission spectra. d=1.62 amagat
Рисунок 3. Experimental transmission spectra. d=17.0 amagat
Рисунок 3. Experimental transmission spectra. d=7.27 amagat
Рисунок 5. Calculated with the ECSA line-mixing model. d=29.3 amagat
Рисунок 5. Calculated with the ECSA line-mixing model. d=51.5 amagat
Рисунок 5. Calculated with the ECSA line-mixing model. d=77.1 amagat
Рисунок 5. Calculated with the modified Lorentzian model. d=29.3 amagat
Рисунок 5. Calculated with the modified Lorentzian model. d=51.5 amagat
Рисунок 5. Calculated with the modified Lorentzian model. d=77.1 amagat
Рисунок 5. Experimental Transmission spectrum. d=29.3 amagat
Рисунок 5. Experimental Transmission spectrum. d=51.5 amagat
Рисунок 5. Experimental Transmission spectrum. d=77.1 amagat
Рисунок 7. Asymptotic. Kexp(v)/Kth(v)=1
Рисунок 7. Kexp(v)/ Kth(v). Kth=ECSA line-mixing model
Рисунок 7. Kexp(v)/ Kth(v). Kth=Lorentzian model
Таблица 1. Experimental values. CO₂+N₂. T=296K
Таблица 1. Experimental values. CO₂+N₂. T=448K
Таблица 1. Experimental values. CO₂+N₂. T=550K
Таблица 1. Experimental values. CO₂+N₂. T=623K
Таблица 1. Experimental values. CO₂+N₂. T=643K
Таблица 1. Experimental values. CO₂+N₂. T=773K
Рисунок 4a. Calculation. Eq. (4) with Bi parameters for the given temperature
Рисунок 4a. Calculation. Eqs. (3) and (4) with the parameters of Table 3
Рисунок 4a. Transmission spectra for pure CO₂. Experimental data. T=291K
Рисунок 4b. Transmission spectra for pure CO₂. Calculation using Eq. (4) with Bi parameters
Рисунок 4b. Transmission spectra for pure CO₂. Experimental data
Рисунок 5. CO₂+CO₂ contribution. Fitting
Рисунок 5. CO₂+CO₂ contribution
Рисунок 5. CO₂+N₂ contribution. Fitting
Рисунок 5. CO₂+N₂ contribution
Рисунок 5. Calculated from Eqs.(3) and (4) with the parameters of Table 3
Рисунок 5. Transmission spectra CO₂-N₂. Experimental data
Рисунок 6. Transmission spectra. CO₂+N₂. T= 296K, p=20.6 bar. Experimental data
Рисунок 6. Transmission spectra. CO₂+N₂. T=296K, p=20.6 bar. Calculated with the parameters of Table 3
Рисунок 6. Transmission spectra. CO₂+N₂. T=296K, p=20.6 bar. Lorentzlan calculation
Рисунок 6. Transmission spectra. CO₂+N₂. T=296K, p=59 bar. Calculated with the parameters of Table 3
Рисунок 6. Transmission spectra. CO₂+N₂. T=296K, p=59 bar. Experimental data.
Рисунок 6. Transmission spectra. CO₂+N₂. T=296K, p=59 bar. Lorentzlan calculation
Рисунок 3. Measured spectra
Рисунок 3. Present work profile
Рисунок 3. Sub-Lorentzian profile
Рисунок 3a. Measured spectra
Рисунок 3a. Present work profile
Рисунок 6. J.A. Barnes et al. (1987)
Рисунок 6. The calculated spectrum
Таблица 1. Normalized Absorption Coefficient. T=291K
Таблица 1. Normalized Absorption Coefficient. T=414K
Таблица 1. Normalized Absorption Coefficient. T=534K
Таблица 1. Normalized Absorption Coefficient. T=627K
Таблица 1. Normalized Absorption Coefficient. T=751K
Рисунок 2. Absorption spectra for CO₂. P=13.5-bar
Рисунок 2. Absorption spectra for CO₂. P=31.9-bar
Рисунок 2. Absorption spectra for CO₂. P=58.3-bar
Рисунок 5a. Calculation with the Lorentzian model Khee (296 K) factor [4,5]
Рисунок 5a. Calculation with the Lorentzian model (T=291K)
Рисунок 5a. Normalized absorption coefficient at 291K. Experiment
Рисунок 5b. Calculation with the Lorentzian model (T=534K)
Рисунок 5b. Calculation with the Lorentzian model Khee (296 K) factor [4,5]
Рисунок 5b. Normalized absorption coefficient at 534°K. Experiment
Рисунок 5c. Calculation with the Lorentzian model (T=751K)
Рисунок 5c. Calculation with the Lorentzian model Khee (296K) factor [4,5]
Рисунок 5c. Normalized absorption coefficient at 751°K; Experiment.
Рисунок 1. Methane absorption coefficient at 296K. Experimental spectrum
Рисунок 1. Methane absorption coefficient at 296K. The computed spectrum
Рисунок 1. The computed spectrum is given by the l= 3 (a) component
Рисунок 1. The computed spectrum is given by, l = 4 (b) component
Рисунок 1. The computed spectrum is given double transition (c) component
Рисунок 1a. The component (3, 3) of the double transition spectrum
Рисунок 1a. The component (3, 4) of the double transition spectrum
Рисунок 1a. The computed spectrum is given double transition (c) component
Рисунок 2. Methane absorption coefficient at 296K. Experimental spectrum
Рисунок 2. Methane absorption coefficient at 296K. The fitted spectrum
Рисунок 2. The computed spectrum is given by l = 4 (b) component
Рисунок 2. The computed spectrum is given by the l= 3 (a) component
Рисунок 2. The computed spectrum is given double transition (c) component
Рисунок 3. Best fit as in figure 2
Рисунок 3. Best fit in the frequency range (296K, 50-700 cm⁻¹)
Рисунок 3. Experimental results
Рисунок 4. Best fit in the frequency range (163K, 50-550 cm⁻¹)
Рисунок 4. Experimental results (163K, 50-550 cm⁻¹)
Таблица 1. Normalized absorption coefficient in the v₃-band of CO₂
Рисунок 1. Normalized absorption coefficient of CO₂. Experimental results
Рисунок 1. Normalized absorption coefficient of CO₂. Lorentzian calculation
Таблица 1. Normalized absorption coefficient
Рисунок 5. Experimental results
Рисунок 5. Lorentzian calculation
Рисунок 5. Theoretical results BRQS-EC0 obtained with the optimized anisotropic potential V2(R)
Рисунок 5. Theoretical results BRQS-EC0
Рисунок 9. The ratios of the observed absorption to the calculated ECS-P absorption. CO₂+N₂. (T=300K)
Рисунок 9. The ratios of the observed absorption to the calculated ECS-P absorption. CO₂. (T=300K)
Рисунок 7. Data derived from OH photolysis yields
Рисунок 7. Incident shock transmission data
Рисунок 7. Reflected shock-transmission data
Рисунок 7. Vibrational model of Eq. (6)
Рисунок 7. Bignell K.J. (1970). Moisty air (303K)
Рисунок 7. Calculation (296K)
Рисунок 7. Calculation (303K)
Рисунок 7. Roberts E.R., et al. (1976) (296K)
Рисунок 8. Calculation. (2)
Рисунок 8. Calculation. (7)
Рисунок 8. G.P.Montgomery (1978)
Рисунок 4. The chi function for water at 296K. Foreign-broadening
Рисунок 4. The chi function for water at 296K. Self-broadening
Рисунок 5. The self-broadened water vapor continuum at 260K
Рисунок 5. The self-broadened water vapor continuum at 296K
Рисунок 5. The self-broadened water vapor continuum at 338K
Рисунок 7. Burch D.E. (1981) (308K, 700-1500 cm⁻¹)
Рисунок 7. Burch D.E. (1981) (353K, 700-1500 cm⁻¹)
Рисунок 7. Burch D.E. (1981) (358K)
Рисунок 7. Burch and Alt (1984) (284K)
Рисунок 7. Burch and Alt (1984) (296K, 700-1050 cm⁻¹)
Рисунок 7. Calculated continuum (296K)
Рисунок 1a. Normal H₂
Рисунок 1b. Para-H₂
Рисунок 1a
Рисунок 1. Transmission spectra for a 23.4% CO₂-76.6% Ar mixture. d=9.18 amagat
Рисунок 1. Transmission spectra for a 23.4% CO₂-76.6% Ar mixture. d=13.1 amagat
Рисунок 1. Transmission spectra for a 23.4% CO₂-76.6% Ar mixture. d=17.2 amagat
Рисунок 1. Transmission spectra for a 23.4% CO₂-76.6% Ar mixture. d=23.3 amagat
Рисунок 1. (p²
m
/2) A
mm
(v) contribution
Рисунок 1. Experimental results (243K, 0-600 cm⁻¹)
Рисунок 1. Resulting p
a
p
m
A
ma
(v) spectrum
Рисунок 2. A
(
⁰
)
(v) component (243K, 0-600 cm⁻¹)
Рисунок 2. A
(
³
)
(v) + A
(
⁴
)
(v) component (243K, 0-600 cm⁻¹)
Рисунок 2. Best fit profile (243K, 0-600 cm⁻¹)
Рисунок 2. Experimental results (243K, 0-600 cm⁻¹)
Рисунок 1. A few line positions
Рисунок 1. Calculation with the strong collision mode
Рисунок 1. Experiment ()
Рисунок 5a. Calculation with a dispersion contour
Рисунок 5a. Hartmann J.M., et al. (1988). Experiment
Рисунок 5a. J. M. Hartmann, et al. (1988) . Calculated with the EGL line-overlapping model
Рисунок 5a. Nesmelova L.I., et al. (1982). Calculation by the theory of line wings (TLW)
Рисунок 5b. Calculation with a dispersion contour
Рисунок 5b. Hartmann J.M., et al. (1988). Calculated with the EGL line-overlapping model
Рисунок 5b. Hartmann J.M., et al. (1988). Experiment
Рисунок 5b. Nesmelova L.I., et al. (1990). Calculation
Рисунок 1. Boulet C. (1988). Calculation with different potentials. I
Рисунок 1. Boulet C. (1988). Calculation with different potentials. II
Рисунок 1. Boulet C. (1988). Experiment
Рисунок 1. Calculation according to the line wing theory
Рисунок 1. Calculation with dispersive line shape
Рисунок 3. Calculation according to the line wing theory (ro=1.62 amagat)
Рисунок 3. Calculation according to the line wing theory (ro=17 amagat)
Рисунок 3. Calculation according to the line wing theory (ro=77 amagat)
Рисунок 3. Hartmann J.M. (1989). Calculation taking interference into account (ro=1.62 amagat)
Рисунок 3. Hartmann J.M. (1989). Calculation taking interference into account (ro=17 amagat)
Рисунок 3. Hartmann J.M. (1989). Calculation taking interference into account (ro=77 amagat)
Рисунок 3. Hartmann J.M. (1989). Experiment (ro=1.62 amagat)
Рисунок 3. Hartmann J.M. (1989). Experiment (ro=17 amagat)
Рисунок 3. Hartmann J.M. (1989). Experiment (ro=77 amagat)
Рисунок 1. Calculated with Lorentzian model (2150-2240 cm⁻¹)
Рисунок 1. Calculated with Lorentzian model (2360-2550 cm⁻¹)
Рисунок 1. Calculated with corrected line mixing model (2150-2240 cm⁻¹)
Рисунок 1. Calculated with corrected line mixing model (2370-2550 cm⁻¹)
Рисунок 1. Calculated with impact line mixing model (2150-2240 cm⁻¹)
Рисунок 1. Calculated with impact line mixing model (2350-2550 cm⁻¹)
Рисунок 1. Experimental data (2150-2240 cm⁻¹)
Рисунок 1. Experimental data (2370-2550 cm⁻¹)
Рисунок 2. Correction Factor of the Lorentz Shape. CO₂
Рисунок 3. Calculated with the Lorentzian model. CO₂ (P=24.3 Am)
Рисунок 3. Calculated with the Lorentzian model. CO₂ (P=51.4 Am)
Рисунок 3. Calculated with the corrected line mixing model. CO₂ (P=24.3 Am)
Рисунок 3. Calculated with the corrected line mixing model. CO₂ (P=51.4 Am)
Рисунок 3. Experimental data. CO₂ (P=24.3 Am)
Рисунок 3. Experimental data. CO₂ (P=51.4 Am)
Рисунок 4a. Calculated with the Lorentzian model. CO₂ (P=91.4 Am)
Рисунок 4a. Calculated with the corrected line mixing model. CO₂ (P=91.4 Am)
Рисунок 4a. Transmission coefficient. Experimental data. CO₂ (P=91.4 Am)
Рисунок 4b. Calculated with the Lorentzian model. CO₂ (P=32.8 Am)
Рисунок 4b. Calculated with the corrected line mixing model. CO₂ (P=32.8 Am)
Рисунок 4b. Experimental data. CO₂ (P=32.8 Am)
Рисунок 1a
Рисунок 1b
Рисунок 1a. Absorption Measurements of Oxygen Between 330 and 1140 nm
Рисунок 1b. Absorption spectrum between 330 and 1140 nm for an O₂
Рисунок 1a
Рисунок 1. MPM model continuum of Liebe 296.1K
Рисунок 1. MPM model continuum of Liebe 315.5K
Рисунок 1. MPM model continuum of Liebe
Рисунок 1. Present theoretical results 281.8K
Рисунок 1. Present theoretical results 296.1K
Рисунок 1. Present theoretical results 315.5K
Рисунок 2. MPM model continuum of Liebe f=120 GHz
Рисунок 2. MPM model continuum of Liebe f=30 GHz
Рисунок 2. MPM model continuum of Liebe f=360 GHz
Рисунок 2. Present theoretical results f=120 GHz
Рисунок 2. Present theoretical results f=30 GHz
Рисунок 2. Present theoretical results f=360 GHz
Рисунок 2. Burch et al. (1981)
Рисунок 2. With the normalization factor
Рисунок 2. Without the normalization factor
Рисунок 3. D.E.Burch, et al. (1984) (296K, 300-1100 cm⁻¹)
Рисунок 3. With the normalization factor
Рисунок 3. Without the normalization factor
Рисунок 4. D.E.Burch et al. (1984) (430K, 400-850 cm⁻¹)
Рисунок 4. With the normalization factor
Рисунок 4. Without the normalization factor
Рисунок 11. Water vapor (24.15 atm, 685K)
Рисунок 11. Water vapor (47.6 atm, 685K)
Рисунок 11. Water vapor (7.82 atm, 685K)
Рисунок 4. D.E.Burch et al. (1984) (295K, 700-1100 cm⁻¹)
Рисунок 4. Fitting
Рисунок 5. Fitting
Рисунок 5. H₂O+N₂. D.E. Burch et al. (1984) (295K, 700-1200 cm⁻¹)
Рисунок 7. D. E. Burch et al. (1984)
Рисунок 7. Fitting
Рисунок 7. G.L.Loper, et al. (1983)
Рисунок 7. G.P.Montgomery (1979)
Рисунок 7. JHU/APL
Рисунок 7. P.S.Varanasi, et al. (1968, 1987)
Рисунок 8. Continuum absorption
Рисунок 8. D.E.Burch et al. (1984)
Рисунок 8a. F.S.Mills (1975)
Рисунок 8a. K.O.White, et al. (1978)
Рисунок 8a. Quadratic to data
Рисунок 9. D.E.Burch, et al. (1984) (2400 cm⁻¹)
Рисунок 9. D.E.Burch, et al. (1984) (2500 cm⁻¹)
Рисунок 9. D.E.Burch, et al. (1984) (2600 cm⁻¹)
Рисунок 9. Fitting (2400 cm⁻¹)
Рисунок 9. Fitting (2500 cm⁻¹)
Рисунок 9. Fitting (2600 cm⁻¹)
Рисунок 1. Burch, D.E., et al. (1984)
Рисунок 1. D.E. Burch (1982)
Рисунок 1. Fitting. D.E. Burch, et al. (1984)
Рисунок 2. H₂O+N₂. D.E.Burch et al. (1984) (296K, 850-1100 cm⁻¹)
Рисунок 2. L.S. Rothman, et al. (1987)
Рисунок 4. Hinderling et al. (1987)
Рисунок 4. L.S. Rothman, et al. (1986)
Рисунок 5. Hitran. L.S. Rothman, et al. (1987)
Рисунок 5. M.S. Shumate, et al. (1976)
Рисунок 5. Normal data. Corrected data. M.S. Shumate, et al. (1976)
Рисунок 6. G.L. Loper, et al. (1983)
Рисунок 6. L.S. Rothman, et al. (1987)
Рисунок 7. ¹⁴C¹⁶O₂-laser. J. S. Ryan, et al. (1984)
Рисунок 7. ¹²C¹⁶O₂-laser. J. S. Ryan, et al. (1984)
Рисунок 7. ¹³C¹⁶O₂-laser. J.S. Ryan, et al. (1983, 1984)
Рисунок 7. L.S. Rothman, et al. (1987)
Рисунок 1. Burch D.E. et al. (1984)
Рисунок 1. Fiiting
Рисунок 1. Loper G.L., et al. (1983)
Рисунок 1. Montgomery G.P. (1978)
Рисунок 1. The Johns Hopkins University measurements
Рисунок 1. Varanasi P., et al. (1987)
Рисунок 2. Mills F.S. (1975)
Рисунок 2. Quadratic to data
Рисунок 2. White K.O., et al. (1978)
Рисунок 1. 237K
Рисунок 1. 296K
Рисунок 2. Long, C. A, et al. (1971)
Рисунок 2. Shapiro (1961), as reported by McKellar et al. (1972)
Рисунок 2. This work (measured values)
Рисунок 2. This work, parameterization
Рисунок 2. Timofeyev, Yu.M. et al. (1978)
Рисунок 1. Table 1. Absorption coefficient (T=292K)
Рисунок 1. Table 1. Absorption coefficient (T=540K)
Рисунок 1. Table 1. Absorption coefficient (T=920K)
Рисунок 1. Table 1. J. M. Hartmann, et al., (T=291K)
Рисунок 1. Table 1. J. M. Hartmann, et al., (T=594K)
Рисунок 1. Table 1. R. Le Doucen, et al., (T=296K)
Рисунок 11. Experiment [3-5]. P branch. (T=296K)
Рисунок 11. Experiment [3-5]. R branch. (T=296K)
Рисунок 11. Impact line-mixing model MEGL(I). P branch. (T=296K)
Рисунок 11. Impact line-mixing model MEGL(I). R branch. (T=296K)
Рисунок 11. Impact line-mixing model MEGL(II). P branch. (T=296K)
Рисунок 11. Impact line-mixing model MEGL(II). R branch. (T=296K)
Рисунок 8. Absorption coefficient. Impact line-mixing model ECSP. P branch (T=296K)
Рисунок 8. Absorption coefficient. Impact line-mixing model ECSP. R branch (T=296K)
Рисунок 8. Absorption coefficient. Impact line-mixing model MEGL(I). P branch (T=296K)
Рисунок 8. Absorption coefficient. Impact line-mixing model MEGL(I). R branch (T=296K)
Рисунок 8. Absorption coefficient. Impact line-mixing model MEGL(II). P branch (T=296K)
Рисунок 8. Absorption coefficient. Impact line-mixing model MEGL(II). R branch (T=296K)
Рисунок 8. Absorption coefficient. Lorentzian model. P branch (T=296K)
Рисунок 8. Absorption coefficient. Lorentzian model. R branch (T=296K)
Рисунок 8. Absorption coefficient. P branch (T=296K)
Рисунок 8. Absorption coefficient. R branch (T=296K)
Таблица 1. Experimental Results (T=238)
Рисунок 1. Line shape factor for pure CO₂ for left part of line profile
Рисунок 1. Line shape factor for pure CO₂ for right part of line profile
Таблица 1a. Experimental Results (T=193 K)
Таблица 1a. Experimental Results (T=218 K)
Таблица 1a. Experimental Results (T=238 K)
Таблица 1a. Theoretical Results (T=218 K, kappa asym)
Таблица 1a. Theoretical Results (T=218 K, kappa sym)
Таблица 1b. delta calculation (T=218 K) (kappa asym)
Таблица 1b. delta calculation (T=218 K) (kappa sym)
Рисунок 2. Line shape factor for pure CO₂ for left part of line profile
Рисунок 2. Line shape factor for pure CO₂ for right part of line profile
Таблица 2a. Experimental Results (T=193 K)
Таблица 2a. Experimental Results (T=218 K)
Таблица 2a. Experimental Results (T=238 K)
Таблица 2a. Theoretical Results (T=193K) kappa asym
Таблица 2a. Theoretical Results (T=193K) kappa sym
Таблица 2a. Theoretical Results (T=238 K) kappa sym
Таблица 2b. delta calculation (T=193 K) (kappa asym)
Таблица 2b. delta calculation (T=193 K) (kappa sym)
Таблица 2b. delta calculation (T=238 K) (kappa sym)
Рисунок 1. Water absorption coefficient (N₂-broadening). Computation using Lorents profile
Рисунок 1. Water absorption coefficient (N₂-broadening)
Рисунок 1. Water absorption coefficient (self-broadening). Computation using Lorents profile
Рисунок 1. Water absorption coefficient (self-broadening)
Рисунок 2. Borysova N.F., et al. (1986) (1820-1870 cm-¹)
Рисунок 2. Menzies R.T., et al. (1976) (1880-1900 cm⁻¹)
Рисунок 2. Present experiment (1800-1900 cm⁻¹)
Рисунок 2. Schnell W., et al. (1978) (1800-1860 cm⁻¹)
Рисунок 2a. Contribution of AMM
Рисунок 2a. Contribution of CO₂ continuum
Рисунок 2a. Contribution of H₂O continuum
Рисунок 2a. Contribution of N₂ continuum
Рисунок 2b. Contribution of AMM
Рисунок 2b. Contribution of CO₂ continuum
Рисунок 2b. Contribution of H₂O continuum
Рисунок 2b. Contribution of N₂ continuum
Рисунок 5a. Континуальная составляющая коэффициента поглощения (k
конт
) CO₂ (Т=300К)
Рисунок 5a. Полный коэффициент поглощения (k
полн
) CO₂ (Т=300К)
Рисунок 5a. Селективная часть коэффициента поглощения (k
селек
) CO₂ (Т=300К)
Рисунок 5b. Континуальная составляющая коэффициента поглощения (k
конт
) CO₂ (Т=627К)
Рисунок 5b. Полный коэффициент поглощения (k
полн
) CO₂ (Т=627К)
Рисунок 5b. Селективная составляющая коэффициента поглощения (k
селек
) CO₂ (Т=627К)
Рисунок 6a. J. M. Hartmann (1989). Transmission spectra. ro=1.62 Амага. Experiment
Рисунок 6a. J. M. Hartmann (1989). Transmission spectra. ro=17 Amagat. Calculation
Рисунок 6a. J. M. Hartmann (1989). Transmission spectra. ro=17 Amagat. Experiment
Рисунок 6a. J. M. Hartmann (1989). Transmission spectra. ro=7.27 Amagat. Calculation
Рисунок 6a. J. M. Hartmann (1989). Transmission spectra. ro=7.27 Amagat.1 Experiment
Рисунок 6a. Transmission spectra. ro=1.627 Amagat. Original calculation
Рисунок 6a. Transmission spectra. ro=17 Amagat. Original calculation
Рисунок 6a. Transmission spectra. ro=7.27 Amagat. Original calculation
Рисунок 6b. Hartmann J. M., (1989). Transmission spectra. ro=77.1 Амага. Original calculation
Рисунок 6b. J. M. Hartmann (1989). Transmission spectra. ro=29.3 Амага. Calculation
Рисунок 6b. J. M. Hartmann (1989). Transmission spectra. ro=29.3 Амага. Experiment
Рисунок 6b. J. M. Hartmann (1989). Transmission spectra. ro=51.5 Амага. Calculation
Рисунок 6b. J. M. Hartmann (1989). Transmission spectra. ro=51.5 Амага. Experiment
Рисунок 6b. J. M. Hartmann (1989). Transmission spectra. ro=77.1 Амага. Calculation
Рисунок 6b. J. M. Hartmann (1989). Transmission spectra. ro=77.1 Амага. Experiment
Рисунок 6b.Transmission spectra. ro=29.3 Амага. Original calculation
Рисунок 6b.Transmission spectra. ro=51.5 Амага. Original calculation
Рисунок 8. H.J. Liebe (1984)
Рисунок 8. J.H. Van Vleck, et al. (1945)
Рисунок 8. M.E. Thomas, et al. (1982)
Рисунок 8. Pure water vapor absorption
Рисунок 8. S.A. Clough, et al. (1989)
Рисунок 1. Binary absorption coefficient
Рисунок 2a. Calculated with Burch chi-factor
Рисунок 2a. Original experiment
Рисунок 2b. Calculated with Birch chi-factor
Рисунок 2b. Lorentzian calculation (i.e., chi=1)
Рисунок 2b. Original experiment
Рисунок 1. Negative frequency resonance-average line shape function
Рисунок 1. Positive frequency resonance-average line shape function
Рисунок 1. The Rosenkranz band-averaged relaxation parameter
Рисунок 4. Rozenkrantz's results
Рисунок 4. The experimental values of Burch et al.(1979,1981,1984) (296K, 350-1100 cm⁻¹)
Рисунок 4. Theoretical
Рисунок 5. D.E. Burch (1981) (338K, 300-450 cm⁻¹)
Рисунок 5. Rozenkrantz's results
Рисунок 5. Theoretical
Рисунок 6. D.E.Burch (1981) (430K, 400-800 cm⁻¹)
Рисунок 6. Rozenkrantz's results
Рисунок 6. Theoretic
Рисунок 13. Bignell K.J. (1970). Experiment
Рисунок 13. Burch D.E. (1970) (700-1200 cm⁻¹)
Рисунок 13. Burch D.E., et al. (1984) (700-1200 cm⁻¹)
Рисунок 13. Computation used model [40]. Case 1
Рисунок 13. Computation used model [40]. Case 2
Рисунок 13. Computation used model [40]. Case 3
Рисунок 13. Computation used model [40]. Case 4
Рисунок 13. Varanasi P. (1988). (700-1200 cm⁻¹)
Рисунок 14. Computation used continuum model [3]
Рисунок 14. Computation used continuum model [40]
Рисунок 14. Montgomery G.P. (1978)
Рисунок 14. Varanasi P. (1988)
Рисунок 1a
Рисунок 3. Experimental data
Рисунок 3. Line-by-line model calculations using the HITRAN data set
Рисунок 4. Line-by-line model calculations using the HITEMP data set
Рисунок 4. Experimental data
Рисунок 3a. kappa(calc)/kappa(exp), СО2+СО2, T=193 K
Рисунок 3b. kappa(calc)/kappa(exp), СО2+СО2, T=291 K
Рисунок 3c. kappa(calc)/kappa(exp), СО2+СО2, T=414 K
Рисунок 3d. kappa(calc)/kappa(exp), СО2+СО2, T=534 K
Рисунок 3e. kappa(calc)/kappa(exp), СО2+СО2, T=627 K
Рисунок 3f. kappa(calc)/kappa(exp), СО2+СО2, T=751 K
Рисунок 3g. kappa(calc)/kappa(exp), СО2+N2, T=193 K
Рисунок 3h. kappa(calc)/kappa(exp), СО2+N2, T=291 K
Рисунок 3i. kappa(calc)/kappa(exp), СО2+N2, T=448 K
Рисунок 3j. kappa(calc)/kappa(exp), СО2+N2, T=550 K
Рисунок 3k. kappa(calc)/kappa(exp), СО2+N2, T=623 K
Рисунок 3l. kappa(calc)/kappa(exp), СО2+N2, T=673 K
Рисунок 3m. kappa(calc)/kappa(exp), СО2+N2, T=773 K
Рисунок 4a. kappa(calc)/kappa(exp), T=193 K
Рисунок 4b. kappa(calc)/kappaexp), T=296 K
Рисунок 4c. kappa(calc)/kappa(exp), T=193 K
Рисунок 4d. kappa(calc)/kappa(exp), T=296 K
Рисунок 7. Hartmann J.M., et al., (1989). Calculation
Рисунок 7. Hartmann J.M., et al., (1989). Computation
Рисунок 7. Кузнецова Э.С., и др. (1975). Experiment
Рисунок 7. Кузнецова Э.С., и др. (1975). Экспериментальные данные
Рисунок 7. Расчет по теории крыльев линий. T=281K
Рисунок 7. Расчет по теории крыльев линий. T=673K
Рисунок 1. C.Cousin, et al., (1986). Experiment, 2387.5 cm⁻¹
Рисунок 1. Calculation used line wing theory, 2387.5 cm⁻¹
Рисунок 1. Calculation used line wing theory, 2400 cm⁻¹
Рисунок 1. Calculation used line wing theory, 2480 cm⁻¹
Рисунок 1. Calculation used line wing theory, 2520 cm⁻¹
Рисунок 1. Calculation used line wing theory, 2580 cm⁻¹
Рисунок 1. G. Adiks, et al., (1984). Experiment, 2400 cm⁻¹
Рисунок 1. G. Adiks, et al., (1984). Experiment, 2480 cm⁻¹
Рисунок 1. G. Adiks, et al., (1984). Experiment, 2520 cm⁻¹
Рисунок 1. G. Adiks, et al., (1984). Experiment, 2580 cm⁻¹
Рисунок 1. J.M.Hartmann, et al., (1989). Experiment, 2400 cm⁻¹
Рисунок 1. J.M.Hartmann, et al., (1989). Experiment, 2480 cm⁻¹
Рисунок 1. J.M.Hartmann, et al., (1989). Experiment, 2520 cm⁻¹
Рисунок 1. M.O.Bulanin, et al., (1976). Experiment, 2400 cm⁻¹
Рисунок 1. M.O.Bulanin, et al., (1976). Experiment, 2480 cm⁻¹
Рисунок 1. M.O.Bulanin, et al., (1976). Experiment, 2580 cm⁻¹
Рисунок 1. M.O.Bulanin, et al., (1976). Experiment, 2520 cm⁻¹
Рисунок 1. R.LeDoucen, et al., (1985). Experiment, 2400 cm⁻¹
Рисунок 1. R.LeDoucen, et al., (1985). Experiment, 2480 cm⁻¹
Рисунок 1. R.LeDoucen, et al., (1985). Experiment, 2520 cm⁻¹
Рисунок 1. R.LeDoucen, et al., (1985). Experiment, 2580 cm⁻¹
Рисунок 3. Calculation (line wing theory), p=1.62 amagat
Рисунок 3. Calculation (line wing theory), p=17 amagat
Рисунок 3. Calculation (line wing theory), p=77 amagat
Рисунок 3. J. M. Hartmann (1989). Experiment, p=1.62 amagat
Рисунок 3. J. M. Hartmann (1989). Experiment, p=17 amagat
Рисунок 3. J. M. Hartmann (1989). Experiment, p=77 amagat
Рисунок 3. J. M. Hartmann (1989). Line mixing calculation, p=1.62 amagat
Рисунок 3. J. M. Hartmann (1989). Line mixing calculation, p=17 amagat
Рисунок 3. J. M. Hartmann (1989). Line mixing calculation, p=77 amagat
Рисунок 1a. The CO2 absorption coefficient. Line wing theory calculation
Рисунок 1a. The CO2 absorption coefficient. Lorentzian calculation
Рисунок 1b. The normalized deviation. Experimental results
Рисунок 1b. The normalized deviation. Line wing theory calculation
Рисунок 3. Line shape in the 4.3 mkm band
Рисунок 3. Lorentzian shape
Рисунок 3. Present calculation
Рисунок 4. CO₂-He absorption coefficient (P=2 atm)
Рисунок 4. CO₂-He absorption coefficient (P=7 atm)
Рисунок 4. CO₂-Xe absorption coefficient (P=2 atm)
Рисунок 4. CO₂-Xe absorption coefficient (P=7 atm)
Рисунок 4. Experimental values (after fits)
Рисунок 4. H.J. Liebe (1984). Calculated values
Рисунок 4. J.H.Van Vleck, et al. (1945). Calculated values
Рисунок 4. S.A.Clough, et al. (1989). Calculated values
Рисунок 4. S.A.Zhevakin, et al. (1963). Calculated values
Рисунок 8. Experimental values (after fits)
Рисунок 8. H.J.Liebe (1984). Calculated values
Рисунок 8. J.H.Van Vleck, et al. (1945). Calculated values
Рисунок 8. S.A.Clough, et al. (1989). Calculated values
Рисунок 8. S.A.Zhevakin, et al. (1963). Calculated values
Рисунок 9. Experimental values (after fits) (296K, 185-215 GHz)
Рисунок 9. H.J.Liebe (1984). Calculated values (296K, 185-215 GHz)
Рисунок 9. J.H.Van Vleck (1945). Calculated values (296K, 185-215 GHz)
Рисунок 9. S.A.Clough, et al. (1989). Calculated values (296K, 185-215 GHz)
Рисунок 9. S.A.Zhevakin et al. (1963). Calculated values
Рисунок 1a
Рисунок 1a
Рисунок 1b
Рисунок 1c
Рисунок 1d
Рисунок 1e
Рисунок 1a
Рисунок 2. Best fit to Burch D.E. at al. (1984) (296K, 700-1200 cm⁻¹)
Рисунок 2. Empirical model of Clough et al. (1980) based on Burch (1981)
Рисунок 2. Empirical model of Clough et al. (1989) based on Burch and Alt (1984)
Рисунок 2. Empirical model of Roberts et al. (1976)
Рисунок 3. Empirical model of Clough et al. (1989) (1000 cm⁻¹)
Рисунок 3. Laboratory measured values of Burch and Alt (1984) (1000 cm⁻¹)
Рисунок 3. Roberts et al. (1976) parametrization (T₀=1800K) (1000 cm⁻¹)
Рисунок 3. Roberts et al. (1976) parametrization (T₀=2900K) (1000 cm⁻¹)
Рисунок 3. Roberts et al. (1976) parametrization (T₀=4000K) (1000 cm⁻¹)
Рисунок 10. A.Ben-Shalom, et al. (1985), A.D.Devir, et al. (1988). Experimental values
Рисунок 10. Original theoretical results (2000-2225 cm⁻¹)
Рисунок 11. Burch et al. (1984, 1985) (296K, 3090-4220 cm⁻¹)
Рисунок 11. Present theory
Рисунок 4. Rosenkranz's results
Рисунок 4. The present theory
Рисунок 7. T=296 K
Рисунок 7. T=338 K
Рисунок 7. T=430 K
Рисунок 9. Burch D.E. et al. (1971) (428K, 2400-2670 cm⁻¹)
Рисунок 9. Burch D.E. et al. (1984) (296K, 2400-2650 cm⁻¹)
Рисунок 9. Burch D.E. et al. (1984) (328K, 2400-2650 cm⁻¹)
Рисунок 9. Theoretical results for T=296K
Рисунок 9. Theoretical results for T=328K
Рисунок 9. Theoretical results for T=428K
Рисунок 10. Experiment Burch D.E. et al. (1979) (430K, 420-640 cm⁻¹)
Рисунок 10. Present calculation with one averaged line shape functions
Рисунок 10. Present calculation with two averaged line shape functions
Рисунок 11. Experiment Burch D.E. et al. (1985) (353K, 1200-2300 cm⁻¹)
Рисунок 11. Our theoretical results
Рисунок 12. Burch D.E. (1979,1981,1985) (308K, 1300-1900 cm⁻¹)
Рисунок 12. Burch D.E. experimental values for T=428K
Рисунок 12. Theoretical results for T = 308K
Рисунок 12. Theoretical results for T = 428K
Рисунок 13. D.E.Burch experimental values for T= 296K
Рисунок 13. Theoretical results for T = 296K
Рисунок 7. H₂O self-broadening AC (0-10000 cm⁻¹)
Рисунок 7. H₂O+CO₂ foreign-broadening AC (0-10000 cm⁻¹)
Рисунок 7. H₂O+N₂ foreign-broadening AC (0-10000 cm⁻¹)
Рисунок 8. Experiment Burch D.E. et al. (1985)
Рисунок 8. Present calculation with one averaged line shape functions
Рисунок 8. Present calculation with two averaged line shape functions
Рисунок 9. Burch D.E. et al. (1979,81,85). Experiment (338K, 300-1100 сm⁻¹)
Рисунок 9. Present calculation with one averaged line shape functions
Рисунок 9. Present calculation with two averaged line shape functions
Рисунок 3. Normalized absorption coefficient (193K)
Рисунок 3. Normalized absorption coefficient (213K)
Рисунок 3. Normalized absorption coefficient (233K)
Рисунок 3. Normalized absorption coefficient (253K)
Рисунок 3. Normalized absorption coefficient (273K
Рисунок 3. Normalized absorption coefficient (293K)
Рисунок 1a
Рисунок 1a
Рисунок 3. Burch D.E., et al. (1969). Experimental data (2460 cm-1)
Рисунок 3. Burch D.E., et al. (1969). Experimental data. (2440 cm-1)
Рисунок 3. Calculated from eqs. (3) and (6), (2440 cm-1)
Рисунок 3. Calculated from eqs. (3) and (6), (2460 cm-1)
Рисунок 3. Calculated from eqs. (4) and (6) and chi from [11], (2440 cm-1)
Рисунок 3. Calculated from eqs. (4) and (6) and chi from [11], (2460 cm-1)
Рисунок 3. Hartmann J.M. (1989). Experimental data (2460 cm-1)
Рисунок 3. Hartmann J.M., (1989). Experimental data (2440 cm-1)
Рисунок 3. Hartmann J.M., et al (1989). Experimental data (2440 cm-1)
Рисунок 3. Hartmann J.M., et al. (1989). Experimental data (2460 cm-1)
Рисунок 3. Le Doucen R., et al. (1985). Experimental data (2440 cm-1)
Рисунок 3. Le Doucen R., et al. (1985). Experimental data (2460 cm-1)
Рисунок 3. Present experiment (2440 cm-1)
Рисунок 3. Present experiment (2460 cm-1)
Рисунок 3. Winters B.H., et al. (1964). Experimental data (2440 cm-1)
Рисунок 3. Winters B.H., et al. (1964). Experimental data (2460 cm-1)
Рисунок 1. Collision-induced intensities due to N₂ pairs
Рисунок 1. Collision-induced intensities due to N₂+H₂
Рисунок 1. Haze layer
Рисунок 1. McKay, C.P., et al. (1991). Collision-induced intensities due to N₂+CH₄
Рисунок 1. McKay, C.P., et al. (1989). Collision-induced intensities due to CH₄+CH₄ pairs (0-500 cm⁻¹)
Рисунок 1. Plank function at 94K
Рисунок 2. Collision-induced intensities due to N₂+CH₄ pairs. Experiment (126K)
Рисунок 2. Rototranslational collision-induced spectra of N₂+CH₄ pairs. Theoretical results (126K)
Рисунок 2a. R. Dagg, et al. (1986). Collision-induced intensities due to N₂-CH₄ pair. Experiment (149K)
Рисунок 2a. Rototranslational collision-induced spectra of N₂-CH₄ pairs. Theoretical results (149K)
Рисунок 2b. Collision-induced intensities due to N₂-CH₄ pair. Experiment (179K)
Рисунок 2b. Rototranslational collision-induced spectra of N₂-CH₄ pairs. Theoretical results (179K)
Рисунок 2c. Collision-induced intensities due to N₂-CH₄ pair. Experiment (212K)
Рисунок 2c. Rototranslational collision-induced spectra of N₂-CH₄ pairs. Theoretical results (212K)
Рисунок 3. Rototranslational collision-induced spectra of N₂-CH₄ pairs. Experiment (162K)
Рисунок 3. Rototranslational collision-induced spectra of N₂-CH₄ pairs. Induction by: CH₄ Fi
Рисунок 3. Rototranslational collision-induced spectra of N₂-CH₄ pairs. Induction by: CH₄ Omega
Рисунок 3. Rototranslational collision-induced spectra of N₂-CH₄ pairs. Induction by: CH₄ Q6
Рисунок 3. Rototranslational collision-induced spectra of N₂-CH₄ pairs. Induction by: N₂ Fi
Рисунок 3. Rototranslational collision-induced spectra of N₂-CH₄ pairs. Induction by: N₂ Teta
Рисунок 3. Rototranslational collision-induced spectra of N₂-CH₄ pairs. Induction by: double tr
Рисунок 3. Rototranslational collision-induced spectra of N₂-CH₄ pairs. Theoretical results (162K)
Рисунок 3a. Rototranslational collision-induced spectra of N₂-CH₄ pairs. Birnbaum et al. (1993) (195K)
Рисунок 3a. Rototranslational collision-induced spectra of N₂-CH₄ pairs. Induction - Double transitions
Рисунок 3a. Rototranslational collision-induced spectra of N₂-CH₄ pairs. Induction by: CH₄ Q6
Рисунок 3a. Rototranslational collision-induced spectra of N₂-CH₄ pairs. Theoretical results (195K)
Рисунок 3a. Rototranslational collision-induced spectra of N₂-CH₄ pairs. induction by: CH₄ Fi
Рисунок 3a. Rototranslational collision-induced spectra of N₂-CH₄ pairs. induction by: N₂ Fi
Рисунок 3a. Rototranslational collision-induced spectra of N₂-CH₄ pairs. induction by: dots, N₂ Teta
Рисунок 3a. Rototranslational collision-induced spectra of N₂-CH₄ pairs.Induction by: CH₄ Omega
Рисунок 3b. Birnbaum et al. (1993). Rototranslational collision-induced spectra of N₂-CH₄ pairs. (297K)
Рисунок 3b. Rototranslational collision-induced spectra of N₂-CH₄ pairs. Induction by: CH₄ Fi
Рисунок 3b. Rototranslational collision-induced spectra of N₂-CH₄ pairs. Induction by: CH₄ Omega
Рисунок 3b. Rototranslational collision-induced spectra of N₂-CH₄ pairs. Induction by: CH₄ Q6
Рисунок 3b. Rototranslational collision-induced spectra of N₂-CH₄ pairs. Induction by: N₂ Fi
Рисунок 3b. Rototranslational collision-induced spectra of N₂-CH₄ pairs. Induction by: N₂ Teta
Рисунок 3b. Rototranslational collision-induced spectra of N₂-CH₄ pairs. Induction: double transitions
Рисунок 3b. Rototranslational collision-induced spectra of N₂-CH₄ pairs. Theoretical results (297K)
Рисунок 4. The current model (70K)
Рисунок 4. The previous (R. Courtin (1988)) model (70K)
Рисунок 4a. The current model (120K)
Рисунок 4a. The previous (R. Courtin (1988)) model (120K)
Рисунок 4b. The current model (170K)
Рисунок 4b. The previous (R. Courtin (1988)) model (170K)
Рисунок 8. The absorption coefficient. CO2-He, 3ν3, Lorentzian calculation
Рисунок 8. I. M. Grigorev, et al. (1985). The absorption coefficient. CO2+He, 3ν3, Experiment
Рисунок 8. The absorption coefficient. CO2+He, 3ν3, SCA-calculation
Рисунок 9. The absorption coefficient. CO2+He, 3v3, Lorentzian calculation
Рисунок 9. The absorption coefficient. CO2+He, 3v3, SCA-calculation
Рисунок 9. V. M. Tarabukhin, et al. (1986). The absorption coefficient. CO2+He, 3ν3, Experiment
Рисунок 1. Absorption coefficient of CH₄ (297K, 0-700 cm⁻¹)
Рисунок 1. Absorption coefficient of CH₄+N₂ (297K, 0-700 cm⁻¹)
Рисунок 1. Absorption coefficient of N₂ (297K, 0-700 cm⁻¹)
Рисунок 2. Absorption coefficient of CH₄ (195K, 0-700 cm⁻¹)
Рисунок 2. Absorption coefficient of CH₄+N₂ (195K, 0-700 cm⁻¹)
Рисунок 2. Absorption coefficient of N₂ (195K, 0-700 cm⁻¹)
Рисунок 3. Absorption coefficient of CH₄ (162K, 0-700 cm⁻¹)
Рисунок 3. Absorption coefficient of CH₄+N₂ (162K, 0-700 cm⁻¹)
Рисунок 3. Absorption coefficient of N₂ (162K, 0-700 cm⁻¹)
Рисунок 6. Absorption coefficient of CH₄+N₂. Experiment (297K, 0-700 cm⁻¹)
Рисунок 6. Absorption coefficient of CH₄+N₂. Theory (297K, 0-700 cm⁻¹)
Рисунок 7. Absorption coefficient of CH₄+N₂. Experiment (195K, 0-700 cm⁻¹)
Рисунок 7. Absorption coefficient of CH₄+N₂. Theory (195K, 0-700 cm⁻¹)
Рисунок 8. Absorption coefficient of CH₄+N₂. Experiment (162K, 0-700 cm⁻¹)
Рисунок 8. Absorption coefficient of CH₄+N₂. Theory (162K, 0-700 cm⁻¹)
Рисунок 3. Potential curves for the total intermolecular interaction in the orientation 1
Рисунок 3. Potential curves for the total intermolecular interaction in the orientation 2
Рисунок 3. Potential curves for the total intermolecular interaction in the orientation 3
Рисунок 3. Potential curves for the total intermolecular interaction in the orientation 5
Рисунок 3. Potential curves for the total intermolecular interaction in the orientation 6
Рисунок 2. e
HL
exch
energy for E-H configuration. Fitting
Рисунок 2. e
HL
exch
energy for E-H configuration
Рисунок 2. e
HL
exch
energy for E-O configuration. Fitting
Рисунок 2. e
HL
exch
energy for E-O configuration
Рисунок 2. e
HL
exch
energy for F-H configuration. Fitting
Рисунок 2. e
HL
exch
energy for F-H configuration
Рисунок 2. e
HL
exch
energy for F-O configuration. Fitting
Рисунок 2. e
HL
exch
energy for F-O configuration
Рисунок 2. e
HL
exch
energy for V-O configuration. Fitting
Рисунок 2. e
HL
exch
energy for V-O configuration
Рисунок 3. e
(
¹⁰
)
es
for E-H configuration. Electrostatic energy. Fitting
Рисунок 3. e
(
¹⁰
)
es
for E-H configuration. Electrostatic energy
Рисунок 3. e
(
¹⁰
)
es
for E-O configuration. Electrostatic energy. Fitting
Рисунок 3. e
(
¹⁰
)
es
for E-O configuration. Electrostatic energy
Рисунок 3. e
(
¹⁰
)
es
for F-H configuration. Electrostatic energy. Fitting
Рисунок 3. e
(
¹⁰
)
es
for F-H configuration. Electrostatic energy
Рисунок 3. e
(
¹⁰
)
es
for F-O configuration. Electrostatic energy. Fitting
Рисунок 3. e
(
¹⁰
)
es
for F-O configuration. Electrostatic energy
Рисунок 3. e
(
¹⁰
)
es
for V-O configuration. Electrostatic energy. Fitting
Рисунок 3. e
(
¹⁰
)
es
for V-O configuration. Electrostatic energy
Рисунок 4. d
SCF
def
, for E-H configuration. SCF-deformation energy. Fitting
Рисунок 4. d
SCF
def
, for E-H configuration. SCF-deformation energy
Рисунок 4. d
SCF
def
, for E-O configuration. SCF-deformation energy. Fitting
Рисунок 4. d
SCF
def
, for E-O configuration. SCF-deformation energy
Рисунок 4. d
SCF
def
, for F-H configuration. SCF-deformation energy. Fitting
Рисунок 4. d
SCF
def
, for F-H configuration. SCF-deformation energy
Рисунок 4. d
SCF
def
, for F-O configuration. SCF-deformation energy. Fitting
Рисунок 4. d
SCF
def
, for F-O configuration. SCF-deformation energy
Рисунок 4. d
SCF
def
, for V-O configuration. SCF-deformation energy. Fitting
Рисунок 4. d
SCF
def
, for V-O configuration. SCF-deformation energy
Рисунок 5. e
(
²⁰
)
disp
, for E-H configuration, dispersion energy. Fitting
Рисунок 5. e
(
²⁰
)
disp
, for E-H configuration, dispersion energy
Рисунок 5. e
(
²⁰
)
disp
, for E-O configuration, dispersion energy. Fitting
Рисунок 5. e
(
²⁰
)
disp
, for E-O configuration, dispersion energy
Рисунок 5. e
(
²⁰
)
disp
, for F-H configuration, dispersion energy. Fitting
Рисунок 5. e
(
²⁰
)
disp
, for F-H configuration, dispersion energy
Рисунок 5. e
(
²⁰
)
disp
, for F-O configuration, dispersion energy. Fitting
Рисунок 5. e
(
²⁰
)
disp
, for F-O configuration, dispersion energy
Рисунок 5. e
(
²⁰
)
disp
, for V-O configuration, dispersion energy. Fitting
Рисунок 5. e
(
²⁰
)
disp
, for V-O configuration, dispersion energy
Рисунок 6. Interaction energy for E-H configuration. Fitting
Рисунок 6. Interaction energy for E-H configuration
Рисунок 6. Interaction energy for E-O configuration. Fitting
Рисунок 6. Interaction energy for E-O configuration
Рисунок 6. Interaction energy for F-H configuration. Fitting
Рисунок 6. Interaction energy for F-H configuration
Рисунок 6. Interaction energy for F-O configuration. Fitting
Рисунок 6. Interaction energy for F-O configuration
Рисунок 6. Interaction energy for V-O configuration. Fitting
Рисунок 6. Interaction energy for V-O configuration
Рисунок 1. The wing of the v₂ band of H₂O. Calculation (475 K; 2.73 Am)
Рисунок 1. The wing of the v₂ band of H₂O. Calculation (575 K; 3.91 Am)
Рисунок 1. The wing of the v₂ band of H₂O. Calculation (675 K; 5.70 Am)
Рисунок 1. The wing of the v₂ band of H₂O. Experiment (475 K; 2.73 Am)
Рисунок 1. The wing of the v₂ band of H₂O. Experiment (575 K; 3.91 Am)
Рисунок 1. The wing of the v₂ band of H₂O. Experiment (675 K; 5.70 Am)
Рисунок 12. Pure H₂O transmissivity in the wing of the v₂ band. Calculation (575K, 10.5 Am)
Рисунок 12. Pure H₂O transmissivity in the wing of the v₂ band. Calculation (575K, 21.3 Am)
Рисунок 12. Pure H₂O transmissivity in the wing of the v₂ band. Calculation (575K, 38.2 Am)
Рисунок 12. Pure H₂O transmissivity in the wing of the v₂ band. Experiment (575K, 10.5 Am)
Рисунок 12. Pure H₂O transmissivity in the wing of the v₂ band. Experiment (575K, 21.3 Am)
Рисунок 12. Pure H₂O transmissivity in the wing of the v₂ band. Experiment (575K, 38.2 Am)
Рисунок 12a. Pure H₂O transmissivity in the wing of the v₂ band. Calculation (775K, 14.2 Am)
Рисунок 12a. Pure H₂O transmissivity in the wing of the v₂ band. Calculation (775K, 25.6 Am)
Рисунок 12a. Pure H₂O transmissivity in the wing of the v₂ band. Calculation (775K, 8.30 Am)
Рисунок 12a. Pure H₂O transmissivity in the wing of the v₂ band. Experiment (775K, 14.2 Am)
Рисунок 12a. Pure H₂O transmissivity in the wing of the v₂ band. Experiment (775K, 25.6 Am)
Рисунок 12a. Pure H₂O transmissivity in the wing of the v₂ band. Experiment (775K, 8.30 Am)
Рисунок 13. Pure H₂O transmissivities in the wing of the (v₁,2v₂,v₃) triad. Calculation (575K, 37.7 Am)
Рисунок 13. Pure H₂O transmissivities in the wing of the (v₁,2v₂,v₃) triad. Calculation (675K, 28.1 Am)
Рисунок 13. Pure H₂O transmissivities in the wing of the (v₁,2v₂,v₃) triad. Calculation (765K, 18.8 Am)
Рисунок 13. Pure H₂O transmissivities in the wing of the (v₁,2v₂,v₃) triad. Calculation (875K, 14.2 Am)
Рисунок 13. Pure H₂O transmissivities in the wing of the (v₁,2v₂,v₃) triad. Experiment (575K, 37.7 Am)
Рисунок 13. Pure H₂O transmissivities in the wing of the (v₁,2v₂,v₃) triad. Experiment (675K, 28.1 Am)
Рисунок 13. Pure H₂O transmissivities in the wing of the (v₁,2v₂,v₃) triad. Experiment (765K, 18.8 Am)
Рисунок 13. Pure H₂O transmissivities in the wing of the (v₁,2v₂,v₃) triad. Experiment (875K, 14.2 Am)
Рисунок 14. Calculation. Khee (Table 4) (2200-3500 cm⁻¹)
Рисунок 14. Calculation. Khee (Table 4) (4100-6000 cm⁻¹)
Рисунок 14. Calculation. Khee=1 (2200-3500 cm⁻¹)
Рисунок 14. Calculation. Khee=1 (4100-6000 cm⁻¹)
Рисунок 14. Thomas (1990). Experiment (2200-3300 cm⁻¹)
Рисунок 14. Thomas (1990). Experiment (4100-5000 cm⁻¹)
Рисунок 14. Thomas (1990). Experiment (5600-6000 cm⁻¹)
Рисунок 2. The wing of the v₁+2v₂+v₃ band of H₂O. Calculation (475K; 3.83 Am)
Рисунок 2. The wing of the v₁+2v₂+v₃ band of H₂O. Calculation (575K; 3.26 Am)
Рисунок 2. The wing of the v₁+2v₂+v₃ band of H₂O. Calculation (765K; 4.28 Am)
Рисунок 2. The wing of the v₁+2v₂+v₃ band of H₂O. Experiment (475K; 3.83 Am)
Рисунок 2. The wing of the v₁+2v₂+v₃ band of H₂O. Experiment (575K; 3.26 Am)
Рисунок 2. The wing of the v₁+2v₂+v₃ band of H₂O. Experiment (765K; 4.28 Am)
Рисунок 3. Burch, et al. (1984,1985). H₂O continuum absorption coefficient (2400 cm⁻¹)
Рисунок 3. Burch, et al. (1984,1985). H₂O continuum absorption coefficient (2600 cm⁻¹)
Рисунок 3. H₂O continuum absorption coefficient (2400 cm⁻¹, this work)
Рисунок 3. H₂O continuum absorption coefficient (2500 cm⁻¹, Burch, et al. (1984,1985))
Рисунок 3. H₂O continuum absorption coefficient (2500 cm⁻¹, this work)
Рисунок 3. H₂O continuum absorption coefficient (2600 cm⁻¹, this work)
Рисунок 4. Pure H₂O transmission spectra (1900-2250 cm⁻¹, P=10.5 Am)
Рисунок 4. Pure H₂O transmission spectra (1900-2250 cm⁻¹, P=21.3 Am)
Рисунок 4. Pure H₂O transmission spectra (1900-2250 cm⁻¹, P=38.2 Am)
Рисунок 4a. Pure H₂O transmission spectra (3900-4550 cm⁻¹, P=19.9 Am)
Рисунок 4a. Pure H₂O transmission spectra (3900-4550 cm⁻¹, P=27.7 Am)
Рисунок 4a. Pure H₂O transmission spectra (3900-4550 cm⁻¹, P=37.7 Am)
Рисунок 7. D.E. Burch, et al. (1975, 1979, 1987) (296K)
Рисунок 7. Q. Ma et al. (1990) (296K)
Рисунок 7. S.A. Clough, et al. (1989) (296K)
Рисунок 7. D.E. Burch, et al. (430K)
Рисунок 7. D.E. Burch, et al. (575K)
Рисунок 7. D.E. Burch, et al. (765K)
Рисунок 7. Q. Ma et al. (1990) (430K)
Рисунок 7. Q. Ma et al. (1990) (575K)
Рисунок 7. Q. Ma et al. (1990) (765K)
Рисунок 14. CKD continuum, determined in this work
Рисунок 14. D. E. Burch (1968) (0-2 cm⁻¹)
Рисунок 14. D.E. Burch et al. (1980)
Рисунок 14. Experiment, this work
Рисунок 14. S.A.Clough et al. (1989)
Рисунок 16. D.E.Burch (1968) (0.1-10 cm⁻¹)
Рисунок 16. D.E.Burch et al. (1980) (300-700 cm⁻¹)
Рисунок 16. Experiment, this work
Рисунок 16. S.A.Clough, et al. CKD continuum
Рисунок 1a
Рисунок 1b
Рисунок 1c
Рисунок 1a
Рисунок 2a. 2.3 mkm window, opacity of CO2, high-T database
Рисунок 2a. 2.3 mkm window, opacity of CO2, room temperature
Рисунок 2b. 1.7 mkm window, opacity of CO2, high-T database
Рисунок 2b. 1.7 mkm window, opacity of CO2, room temperature
Рисунок 2c. 1.2 mkm window, opacity of CO2, high-T database
Рисунок 2c. 1.2 mkm window, opacity of CO2, room temperature
Рисунок 7. Absorption coefficient of CO2
Рисунок 7. Absorption coefficient of H2O
Рисунок 7. Near infrared window (4000 cm-1)
Рисунок 7. Near infrared window (5000 cm-1)
Рисунок 7. Near infrared window (7000 cm-1)
Рисунок 7. Near infrared window (8000 cm-1)
Рисунок 7. Near infrared window (9000 cm-1)
Рисунок 4. Burch, et al. (1979, 1981, 1984, 1985) (296K, 300-1100 cm⁻¹)
Рисунок 4. With the near-wing correction
Рисунок 4. Without the near-wing correction
Рисунок 5. Results with the correction
Рисунок 5. Results without correction
Рисунок 5. Shalom, et al.
Рисунок 6. E. Burch et al. (1984, 1985) ()296K, 3000-4200 cm⁻¹
Рисунок 6. Theoretical results with the correction
Рисунок 6. Theoretical results without the correction
Рисунок 7. With the near-wing correction
Рисунок 7. Without the near-wing correction
Рисунок 8. With the near-wing correction
Рисунок 8. Without the near-wing correction
Рисунок 1. The band-averaged line shape function kappa(omega)
Рисунок 1. The correction to the band-averaged line shape function
Рисунок 2. Contribution from the band-averaged line shape function. CO₂+Ar
Рисунок 2. Experimental data. CO₂+Ar
Рисунок 2. Results calculated using a Lorentzian line shape. CO₂+Ar
Рисунок 2. Total contribution
Рисунок 3. Absorption coefficient. Calculation using the modified potential parameters. CO₂+Ar
Рисунок 3. J. Boissoles, et al., (1989). Absorption coefficient. Experimental data. CO₂+Ar
Рисунок 11. Line shape function Eq.(66)
Рисунок 11. Line shape function Eq.(69)
Рисунок 12. J. Boissoles, et al., (1989). The experimental data. CO₂+Ar
Рисунок 12. The result of calculation. CO₂+Ar
Рисунок 12. The results obtained using Eq. (66). CO₂+Ar
Рисунок 12. The results obtained using Eq. (69). CO₂+Ar
Рисунок 3. CO2+Ar line shape function
Рисунок 4. J. Boissoles, et al., (1989). The experimental results. CO₂+Ar
Рисунок 4. The results obtained assuming Lorentzian line shapes. CO₂+Ar
Рисунок 4. The theoretical values. CO₂+Ar
Рисунок 4. Experiment (T=11.5C, 400-650 cm⁻¹)
Рисунок 4. Experiment (T=14.3C, 400-600 cm⁻¹)
Рисунок 4. Experiment (T=7.7C, 400-650 cm⁻¹)
Рисунок 4. Experiment (T=9.4C, 400-650 cm⁻¹)
Рисунок 5. Calculation (T=11.5C, 400-640 cm⁻¹)
Рисунок 5. Calculation (T=14.3C, 450-630 cm⁻¹)
Рисунок 5. Calculation (T=7.7C, 380-650 cm⁻¹)
Рисунок 1a
Рисунок 1b
Рисунок 1c
Рисунок 1d
Рисунок 1e
Рисунок 2a. Experimental results
Рисунок 2a. Lorentzian calculation
Рисунок 2a. Y. I. Baranov, et al. (1981). Experiment
Рисунок 2b. B0(exp)/B0(Lor)
Рисунок 5a. Experiment. P(CO2)=200 Torr, P(He)=7.9 atm
Рисунок 5a. Lorentzian calculation
Рисунок 5b. B0(exp)/B0(Lor)
Рисунок 5c. Experiment. P(CO2)=200 Torr, P(He)=9.4 atm
Рисунок 5c. Lorentzian calculation
Рисунок 5d. B0(exp)/B0(Lor)
Рисунок 6a. Experiment. CO₂+He. P(CO₂)=2.5 atm, P(He)=63.6 atm
Рисунок 6a. Lorentzian calculation. CO₂+He. P(CO₂)=2.5 atm, P(He)=63.6 atm
Рисунок 6b. Experiment. CO₂+He. P(CO₂)=5.05 atm, P(He)=143.1 atm
Рисунок 6b. Lorentzian calculation. CO₂+He. P(CO₂)=5.05 atm, P(He)=143.1 atm
Рисунок 1. Absorption coefficient. CO₂+He. ECS calculation
Рисунок 1. Absorption coefficient. CO₂+He. Experiment
Рисунок 1. Absorption coefficient. CO₂+He. Lorentzian calculation
Рисунок 1. Positions and relative intensities of the lines. CO₂+He
Рисунок 2. E.C.S. predictions in the wing above 6990 cm-1. B0(calc)/B0(Lor)
Рисунок 2. Experimental absorption in the wing above 6990 cm-1. B0(exp)/B0(Lor)
Рисунок 3. Absorption coefficient. CO₂+He. ECS calculation
Рисунок 3. Absorption coefficient. CO₂+He. Experiment
Рисунок 3. Absorption coefficient. CO₂+He. Lorentzian calculation
Рисунок 5. Absorption coefficient. CO₂+Ar. Experiment
Рисунок 5. Absorption coefficient. CO₂+Ar. Lorentzian calculation
Рисунок 6. Absorption coefficient. CO₂+N₂. Experiment
Рисунок 6. Absorption coefficient. CO₂+N₂. Lorentzian calculation
Рисунок 4. Water internal-rotation potential energy (phi=0)
Рисунок 4. Water internal-rotation potential energy (phi=90)
Рисунок 6. Absorption coefficient. ECS calculation
Рисунок 6. Absorption coefficient. Experiment
Рисунок 6. Absorption coefficient. Lorentzian calculation
Рисунок 7. Absorption coefficient. ECS calculation
Рисунок 7. Absorption coefficient. Experiment
Рисунок 7. Absorption coefficient. Lorentzian calculation
Рисунок 10a. Absorption coefficient. ECS calculation
Рисунок 10a. Absorption coefficient. Experiment
Рисунок 10a. Absorption coefficient. Lorentzian calculation
Рисунок 10b. B0(calc)/B0(Lor)
Рисунок 10b. B0(exp)/B0(Lor)
Рисунок 2a. B0(IOS)/B0(Lor)
Рисунок 2a. B0(exp)/B0(Lor)
Рисунок 2b. R branch region. B0(IOS)/B0(Lor)
Рисунок 2b. R branch region. B0(exp)/B0(Lor)
Рисунок 3a. B0(IOS-DBC)/B0(Lor)
Рисунок 3a. B0(exp)/B0(Lor)
Рисунок 3b. B0(calc)/B0(Lor), Wkk = -Sigmal=k dl/dk Wlk IOS/DBC=S’k
Рисунок 3b. B0(calc)/B0(Lor), Wkk=1.01S’k
Рисунок 3b. B0(calc)/B0(Lor), Wkk=1.02S’k
Рисунок 3b. B0(calc)/B0(Lor), Wkk=1.05S’k
Рисунок 3b. B0(calc)/B0(Lor), Wkk=1.1S’k
Рисунок 3b. B0(exp)/B0(Lor)
Рисунок 8. B0(calc)/B0(Lor)
Рисунок 8. B0(exp)/B0(Lor)
Рисунок 10. Burch D.E. (1981, 1985), Burch et al. (1984) Experimental values for T= 296 K (3000-4100 cm⁻¹)
Рисунок 10. Theoretical results for T = 296 K (3000-4100 cm⁻¹)
Рисунок 11. Hinderling et al. (1987) (253-278K) 10P(20)
Рисунок 11. Hinderling et al. (1987) (275-305K). 10P(20)
Рисунок 11. Hinderling et al. (1987) (305-345K). 10P(20) CO₂ laser line frequency of 944.195 cm⁻¹
Рисунок 11. Present theory
Рисунок 12. Burch et al. (1971) (1203 cm⁻¹)
Рисунок 12. Loper, G.L., et al. (1983)
Рисунок 12. Montgomery, G.P. (1978) (1200 cm⁻¹)
Рисунок 12. Present theory
Рисунок 12. Roberts, R.E., et al. (1976)
Рисунок 12. Varanasi, P. (1988)
Рисунок 3. Rosenkranz's results
Рисунок 3. The present theory (296K)
Рисунок 5. Calculation with one line shape functions (296K)
Рисунок 5. Calculation with two line shape functions (296K)
Рисунок 5. D.E.Burch, et al. (1984) Experiment (296K, 300-1000 cm⁻¹)
Рисунок 6. Burch (1981, 1985), Burch et al. (1984) (296K, 300-1100 cm⁻¹)
Рисунок 6. Calculation of AC with one line shape functions
Рисунок 6. Calculation of AC with two line shape functions
Рисунок 7. Burch et al. (1971) (428K, 2400-2700 cm⁻¹)
Рисунок 7. Burch et al. (1984) (296K, 2400-2700 cm⁻¹)
Рисунок 7. Burch et al. (1984) (328K, 2400-2700 cm⁻¹)
Рисунок 7. Theoretical results for T=296 K (2400-2700 cm⁻¹)
Рисунок 7. Theoretical results for T=328 K (2400-2700 cm⁻¹)
Рисунок 7. Theoretical results for T=428 K (2400-2700 cm⁻¹)
Рисунок 8. Burch et al. (1984), Burch D.E. (1985) Experimental values (3000-4300 cm⁻¹)
Рисунок 8. Theoretical results (3000-4300 cm⁻¹)
Рисунок 9. Burch et al. (1984), Burch D.E. (1985) (353K, 1200-2300 cm⁻¹)
Рисунок 9. Theoretical results (1200-2300 cm⁻¹)
Рисунок 10. Eq. (8) and the fitted parameters of Table 4. P=1.97 atm
Рисунок 10. Eq. (8) and the fitted parameters of Table 4. P=19.8 atm
Рисунок 10. Eq. (8) and the fitted parameters of Table 4. P=3.95 atm
Рисунок 10. Eq. (8) and the fitted parameters of Table 4. P=9.87 atm
Рисунок 10. F. Thibault, et al., (199?). Experiment. P=1.97 atm
Рисунок 10. F. Thibault, et al., (199?). Experiment. P=19.8 atm
Рисунок 10. F. Thibault, et al., (199?). Experiment. P=3.95 atm
Рисунок 10. F. Thibault, et al., (199?). Experiment. P=9.87 atm
Рисунок 10. The difference between the two previous. P=1.97 atm
Рисунок 10. The difference between the two previous. P=19.8 atm
Рисунок 10. The difference between the two previous. P=3.95 atm
Рисунок 10. The difference between the two previous. P=9.87 atm
Рисунок 4. Eq. (I) and the ECS model
Рисунок 4. Eq. (I) and the Strong Collision Model
Рисунок 6. Eq. (8) and the fitted parameters of Table 2, P=0.2 atm
Рисунок 6. Eq. (8) and the fitted parameters of Table 2, P=2 atm
Рисунок 6. Eq. (8) and the fitted parameters of Table 2, P=5 atm
Рисунок 6. Eq. (I) and the ECS Model, P=0.2 atm
Рисунок 6. Eq. (I) and the ECS Model, P=2 atm
Рисунок 6. Eq. (I) and the ECS Model, P=5 atm
Рисунок 6. The difference between the two previous, P=0.2 atm
Рисунок 6. The difference between the two previous, P=2 atm
Рисунок 6. The difference between the two previous, P=5 atm
Рисунок 8. Eq. (8) and the fitted parameters; T=100 K
Рисунок 8. Eq. (8) and the fitted parameters; T=300 K
Рисунок 8. Eq. (8) and the fitted parameters; T=900 K
Рисунок 8. Eq. (I) and the ECS Model; T=100 K
Рисунок 8. Eq. (I) and the ECS Model; T=300 K
Рисунок 8. Eq. (I) and the ECS Model; T=900 K
Рисунок 8. The difference between the two previous; T=100 K
Рисунок 8. The difference between the two previous; T=300 K
Рисунок 8. The difference between the two previous; T=900 K
Рисунок 10a. (CO₂)₂ + (CO₂)₃ model spectrum
Рисунок 10b. Unidentified Q-branch in the observed (CO₂)₂ + (CO₂)₃ spectrum
Рисунок 3a. (CO₂)₂+(CO₂)₃ model
Рисунок 3b. (CO₂)₃ model
Рисунок 3c. (CO₂)₂ model
Рисунок 3d. Observed
Рисунок 4a. (CO₂)₂ + (CO₂)₃ model
Рисунок 4b. (CO₂)₃ model
Рисунок 4c. (CO₂)₂ model
Рисунок 4d. Observed
Рисунок 8. Spectra of CH₄ + Ar at 61K in the region of the R(0) transition of the v₃ of CH₄
Рисунок 8. Spectra of CH₄ at 61°K in the region of the R(0) transition of the v₃ of CH₄
Рисунок 9. Spectrum due to the CH₄-H₂ complex
Рисунок 5a. Calculated with the ECS model, nCO2= 4.62 Am and nHe=121.2 Am (n˜He=126.2 Am)
Рисунок 5a. Calculated with the Lorentzian model, nCO2= 4.62 Am and nHe=121.2 Am (n˜He=126.2 Am)
Рисунок 5a. Experimental, nCO2= 4.62 Am and nHe=121.2 Am (n˜He=126.2 Am)
Рисунок 5b. Calculated with the ECS model, nCO2= 4.66 Am and nHe=598.7 Am (n˜ He=720.6 Am)
Рисунок 5b. Calculated with the Lorentzian model, nCO2= 4.66 Am and nHe=598.7 Am (n˜ He=720.6 Am)
Рисунок 5b. Experimental, nCO2= 4.66 Am and nHe=598.7 Am (n˜ He=720.6 Am)
Рисунок 7a. Calculated with the ECS model corrected for the effective shift Deff; nCO2= 4.61 Am and nHe=364.3 Am (n˜ He=409.4 A
Рисунок 7a. Experimental; nCO2= 4.61 Am and nHe=364.3 Am (n˜He=409.4 Am)
Рисунок 7b. Calculated with the ECS model corrected for the effective shift Deff. nCO2=5 4.66 Am and nHe=598.7 Am (n˜ He=720.6
Рисунок 7b. Experimental. nCO2=5 4.66 Am and nHe=598.7 Am (n˜ He=720.6 Am)
Рисунок 9a. ECS model, bR-P=0.0, nCO2= 2.73*10-5 Am and nHe=603.4 Am (n˜ He=727.2 Am)
Рисунок 9a. ECS model, bR-P=0.25, nCO2= 2.73*10-5 Am and nHe=603.4 Am (n˜ He=727.2 Am)
Рисунок 9a. ECS model, bR-P=0.4, nCO2= 2.73*10-5 Am and nHe=603.4 Am (n˜ He=727.2 Am)
Рисунок 9a. Experiment, nCO2= 2.73*10-5 Am and nHe=603.4 Am (n˜ He=727.2 Am)
Рисунок 9b. ECS model, bR-P=0.0, nCO2= 1.63*10-5 Am and nHe=124.3 Am (n-He=129.5 Am)
Рисунок 9b. ECS model, bR-P=0.25, nCO2= 1.63*10-5 Am and nHe=124.3 Am (n˜ He=129.5 Am)
Рисунок 9b. Experiment, nCO2= 1.63*10-5 Am and nHe=124.3 Am (n˜ He=129.5 Am)
Рисунок 9c. ECS model, bR-P=0.0, nCO2= 4.25 *10-5 Am and nHe=241.5 Am (n˜ He=261.3 Am)
Рисунок 9c. ECS model, bR-P=0.25, nCO2= 4.25 *10-5 Am and nHe=241.5 Am (n˜ He=261.3 Am)
Рисунок 9c. Experiment, nCO2= 4.25 *10-5 Am and nHe=241.5 Am (n˜ He=261.3 Am)
Рисунок 1. H. Schindler, et al. (1993). Fitting. Methane dimer interaction energies for orientation A
Рисунок 1. H. Schindler, et al. (1993). Theory. Methane dimer interaction energies for orientation A
Рисунок 1. H.J. Bohm, et al. (1984). Fitting. Methane dimer interaction energies for orientation A
Рисунок 1. H.J. Bohm, et al. (1984). Theory. Methane dimer interaction energies for orientation A
Рисунок 1. Kolos, W., et al. (1980). Fitting. Methane dimer interaction energies for orientation A
Рисунок 1. Kolos, W., et al. (1980). Theory. Methane dimer interaction energies for orientation A
Рисунок 1. MM3corren. Fitting
Рисунок 1. MM3corren. Theory
Рисунок 1. MM3for. Fitting
Рисунок 1. MM3for. Theory
Рисунок 1. MP2
corr
Рисунок 1a. Calculated values. CO₂+He. nCO₂=4.62. Am, nHe=126 Am
Рисунок 1a. L. Ozanne, et al., (1995). Experiment. CO₂+He. nCO₂=4.62 Am, nHe=126 Am
Рисунок 1a. Lorentzian calculation. CO₂+He. nCO₂=4.62. Am, nHe=126 Am
Рисунок 1b. Calculated values. CO₂+He. nCO₂=4.61 Am, nHe=409 Am
Рисунок 1b. L.Ozanne, et al., (1995). Experiment. CO₂+He. nCO₂=4.61 Am, nHe=409 Am
Рисунок 1b. Lorentzian calculation. CO₂+He. nCO₂=4.61 Am, nHe=409 Am
Рисунок 1c. Calculated values. CO₂+He. nCO₂=4.66 Am, nHe=721 Am
Рисунок 1c. L.Ozanne, et al., (1995). Exp. nCO₂=4.66 Am, nHe=721 Am
Рисунок 1c. Lorentzian calculation. CO₂+He. nCO₂=4.66 Am, nHe=721 Am
Рисунок 2a. Calculated values. nCO₂=1.63 10-5 Am, nHe=130 Am
Рисунок 2a. L.Ozanne, et al., (1995). Experiment. nCO₂=1.63 10-5 Am, nHe=130 Am
Рисунок 2a. Lorentzian calculation. CO₂+He. nCO₂=1.63 10-5 Am, nHe=130 Am
Рисунок 2b. Calculated values. CO₂+He. 4.25 10-5 Am, nHe=261 Am
Рисунок 2b. L.Ozanne, et al., (1995). Experiment. CO₂+He. 4.25 10-5 Am, nHe=261 Am
Рисунок 2b. Lorentzian calculation. CO₂+He. 4.25 10-5 Am, nHe=261 Am
Рисунок 2c. Calculated values. CO₂+He. nCO₂=2.73 10-5 Am, nHe=727 Am
Рисунок 2c. L.Ozanne, et al., (1995). Experiment. CO₂+He. nCO₂=2.73 10-5 Am, nHe=727 Am
Рисунок 2c. Lorentzian calculation. CO₂+He. nCO₂=2.73 10-5 Am, nHe=727 Am
Таблица 2. Calculated absorption coefficient of CO₂. (2410-2480 cm⁻¹)
Таблица 2. Hartmann J.M., et al., (1991). Experiment. CO₂. (2410-2480 cm⁻¹)
Рисунок 10. Calculation. CKD continuum. S.A.Clough, et al. (1989)
Рисунок 10. Calculation. Van Vleck-Weisskopf line shape. J.H.Van Vleck et al. (1945)
Рисунок 10. Calculation. Zhevakin-Naumov line shape. S.A.Zhevakin et al. (1963)
Рисунок 10. Experiment, this work (140-260 GHz)
Рисунок 10. H.J.Liebe (1984, 1989). Calculation
Рисунок 9. Experiment, this work (150-240 GHz)
Рисунок 9. H.J. Liebe (1989)
Рисунок 9. J.H.Van Vleck et al. (1945). Calculation
Рисунок 9. Q.Ma et al. (1990)
Рисунок 9. S.A.Clough, et al. (1989). Calculation
Рисунок 9. S.A.Zhevakin et al. (1963). Calculation, Zhevakin-Naumov line shape.
Рисунок 1a
Рисунок 1b
Рисунок 1c
Рисунок 1d
Рисунок 1. Calculation CO2+Ar, 296 K, Jmax=108
Рисунок 1. Calculation CO2+Ar, 296 K, Jmax=40
Рисунок 1. Calculation CO2+Ar, 296 K, Jmax=60
Рисунок 1. Calculation CO2+Ar, 296 K, Jmax=80
Рисунок 1. J. Boissoles et al. (1989). Experiment CO2+Ar, 296 K
Рисунок 3. The line shape function calculation CO2+Ar, 296 K, Rosenkranz’ method
Рисунок 3. The line shape function calculation CO2+Ar, 296 K, with the frequency shift correction
Рисунок 2. Total continuum (experiment minus Clough continuum with plintus)
Рисунок 7a. S. A. Clough. (1995). N₂-broadened continuum coefficient. 296 K. CKD v2.1.
Рисунок 7a. . Burch D. E., et al. (1981). N₂-broadened continuum coefficient. 308 K
Рисунок 7a. Burch D.E., et al., (1981). N₂-broadened continuum coefficient. 353 K
Рисунок 7a. N₂-broadened continuum coefficient. 300 K. Ma & Tipping. (1995)
Рисунок 7a. N₂-broadened continuum. Impact calculation (local contribution, Van Vleck-Huber line shape)
Рисунок 7a. S.A. Clough S.A. (1995). N₂-broadened continuum coefficient. 296K. CKD v0
Рисунок 7a. This work. 296K. N₂-broadened continuum coefficient
Рисунок 7b. . Burch D. E., et al. (1981). N₂-broadened continuum coefficient. 308 K
Рисунок 7b. Burch D. E., et al. (1981). N₂-broadened continuum coefficient. 353K
Рисунок 7b. Clough S.A. (1995). N₂-broadened continuum coefficient. 296K. CKD v.0
Рисунок 7b. N₂-broadened continuum coefficient. 296K. CKD v.2.4, S. A. Clough S.A. (1995)
Рисунок 7b. N₂-broadened continuum coefficient. 296K. This work
Рисунок 7b. N₂-broadened continuum. Impact calculation (local contribution, Van Vleck-Huber line shape)
Рисунок 1a
Рисунок 1a
Рисунок 1b
Рисунок 1c
Рисунок 1d
Рисунок 1a
Рисунок 1. Normalized absorption coefficient (228K)
Рисунок 1. Normalized absorption coefficient (243K)
Рисунок 1. Normalized absorption coefficient (253K)
Рисунок 1. Normalized absorption coefficient (272K)
Рисунок 1. Normalized absorption coefficient (296K)
Рисунок 2. Normalized absorption coefficient (228K)
Рисунок 2. Normalized absorption coefficient (243K)
Рисунок 2. Normalized absorption coefficient (253K)
Рисунок 2. Normalized absorption coefficient (272K)
Рисунок 2. Normalized absorption coefficient (296K)
Рисунок 2. Basement component (plintus)
Рисунок 2. Far-wing component (beyond 25 cm⁻¹)
Рисунок 2. Near-wing component (within 25 cm⁻¹ – non-Lorentzian)
Рисунок 2. Total continuum (experiment minus Clough continuum with plintus)
Рисунок 5. D. E. Burch (1982) (308K, 1400-1900 cm⁻¹)
Рисунок 5. D. E. Burch (1982) (322K, 1850-2000 cm⁻¹)
Рисунок 5. Impact calculation (local contribution, Van vleck-Huber line shape)
Рисунок 5. R.H. Tipping, et al. (1995) (300K)
Рисунок 5. S.A. Clough, et al. (1995). CKD v0 (296 K)
Рисунок 5. S.A. Clough, et al. (1995). CKD v2.1 (296 K)
Рисунок 5. This work (296 K)
Рисунок 5a. D.E. Burch (1982, 308 K)
Рисунок 5a. Impact calculation (local contribution, Van Vleck-Huber line shape)
Рисунок 5a. S.A. Clough, CKD v0 (1995, 296K)
Рисунок 5a. S.A. Clough, CKD v2.1 (1995, 296K)
Рисунок 5a. This work (296 K)
Рисунок 6. D.E.Burch (322K, 1900-2020 cm⁻¹)
Рисунок 6. S.A. Clough, CKD 2.1. (296K)
Рисунок 6. This work (296 K)
Рисунок 8. S.A. Clough, CKD v0 (296K)
Рисунок 8. S.A. Clough, CKD v2.1 (296K)
Рисунок 8. This work (296 K)
Рисунок 8. Wide microwindows
Рисунок 1. ECS model applied with Eq. (13). CO₂+Ar. (6990-7015 cm⁻¹)
Рисунок 1. ECS model applied with Eq. (15). CO₂+Ar. (6990-7015 cm⁻¹)
Рисунок 1. Experiment, St Petersburg. CO₂+Ar. (6990-7015 cm⁻¹)
Рисунок 1. Experiment. Rennes spectrum. CO₂+Ar. (6990-7015 cm⁻¹)
Рисунок 1. Lorentzian model. CO₂+Ar. (6990-7015 cm⁻¹)
Рисунок 1. SCA model. CO₂+Ar. (6990-7015 cm⁻¹)
Рисунок 10a. Absorption coefficient of CO₂+Ar. ECS model, corrected individual lineshifts (6900-7000 cm⁻¹)
Рисунок 10a. Absorption coefficient of CO₂+Ar. Experiment. (6900-7000 cm⁻¹)
Рисунок 10b. Absorption coefficient of CO₂+Ar. ECS model, corrected individual lineshifts (6900-7000 cm⁻¹)
Рисунок 10b. Absorption coefficient of CO₂+Ar. Experiment. (6900-7000 cm⁻¹)
Рисунок 5. Calculated from the ESC model (6900-7000 cm⁻¹)
Рисунок 5. Calculated from the SCA model (6900-7000 cm⁻¹)
Рисунок 7a. Absorption coefficient of CO₂+Ar. ECS model. n1=4.78Am and n2=112.3Am (6900-7000 cm⁻¹)
Рисунок 7a. Absorption coefficient of CO₂+Ar. Experiment. n1 =4.78 Am and n2 = 112.3 Am (6900-7000 cm⁻¹)
Рисунок 7a. Absorption coefficient of CO₂+Ar. Lorentzian model. n1=4.78Am and n2=112.3Am (6900-7000 cm⁻¹)
Рисунок 7b. Absorption coefficient of CO₂+Ar. ECS model. 4.68Am, n2=169.4Am (6900-7000 cm⁻¹)
Рисунок 7b. Absorption coefficient of CO₂+Ar. Experiment. 4.68Am, n2=169.4Am (6900-7000 cm⁻¹)
Рисунок 7b. Absorption coefficient of CO₂+Ar. Lorentzian model. 4.68Am, n2=169.4Am (6900-7000 cm⁻¹)
Рисунок 9a. Absorption coefficient of CO₂+Ar. CSA model. n1 =4.78 Am, n2 = 112.3 Am (6900-7000 cm⁻¹)
Рисунок 9a. Absorption coefficient of CO₂+Ar. Experiment. n1 =4.78 Am, n2 = 112.3 Am (6900-7000 cm⁻¹)
Рисунок 9b. Absorption coefficient of CO₂+Ar. CSA model. n1 = 4.68 Am, n2 = 169.4 Am (6900-7000 cm⁻¹)
Рисунок 9b. Absorption coefficient of CO₂+Ar. Experiment. n1 = 4.68 Am, n2 = 169.4 Am (6900-7000 cm⁻¹)
Рисунок 10a. Absorption coefficient of CO₂+He. Experiment. P(2) line
Рисунок 10a. Absorption coefficient of CO₂+He. Experiment. P(4) line
Рисунок 10a. Absorption coefficient of CO₂+He. Lorentzian profile. P(2) line
Рисунок 10a. Absorption coefficient of CO₂+He. Lorentzian profile. P(4) line
Рисунок 10b. The ratio of experimental absorption coefficient to Lorentzian line. P(2)
Рисунок 10b. The ratio of experimental absorption coefficient to Lorentzian line. P(4)
Рисунок 11. The difference between alphaExp - alphaLor. alpha - absorption coefficient
Рисунок 11. The spectrum of CO₂ in He around 597.3 cm⁻¹. Experiment
Рисунок 11. The spectrum of CO₂ in He around 597.3 cm⁻¹. Lorentzian (without Q branch)
Рисунок 5a. Experiment. CO₂+Ar. The Q-branch at 720 cm⁻¹
Рисунок 5a. Lorentzian profile. CO₂+Ar. The Q-branch at 720 cm⁻¹
Рисунок 5b. The ratio of alphaExp/alphaLor
Рисунок 6a. Experiment. CO₂+He. The Q-branch at 720 cm⁻¹
Рисунок 6a. Lorentzian profile. CO₂+He. The Q-branch at 720 cm⁻¹
Рисунок 6b. The ratio of alphaExp/alphaLor
Рисунок 7a. Experiment. CO₂+He. The Q-branch at 618 cm⁻¹
Рисунок 7a. Lorentzian profile. CO₂+He. The Q-branch at 618 cm⁻¹
Рисунок 7b. The ratio of alphaExp/alphaLor
Рисунок 8. Experiment. CO₂+He. The Q-branch of v2 band. 663-673 cm⁻¹
Рисунок 8. Lorentzian fit. CO₂+He. The Q-branch of v2 band. 663-673 cm⁻¹
Рисунок 8. alphaExp-alphaLor. CO₂+He. The Q-branch of v2 band. 663-673 cm⁻¹
Рисунок 2a. Absorption coefficient. ECS model. P[CO₂]= 46 Torr., P[He] = 2.5 atm
Рисунок 2a. Absorption coefficient. Experiment. P[CO₂]= 46 Torr., P[He] = 2.5 atm
Рисунок 2a. Absorption coefficient. Lorentzian model. P[CO₂]= 46 Torr., P[He] = 2.5 atm
Рисунок 2b. Absorption coefficient. ECS model. P[CO₂] = 159 Torr, P[He] = 5 atm
Рисунок 2b. Absorption coefficient. ECS model. P[CO₂]= 159 Torr, P[He] = 5 atm
Рисунок 2b. Absorption coefficient. Experiment. P[CO₂] = 159 Torr, P[He] = 5 atm
Рисунок 2b. Absorption coefficient. Experiment. P[CO₂]= 159 Torr, P[He] = 5 atm
Рисунок 2b. Absorption coefficient. Lorentzian model. P[CO₂] = 159 Torr, P[He] = 5 atm
Рисунок 2b. Absorption coefficient. Lorentzian model. P[CO₂]= 159 Torr, P[He] = 5 atm
Рисунок 2. Absorption coefficient. ABC-shape
Рисунок 2. Absorption coefficient. Lorentz shape
Рисунок 2. V.M.Tarabukhin, et al. (1987). Absorption coefficient. Experiment
Рисунок 5. A. Margottin-Maclou, et al. (1992). Experiment
Рисунок 5. ABC-shape
Рисунок 5. Lorentz shape
Рисунок 4a. The observed spectrum
Рисунок 4b. Model spectrum
Рисунок 6a. The noncyclic (CO₂)₃ isomer - (CO₂)₂ + both (CO₂)₃ isomers model
Рисунок 6b. The noncyclic (CO₂)₃ isomer - noncyclic (CO₂)₃ model
Рисунок 6c. The noncyclic (CO₂)₃ isomer - (CO₂)₃ + cyclic (CO₂)₃ model
Рисунок 6d. Observed noncyclic (CO₂)₃ isomer
Рисунок 1. Experiment. Rennes spectrum
Рисунок 1. Experiment. St. Petersburg spectrum
Рисунок 2. Normalized absorption coefficient. Orsay-1 values
Рисунок 2. Normalized absorption coefficient. Orsay-2 values
Рисунок 2. Normalized absorption coefficient. St. Petersburg values
Рисунок 2. Normalized absorption coefficient.Experimental values from Burch, et al. (1969)
Рисунок 4. D. E. Burch, et al. (1989). Absorption coefficient. Calculation
Рисунок 4. Experimental values
Рисунок 4. M. Y. Perrin, et al. (1989). Absorption coefficient. Calculation
Рисунок 5. Absorption coefficient. CO₂. Calculation with the chi factor of Table 2
Рисунок 5. Absorption coefficient. CO₂. Calculation of the far wings of the v₁+v₃ band
Рисунок 5. Absorption coefficient. CO₂. Calculation with the chi factor of Table 2
Рисунок 5. Absorption coefficient. CO₂. Experimental values
Рисунок 6. Absorption coefficient. CO₂. Calculation with HITRAN-92
Рисунок 6. Absorption coefficient. CO₂. Calculation with HITRAN-95
Рисунок 6. Absorption coefficient. CO₂. Experimental values (Rennes data) corrected for far wings
Рисунок 7a. Absorption coefficient. CO₂. Calculation contribution of the wings
Рисунок 7a. Absorption coefficient. CO₂. Calculation with HITEMP
Рисунок 7a. Absorption coefficient. CO₂. Experimental values
Рисунок 7b. CO₂. Relative difference between observed and computed spectra
Рисунок 9. Absorption coefficien. CO₂. Contribution of local collision-induced transitions
Рисунок 9. Absorption coefficien. CO₂. Corrected experimental values
Рисунок 9. Absorption coefficien. CO₂. Experimental values
Рисунок 6. N₂+Ar (78K)
Рисунок 6. N₂+Ar (89K)
Рисунок 6. N₂+N₂ (78K)
Рисунок 6. N₂+N₂ (89K)
Рисунок 6. Ne+N₂ (78K)
Рисунок 2a. Lorentzian model. 10 bar
Рисунок 2a. Meadows and Crisp model. 10 bar
Рисунок 2a. Perrin, M.Y. , et al. (1989). Extrapolation of Fukabori, M., et al. (1986) model. 10 bar
Рисунок 2a. Pollack, J. B., et al., (1993). Pollack, J. B., et al., model. 10 bar
Рисунок 2b. Lorentzian model. 90 bar
Рисунок 2b. Meadows and Crisp model. 90 bar
Рисунок 2b. Perrin M.Y.. et al., (1989)., extrapolation of Fukabori et al., (1986) model. 90 bar
Рисунок 2b. Pollack, J. B., et al., (1993). Pollack, J. B., et al., model. 90 bar
Рисунок 1a
Рисунок 1a
Рисунок 1a
Рисунок 2a
Рисунок 2b
Рисунок 3. A.M. Laufer et al. (1965)
Рисунок 3. Experimental data
Рисунок 3. K. Watanabe et al. (1953)
Рисунок 3. W.F. Chan, et al. (1986)
Рисунок 3. W.F.Chan, et al. (1993)
Рисунок 2a-1.03atm
Рисунок 2b-0.85atm
Рисунок 2c-0.68atm
Рисунок 4. BCBC model (233K)
Рисунок 4. BCBC model (300K)
Рисунок 4. BCBC model (400K)
Рисунок 4. Dagg, I. (233K)
Рисунок 4. Dagg, I. (300K)
Рисунок 4. Dagg, I. (400K)
Рисунок 4. Ho, W., et al. (1971) (233K)
Рисунок 4. Ho, W., et al. (1971) (300K)
Рисунок 10a. Normalized coefficient of absorption. Computed with the ECS model (n’Ar=109.3 Am)
Рисунок 10a. Normalized coefficient of absorption. Computed with the ECS model (n’Ar=375.1Am)
Рисунок 10a. Normalized coefficient of absorption. Computed with the ECS model (n’Ar=732.5 Am)
Рисунок 10a. Normalized coefficient of absorption. Experiment (n’Ar=109.3 Am)
Рисунок 10a. Normalized coefficient of absorption. Experiment (n’Ar=375.1 Am)
Рисунок 10a. Normalized coefficient of absorption. Experiment (n’Ar=732.5Am)
Рисунок 10b. Normalized coefficient of absorption. Computed with the ECS model (n’Ar=112.9 Am)
Рисунок 10b. Normalized coefficient of absorption. Computed with the ECS model (n’Ar=342.4 Am)
Рисунок 10b. Normalized coefficient of absorption. Computed with the ECS model (n’Ar=765.6 Am)
Рисунок 10b. Normalized coefficient of absorption. Experiment (n’Ar=112.9 Am)
Рисунок 10b. Normalized coefficient of absorption. Experiment (n’Ar=342.4 Am)
Рисунок 10b. Normalized coefficient of absorption. Experiment (n’Ar=765.6 Am)
Таблица 2a. Binary absorption coefficient. Experiment (this work) (2475-2579 cm-1))
Таблица 2a. Boissoles J., et al., (1989). Binary absorption coefficient. Experiment (2475-2579 cm-1))
Таблица 2b. Density effect parameter c CO₂-Ar. This work (2475-2579 cm⁻¹))
Рисунок 3a. Calculated absorption coefficient with the ECS model. nCO₂=3.26 Am and nAr=283.1 Am
Рисунок 3a. Measured absorption coefficient. nCO₂=3.26 Am and nAr=283.1 Am
Рисунок 3b. Calculated absorption coefficient with the ECS model. nCO₂=3.26 Am and nAr=545.5 Am
Рисунок 3b. Measured absorption coefficient. nCO₂=3.26 Am and nAr=545.5 Am
Рисунок 6. Band wing parameters. Calculation the Lorentzian model
Рисунок 6. Band wing parameters. Calculation the ECS model
Рисунок 6. Band wing parameters. Calculation the impact/quasi-static interpolation model
Рисунок 6. Band wing parameters. Experiment Rennes
Рисунок 6. Filippov N. N., et al., (1996). Band wing parameters. Experiment
Рисунок 7a. Band wing parameters. Calculation, the ECS impact model (2350-2550 cm⁻¹)
Рисунок 7a. Band wing parameters. Calculation, the Lorentzian model (2350-2550 cm⁻¹)
Рисунок 7a. Band wing parameters. Calculation, the impact/quasi-static interpolation model (2350-2550 cm⁻¹)
Рисунок 7a. Band wing parameters. Experiment this work (2350-2550 cm⁻¹)
Рисунок 7a. Boissoles J., et al., (1989). Band wing parameters. Experiment. (2350-2550 cm⁻¹)
Рисунок 7a. Bulanin M.O., et al., (1984). Band wing parameters. Experiment. (2350-2550 cm⁻¹)
Рисунок 7b. Band wing parameters. Calculation, the ECS impact model (2390-2460 cm⁻¹)
Рисунок 7b. Band wing parameters. Calculation, the impact/quasi-static interpolation model (2390-2460 cm⁻¹)
Рисунок 7b. Boissoles J., et al., (1989). Band wing parameters. Experiment (2390-2460 cm⁻¹)
Рисунок 7b. Bulanin M.O., et al., (1984). Band wing parameters. Experiment (2390-2460 cm⁻¹)
Рисунок 1. Infrared collision-induced absorption by O₂ (193K)
Рисунок 1. Infrared collision-induced absorption by O₂ (213K)
Рисунок 1. Infrared collision-induced absorption by O₂ (233K)
Рисунок 1. Infrared collision-induced absorption by O₂ (253K)
Рисунок 1. Infrared collision-induced absorption by O₂ (273K)
Рисунок 1. Infrared collision-induced absorption by O₂ (293K)
Рисунок 1. Absorption coefficient of CO₂. Calculation with Lorentz profile (6980-7060 cm⁻¹)
Рисунок 1. Absorption coefficient of CO₂. Calculation with a line mixing (6980-7060 cm⁻¹)
Рисунок 1. Absorption coefficient of CO₂. Present experiment (6980-7060 cm⁻¹)
Рисунок 1. Yu. I. Baranov, et al., (1981). Absorption coefficient of CO₂.Present experiment (6980-7060 cm⁻¹)
Рисунок 2. Difference between the experimental coefficients and the ones calculated from Eq. (10)
Рисунок 2. Frequency of v₃+2v₃ double transition of CO₂, 7022.47 cm⁻¹
Рисунок 2. M.V.Tonkov, et al., (1996). Profile of a S-S collision-induced band of CO₂
Рисунок 5a. Calculated transmission. Calculation LM-R model. Spectra 1 (Table 1)
Рисунок 5a. Calculated transmission. Calculation LM-S model. Spectra 1 (Table 1)
Рисунок 5a. Measured transmission. Experiment. Spectra 1 (Table 1)
Рисунок 5b. Calculated transmission. Calculation LM-R model, spectra 84 (Table 1)
Рисунок 5b. Calculated transmission. Calculation LM-S model, spectra 84 (Table 1)
Рисунок 5b. Measured transmission. Experiment. Spectra 84 (Table 1)
Рисунок 6a. Deviations between measured and computed (LM-R model) transmissions. Spectra 1 (Table 1)
Рисунок 6a. Deviations between measured and computed (LM-S-model) transmissions. Spectra 1 (Table 1)
Рисунок 6a. Deviations between measured and computed (Vgt model) transmissions. Spectra 1 (Table 1)
Рисунок 6b. Deviations between measured and computed (LM-R model) transmissions. Spectra 84 (Table 1)
Рисунок 6b. Deviations between measured and computed (LM-S model) transmissions. Spectra 84 (Table 1)
Рисунок 6b. Deviations between measured and computed (Vgt model) transmissions. Spectra 84 (Table 1)
Рисунок 1a
Рисунок 1b
Рисунок 1c
Рисунок 1a
Рисунок 10. Absorption coefficient. CO₂. Lorentzian calculation (2400–2580 cm⁻¹, T=296K)
Рисунок 10. Absorption coefficient. CO₂. Present calculation (2400–2580 cm⁻¹, T=296K)
Рисунок 10. R. Le Doucen, et al., (1985). Absorption coefficient. CO₂. Experiment (2400–2580 cm⁻¹, T=296K)
Рисунок 11. Absorption coefficient. CO₂. Lorentzian calculation (2400–2580 cm⁻¹, T=218K)
Рисунок 11. Absorption coefficient. CO₂. Present calculation (2400–2580 cm⁻¹, T=218K)
Рисунок 11. R. Le Doucen, et al., (1985). Absorption coefficient. CO₂. Experiment (2400–2580 cm⁻¹, T=218K)
Рисунок 12. Absorption coefficient. CO₂+N₂. Lorentzian calculation (2400–2580 cm⁻¹, T=296K)
Рисунок 12. Absorption coefficient. CO₂+N₂. Present calculation (2400–2580 cm⁻¹, T=296K)
Рисунок 12. R. Le Doucen, et al., (1985). Absorption coefficient. CO₂+N₂.Experiment (2400–2580 cm⁻¹, T=296K)
Рисунок 13. Absorption. CO₂+Ar. The present formalism
Рисунок 13. Q. Ma, et al., (1996). Absorption. CO₂+Ar. Cut-off value jmax=108
Рисунок 13. Q. Ma, et al., (1996). Absorption. CO₂+Ar. Cut-off value jmax=40
Рисунок 13. Q. Ma, et al., (1996). Absorption. CO₂+Ar. Cut-off value jmax=50
Рисунок 13. Q. Ma, et al., (1996). Absorption. CO₂+Ar. cut-off value jmax=60
Рисунок 10a
Рисунок 10b. O₄ visible bands (1000 hPa)
Рисунок 10c
Рисунок 10d
Рисунок 5a. D₂O cluster spectra (0.68 atm)
Рисунок 5a. D₂O cluster spectra (1.02 atm)
Рисунок 5a. D₂O cluster spectra (1.7 atm)
Рисунок 5a. D₂O cluster spectra (2.38 atm)
Рисунок 5a. D₂O cluster spectra (3.06 atm)
Рисунок 5b. D_2O cluster spectra. Pressure=35 psi. n1
Рисунок 5b. D_2O cluster spectra. Pressure=35 psi. n2
Рисунок 5b. D_2O cluster spectra. Pressure=35 psi. n3
Рисунок 5b. D_2O cluster spectra. Pressure=35 psi. n4
Рисунок 5a. Absorption in the wing computed with changed values of tau_J^-1. CO2+He
Рисунок 5a. Absorption in the wing computed with our value tay_J^-1. CO2+He
Рисунок 5a. Experiment. CO2+He
Рисунок 5b. Absorption in the wing computed with changed values of tau_J^-1
Рисунок 5b. Absorption in the wing computed with our values of tau_J^-1
Рисунок 5b. Absorption in the wing. Experiment CO2+Ar
Рисунок 1. Bauer A., et al. (1993) (153GHz)
Рисунок 1. Bauer, A., et al (1995) (239GHz)
Рисунок 1. Godon M., et al. [1992) (214GHz)
Рисунок 1. Liebe H.J. (1984) (138 GHz)
Рисунок 1. Liebe H.J., et al (1987) (138GHz)
Рисунок 1. Model calculations from Clough et al. (1989) (CKD₂.1)
Рисунок 1. Model calculations from Liebe and Layton (1987) (MPM87)
Рисунок 1. Model calculations from Liebe et al. (1993) (MPM93)
Рисунок 2. Experiment
Рисунок 2. Метод ВВВ
Рисунок 2. Сумма вкладов отдельных линий
Рисунок 1a
Рисунок 1b
Рисунок 4D
Рисунок 4M
Рисунок 4T
Рисунок 5. D.E.Burch (1981) (296K, 600-1200 cm⁻¹)
Рисунок 5. Present calculation (300-1100 cm⁻¹)
Рисунок 6. D.E.Burch (1981), D.E.Burch et al. (1979), D.E.Burch et al. (1984), D.E.Burch (1985)
Рисунок 6. Present calculation (T=430K, 300-1100 cm⁻¹)
Рисунок 8. D.E.Burch (1981), D.E.Burch et al. (1979), D.E.Burch et al. (1984), D.E.Burch (1985)
Рисунок 8. Present calculation (T=296K, 300–1100 cm⁻¹)
Рисунок 9. D.E.Burch (1981), D.E.Burch et al. (1979), D.E.Burch et al. (1984), D.E.Burch (1985)
Рисунок 9. Present calculation (T=430K, 300-1100 cm⁻¹)
Рисунок 1a
Рисунок 1b
Рисунок 1c
Рисунок 1d
Рисунок 6. B
O
₂
+N
₂. (296K, 7400-7850 cm⁻¹)
Рисунок 6. B
O
₂
+air
. (296K, 7400-7850 cm⁻¹)
Рисунок 6. B
O
₂. (296K, 7400-7850 cm⁻¹)
Рисунок 2. Theoretical far-wing line shape. T=218 K
Рисунок 2. Theoretical far-wing line shape. T=291 K
Рисунок 2. Theoretical far-wing line shape. T=414 K
Рисунок 2. Theoretical far-wing line shape. T=534 K
Рисунок 2. Theoretical far-wing line shape. T=627 K
Рисунок 2. Theoretical far-wing line shape. T=751 K
Рисунок 3a. Calculation CO₂+CO₂ absorption coefficient. (2400–2580 cm⁻¹, T=296 K)
Рисунок 3a. Lorentzian calculation CO₂+CO₂ absorption coefficient. (2400–2580 cm⁻¹, T=296 K)
Рисунок 3a. R. Le Doucen, et al., (1985). CO₂+CO₂. Absorption coefficient. (2400–2580 cm⁻¹, T=296 K)
Рисунок 3b. Calculation CO₂+CO₂ absorption coefficient. (2400–2580 cm⁻¹, T=296 K)
Рисунок 3b. Lorentzian calculation CO₂+CO₂ absorption coefficient. (2400–2580 cm⁻¹, T=218 K)
Рисунок 3b. R. Le Doucen, (1985). CO₂+CO₂ absorption coefficient. (2400–2580 cm⁻¹, T=296 K)
Рисунок 4a. Calculation CO₂+CO₂ absorption coefficient. (2400–2580 cm⁻¹, T=291 K)
Рисунок 4a. J.-M. Hartmann, et al., (1989). Experiment [16] (2400–2580 cm⁻¹, T=291 K)
Рисунок 4a. Lorentzian calculation (2400–2580 cm⁻¹, T=291 K)
Рисунок 4b. Calculation CO₂+CO₂ absorption coefficient. (2400–2580 cm⁻¹, T=414 K)
Рисунок 4b. J.-M. Hartmann, et al., (1989). Experiment [16] (2400–2580 cm⁻¹, T=414 K)
Рисунок 4b. Lorentzian calculation. (2400–2580 cm⁻¹, T=414 K)
Рисунок 4c. Calculation CO₂+CO₂ absorption coefficient. (2400–2580 cm⁻¹, T=534 K)
Рисунок 4c. J.-M. Hartmann, et al., (1989). Experiment (2400–2580 cm⁻¹, T=534 K)
Рисунок 4c. Lorentzian calculation (2400–2580 cm⁻¹, T=534 K)
Рисунок 4d. Calculation CO₂+CO₂ absorption coefficient, (2400–2580 cm⁻¹, T=627 K)
Рисунок 4d. J.-M. Hartmann, et al., (1989). Experiment (2400–2580 cm⁻¹, T=627 K)
Рисунок 4d. Lorentzian calculation (2400–2580 cm⁻¹, T=627 K)
Рисунок 4e. Calculation CO₂+CO₂ absorption coefficient, (2400–2580 cm⁻¹, T=751 K)
Рисунок 4e. J.-M. Hartmann, et al., (1989). Experiment (2400–2580 cm⁻¹, T=751 K)
Рисунок 4e. Lorentzian calculation (2400–2580 cm⁻¹, T=751 K)
Рисунок 5. (O₂)₂ collision-induced absorption cross section
Рисунок 5. The skewed Voigt profiles fitted to the data
Рисунок 1. Observed spectrum of the CH₄-H₂ accompanying the S₀(0) pure rotational transition of H₂
Рисунок 2. FTIS spectrum (97K, 1311.0-1311.5 cm⁻¹)
Рисунок 2. R(0) transition in the v₄ fundamental band of CH₄
Рисунок 2. Spectra of the CH₄-H₂ observed by diode laser techniques (97K, 1311.0-1311.5 cm⁻¹)
Рисунок 3. Observed diode laser spectra of the CH₄-H₂ complex
Рисунок 3. Simulated spectra of the CH₄-H₂ complex
Рисунок 4. Observed FTIR spectra of the CH₄-H₂ complex
Рисунок 4. Simulated spectra of the CH₄-H₂ complex
Рисунок 1. CIA contribution
Рисунок 1. Infrared absorption spectrum in the v₁, 2v₂ region
Рисунок 2. Peaks (1281.0, 1284.75, 1289.0 cm⁻¹)
Рисунок 2. Peaks (1383.75, 1387.75, 1391.75 cm⁻¹)
Рисунок 1a
Рисунок 1b
Рисунок 1c
Рисунок 1d
Рисунок 1e
Рисунок 1f
Рисунок 1g
Рисунок 1h
Рисунок 1i
Рисунок 1j
Рисунок 1k
Рисунок 8. D.E.Burch (1981), D.E.Burch et al. (1979), D.E.Burch et al. (1984), D.E.Burch (1985)
Рисунок 8. Present calculation (300-1000 cm⁻¹)
Рисунок 9. D.E.Burch (1981), D.E.Burch et al. (1979), D.E.Burch et al. (1984), D.E.Burch (1985)
Рисунок 9. H₂O + N₂. Present calculation (430K, 400-700 cm⁻¹)
Рисунок 1. Bauer A., et al. (1991) (190GHz)
Рисунок 1. Bauer A., et al. (1993) (153GHz)
Рисунок 1. Bauer A., et al. (1995) (239 GHz)
Рисунок 1. Fitting of these points (153 GHz)
Рисунок 1. Fitting of these points (190 GHz)
Рисунок 1. Fitting of these points (239 GHz)
Рисунок 1. Simultaneous fitting of all points (153 GHz)
Рисунок 1. Simultaneous fitting of all points (190 GHz)
Рисунок 1. Simultaneous fitting of all points (239 GHz)
Рисунок 3. Bauer A., et al. (1991) (190 GHz)
Рисунок 3. Bauer A., et al. (1995) (239 GHz)
Рисунок 3. This work. Calculation (190 GHz)
Рисунок 3. This work. Calculation (239 GHz)
Рисунок 3a. 4
Рисунок 3a. Aref'ev V.N. (1989). 10P(20)
Рисунок 3a. Hinderling J., et al. (1987). 10P(20)
Рисунок 3a. Hinderling J., et al. (1987). 10P(24)
Рисунок 1a
Рисунок 8. v₃. CO₂/Ar = 1/10 000
Рисунок 4. (v₁+v₃) and (2v₂+v₃) Fermi resonance. CO₂/Ar=1/2000
Рисунок 4. (v₁+v₃) and (2v₂+v₃) Fermi resonance. CO₂/N₂=1/2000
Рисунок 5. v₃ of CO₂. Time lapse: t = 0
Рисунок 5. v₃ of CO₂. Time lapse: t = 10 min
Рисунок 5. v₃ of CO₂. Time lapse: t = 20 min
Рисунок 5. v₃ of CO₂. Time lapse:t=30 min
Рисунок 5. v₃ of CO₂. Time lapse:t=45 min
Рисунок 5a. v₃. ¹³CO₂/Ar=0.0001 (deposition 20K)
Рисунок 5a. v₃. ¹³CO₂/Ar=0.0001 (deposition 30K)
Рисунок 2. B. Mate, et al. (2000)
Рисунок 2. The simulated spectrum
Рисунок 2. The stick spectrum of O₂
Рисунок 6a
Рисунок 6b
Рисунок 1. Lorentz profiles
Рисунок 1. Spectrum (CO₂)₂
Рисунок 1. Yu.I.Baranov et al. (1999)
Рисунок 3. The experimental values
Рисунок 3. The calculated (CO₂)₂ spectrum
Рисунок 3. The spectral profile
Рисунок 3a. The calculated (CO₂)₂ spectrum
Рисунок 3a. The experimental spectrum
Рисунок 1. Вода. СА
Рисунок 2. Вода. BAX
Рисунок 7. O₂ (243K)
Рисунок 7. O₂+Ar (267K)
Рисунок 7. O₂+N₂ (243K)
Рисунок 7. The calculated stick spectrum of pure O₂
Рисунок 1a
Рисунок 3. A. A. Vigasin, et al. (1996, 1997). Typical CARS
Рисунок 3. a1-40
Рисунок 3. a1
Рисунок 3a. A. A. Vigasin, et al. (1996, 1997)
Рисунок 3a. b-1
Рисунок 3a. b
Рисунок 4. The present anharmonic calculations
Рисунок 4. Y.I. Baranov, et al. (1999), A. A. Vigasin (2000). The dimer spectrum retrieved from the CIA recording
Рисунок 5. The calculated absorption spectrum for (CO2)2
Рисунок 3. Spectral width (15 cm⁻¹)
Рисунок 3. Spectral width (200 cm⁻¹)
Рисунок 3. Spectral width (40 cm⁻¹)
Рисунок 1a
Рисунок 2. v₃. Ar/H₂¹⁶O = 800 (10K)
Рисунок 2. v₃. Ar/H₂¹⁶O = 800 (25K)
Рисунок 3. 2v₂. Ar/H₂¹⁶O = 80 (10K)
Рисунок 3. 2v₂. Ar/H₂¹⁶O = 80 (20K)
Рисунок 3. 2v₂. Ar/H₂¹⁶O = 800 (25K)
Рисунок 4. v₂+v₃. Ar/H₂¹⁶O = 100 (10K)
Рисунок 4. v₂+v₃. Ar/H₂¹⁶O = 100 (20K)
Рисунок 4. v₂+v₃. Ar/H₂¹⁶O = 1500 (10K)
Рисунок 5. v₁+v₂. Ar/H₂¹⁶O = 100 (10K)
Рисунок 5. v₁+v₂. Ar/H₂¹⁶O = 20 (10K)
Рисунок 1. H₂O/N₂ molar ratio = 1.2/100
Рисунок 1. H₂O/N₂ molar ratio = 7/100
Рисунок 2. H₂O/N₂ = 1/100
Рисунок 2. H₂O/N₂ = 1/300
Рисунок 2. H₂O/N₂ =7/100
Рисунок 3. CRDS spectra of (O₂)₂ (2 amagat) (14500-17000 cm⁻¹)
Рисунок 3. CRDS spectra of (O₂)₂ (4 amagat) (14500-17000 cm⁻¹)
Рисунок 3. CRDS spectra of (O₂)₂ (8 amagat) (14500-17000 cm⁻¹)
Рисунок 3a. CRDS spectra of (O₂)₂ (2 Amagat)
Рисунок 3a. CRDS spectra of (O₂)₂ (4 Amagat)
Рисунок 3a. CRDS spectra of (O₂)₂ (8 Amagat)
Рисунок 10. Corrected to cc-pVQZ basic set. Fitting
Рисунок 10. Corrected to cc-pVQZ basic set
Рисунок 10. Fitting. MP2/6-31++G(2d,2p)
Рисунок 10. MP2/6-31++G(2d,2p). Ab initio
Рисунок 2a. CO2+CO2, T=200 K
Рисунок 2a. CO2+CO2, T=273 K
Рисунок 2a. CO2+CO2, T=700 K
Рисунок 2b. Absorption spectrum. CO2+He, T=200 K
Рисунок 2b. Absorption spectrum. CO2+He, T=273 K
Рисунок 2b. Absorption spectrum. CO2+He, T=700 K
Рисунок 4. CO2+Ar. Calculation
Рисунок 4. CO2+He. Calculation
Рисунок 4. CO2+Ne. Calculation
Рисунок 4. CO2+Xe. Calculation
Рисунок 4. Dokuchaev A.B., et al. (1985). CO2+Ar. Experiment
Рисунок 4. Dokuchaev A.B., et al. (1985). CO2+H2. Experiment
Рисунок 4. Dokuchaev A.B., et al. (1985). CO2+He. Experiment
Рисунок 4. Dokuchaev A.B., et al. (1985). CO2+N2. Experiment
Рисунок 4. Dokuchaev A.B., et al. (1985). CO2+Ne. Experiment
Рисунок 4. Dokuchaev A.B., et al. (1985). CO2+Xe. Experiment
Рисунок 6. Calculation. P=14.6 atm
Рисунок 6. Calculation. P=2 atm
Рисунок 6. Calculation. Лорентциан (300)
Рисунок 6. D.E. Burch, et al. (1969). Experiment
Таблица 1. z, x((N2)2) %
Таблица 1. z, x((O2)2) %
Таблица 1. z, x(N2+O2) %
Рисунок 4. Mean of previos measurements
Рисунок 4. Present experiment
Рисунок 4. Q. Ma, et al (1999)
Рисунок 4. R. E. Roberts, et al. (1976). RSB model
Рисунок 4. S.A. Clough, et al. (1989). CKD 2.4 calculation
Рисунок 5. Experiment, present and [18-20]
Рисунок 5. HITRAN00
Рисунок 5. MMHIT00-A
Рисунок 5. MMHIT00-B
Рисунок 5. MPM93
Рисунок 5. R98
Рисунок 6. Experiment, this work and [18-21]
Рисунок 6. HITRAN00
Рисунок 6. MMHIT00-A
Рисунок 6. MMHIT00-B
Рисунок 6. MPM93
Рисунок 6. R98
Рисунок 4. Burch et al. (1979, 1981, 1984) (296K, 300–1100 cm⁻¹)
Рисунок 4. J. G. Cormier, et al. (2002) (296K, 300–1100 cm⁻¹)
Рисунок 4. The calculated self-broadened absorption coefficient (296K, 300–1100 cm⁻¹)
Рисунок 8. The self-broadened absorption coefficient calculated for T=220K
Рисунок 8. The self-broadened absorption coefficient calculated for T=230K
Рисунок 8. The self-broadened absorption coefficient calculated for T=240K
Рисунок 8. The self-broadened absorption coefficient calculated for T=250K
Рисунок 8. The self-broadened absorption coefficient calculated for T=260K
Рисунок 8. The self-broadened absorption coefficient calculated for T=270K
Рисунок 8. The self-broadened absorption coefficient calculated for T=280K
Рисунок 8. The self-broadened absorption coefficient calculated for T=290K
Рисунок 8. The self-broadened absorption coefficient calculated for T=300K
Рисунок 8. The self-broadened absorption coefficient calculated for T=310K
Рисунок 8. The self-broadened absorption coefficient calculated for T=320K
Рисунок 8. The self-broadened absorption coefficient calculated for T=330K
Рисунок 6. A. Bauer, et al. (1992, 1993, 1995, 1996, 2002)
Рисунок 6. MPM89 model
Рисунок 6. MPM93 model
Рисунок 7. A. Bauer, et al. (1992, 1993, 1995, 1996, 2002)
Рисунок 7. MPM89 model
Рисунок 7. MPM93 model
Рисунок 7. The calculated H₂O+N₂ millimeter wave continuum (330K, 0-500 cm⁻¹)
Рисунок 8. MPM89 model
Рисунок 8. MPM93 model
Рисунок 8. The calculated H₂O+N₂ millimeter wave continuum (270K, 0-500 cm⁻¹)
Рисунок 1. Model base CIA pedestals
Рисунок 1. The numerical purification from the FTIR spectrum
Рисунок 1. True dimers
Рисунок 2. Experiment. The width of high-frequency component
Рисунок 2. Experiment. The width of low-frequency component
Рисунок 2. Fitting. The width of high-frequency component
Рисунок 2. Fitting. The width of low-frequency component
Рисунок 2a. Experiment The high-frequency component
Рисунок 2a. Experiment. The low-frequency component
Рисунок 2a. Fitting. The high-frequency component
Рисунок 2a. Fitting. The low-frequency component
Рисунок 3. This work
Рисунок 3. L.Mannik et al. (1972)
Рисунок 3. T.G.Adiks (1984)
Рисунок 4. Fiitting (Unbound pairs)
Рисунок 4. Fitting (Bound dimer)
Рисунок 4. The true dimer spectrum
Рисунок 4. Unbound pairs CIA spectrum
Рисунок 6. Calculations using PES#1
Рисунок 6. Calculations using PES#2
Рисунок 6. Spectral decomposition of our taken CIA profiles
Рисунок 1a
Рисунок 1b
Рисунок 1c
Рисунок 1d
Рисунок 1a
Рисунок 1b
Рисунок 1c
Рисунок 1d
Рисунок 1e
Рисунок 1f
Рисунок 2
Рисунок 1a
Рисунок 1b
Рисунок 1c
Рисунок 1d
Рисунок 1a
Рисунок 1b
Рисунок 1. Calculation, CB=0.80
Рисунок 1. Calculation, CB=0.85
Рисунок 1. Calculation, CB=0.90
Рисунок 1. Calculation, without line mixing
Рисунок 1. Experimental data
Рисунок 2. ABC-calculation
Рисунок 2. Calculation, Voigt lines
Рисунок 2. Experimental data
Рисунок 3. Calculation, ABC
Рисунок 3. Calculation, LOR
Рисунок 3. Calculation, ROZ
Рисунок 3. Experimental data
Рисунок 98. Experiment
Рисунок 2. Density (0.009 g.cm⁻³)
Рисунок 2. Density (0.018 g cm⁻³)
Рисунок 2. Density (0.03 g.cm⁻³)
Рисунок 2. Density (0.04 g.cm⁻³)
Рисунок 2. Density (0.054 g.cm⁻³)
Рисунок 2. Density (0.063 g.cm⁻³)
Рисунок 2. Density (0.076 g cm⁻³)
Рисунок 2. Density (0.096 g.cm⁻³)
Рисунок 2a. Dimer
Рисунок 2a. Monomer
Рисунок 2a. Tetramer
Рисунок 2a. Trimer
Рисунок 2a.
Рисунок 3. Density (0.12 g cm⁻³)
Рисунок 3. Density (0.2 g.cm⁻³)
Рисунок 3. Density (0.27 g.cm⁻³)
Рисунок 3. Density (0.32 g.cm⁻³)
Рисунок 3. Density (0.43 g.cm⁻³)
Рисунок 3a-asymp
Рисунок 3a-dimer
Рисунок 3a-monomer
Рисунок 3a-tetramer
Рисунок 3a-trimer
Рисунок 3. Naus, H. et al. (1999)
Рисунок 3. Spectrum O₂ (132K)
Рисунок 3. Spectrum O₂ (192.5K)
Рисунок 3. Spectrum O₂ (296K)
Рисунок 3.Asymptotic (132K)
Рисунок 3.Asymptotic (192.5K)
Рисунок 3.Asymptotic (296K)
Рисунок 2a
Рисунок 3. A. Bauer, et al. (1991, 1992, 1993, 1995, 2002)
Рисунок 3. MPM89 model
Рисунок 3. MPM93 model
Рисунок 3. The calculated H₂O+N₂ millimeter wave continuum (296K, 0-500 cm⁻¹)
Рисунок 4. A. Bauer, et al. (1991, 1992, 1993, 1995, 2002)
Рисунок 4. MPM89 model
Рисунок 4. MPM93 model
Рисунок 4. The calculated H₂O+N₂ millimeter wave continuum (330K, 0-500 cm⁻¹)
Рисунок 5. MPM89 model
Рисунок 5. MPM93 model
Рисунок 5. The calculated H₂O+N₂ millimeter wave continuum (270K, 0-500 cm⁻¹)
Рисунок 4. CKD 0 model (1989). (296K, 700-1400 cm⁻¹)
Рисунок 4. CKD 2.2 model (1996). (296K, 700-1400 cm⁻¹))
Рисунок 4. Clough S.A., et al. (1989). (296K, 600-1800 cm⁻¹)
Рисунок 4. D.A.Gryvnak, et al. (1976)
Рисунок 4. Ma, Q., et al. (1991). (296K, 700-1400 cm⁻¹)
Рисунок 4. Roberts R.E., et al. (1976). (1100-1350 cm⁻¹)
Рисунок 4. This work computation
Рисунок 1a
Рисунок 1b
Рисунок 1c
Рисунок 1d
Рисунок 2. The absolute cross-sections of H₂O
Рисунок 2. The cross-sections of H₂O
Рисунок 3. K.Yoshino et al. (1995, 1996)
Рисунок 3. W.F. Chan, et al. (1993)
Рисунок 3c
Рисунок 4
Рисунок 1a
Рисунок 2. Fitting
Рисунок 2. Measured points
Рисунок 10. CDSD-1000 a high-temperature version
Рисунок 10. HITEMP the high-resolution databank
Рисунок 10. M.F. Modest, et al. (2002). Experiment
Рисунок 13. CDSD-1000 a high-temperature versio
Рисунок 13. HITEMP the high-resolution databank
Рисунок 13. M.F. Modest, et al. (2002). Experiment
Рисунок 4. CDSD-1000 a high-temperature version
Рисунок 4. HITEMP the high-resolution databank
Рисунок 4. Scutaru D, et al. (1993). Experiment
Рисунок 6. CDSD-1000 a high-temperature version
Рисунок 6. HITEMP the high-resolution databank
Рисунок 6. Parker R.A., et al. (1992). Experiment
Рисунок 8. CDSD-x_CO2=100%
Рисунок 8. CDSD-x_CO2=99%, x_CO=1%
Рисунок 8. HITEMP x_CO2=100%
Рисунок 8. Modest M.F., et al. (2002). Experiment
Рисунок 1. (1.1 atm)
Рисунок 1. (2.0 atm)
Рисунок 1. (3.0 atm)
Рисунок 1. (4.1 atm)
Рисунок 1. (5.0 atm)
Рисунок 1. (6.1 atm)
Рисунок 1. (7.1 atm)
Рисунок 1. (8.1 atm)
Рисунок 2. IEM (211K)
Рисунок 2. NIST (297K)
Рисунок 4. (Fermi doublet, 10⁰0) Theory
Рисунок 4. (Fermi doublet, 20⁰0, 2547 cm⁻¹) Theory
Рисунок 4. (Fermi doublet, 20⁰0, 2671 cm⁻¹) Theory
Рисунок 4. (Fermi doublet, 20⁰0, 2797 cm⁻¹) Theory
Рисунок 4. Adiks, T.G. (1982). (Fermi doublet, 10⁰0)
Рисунок 4. Adiks, T.G. (1982). (Fermi doublet, 20⁰0, 2671 cm⁻¹)
Рисунок 4. Baranov Yu.I., et al. (1999) (Fermi doublet, 20⁰0, 2547 cm⁻¹)
Рисунок 4. Baranov Yu.I., et al. (1999). (Fermi doublet, 20⁰0, 2671 cm⁻¹)
Рисунок 4. Baranov Yu.I., et al. (1999). (Fermi doublet, 10⁰0)
Рисунок 4. Baranov Yu.I., et al. (1999). (Fermi doublet, 20⁰0, 2797 cm⁻¹)
Рисунок 4. Mannik, L. et al. (1972). (Fermi doublet, 10⁰0)
Рисунок 1. Density 2.272 times that of an ideal gas
Рисунок 1. Density 3.317 times that of an ideal gas
Рисунок 1. Density 4.419 times that of an ideal gas
Рисунок 1. Density 5.531 times that of an ideal gas
Рисунок 1. Density 6.644 times that of an ideal gas
Рисунок 1. Density 7.767 times that of an ideal gas
Рисунок 2. Density 1.00 times that of an ideal gas
Рисунок 2. Density 1.89 times that of an ideal gas
Рисунок 2. Density 3.74 times that of an ideal gas
Рисунок 2. Density 5.67 times that of an ideal gas
Рисунок 2. Density 7.52 times that of an ideal gas
Рисунок 5. CIAC for Ar + O₂
Рисунок 5. CIAC for O₂ + N₂
Рисунок 5. CIAC for O₂
Рисунок 5. The O₂ stick spectrum
Рисунок 2a
Рисунок 2b
Рисунок 3. Arefiev, V.N. (1990). (800-1100 cm⁻¹)
Рисунок 3. Line mixing calculation using ABC model
Рисунок 3. Line mixing calculation using strong collision model
Рисунок 3a. Arefiev, V.N. (1990). (800-1100 cm⁻¹)
Рисунок 3a. Line mixing calculation using strong collision model
Рисунок 1. Observed profile of a CO₂ dimer band
Рисунок 1. Simulated profile of a CO₂ dimer band
Рисунок 1a
Рисунок 1b
Рисунок 1c
Рисунок 1d
Рисунок 1e
Рисунок 1a
Рисунок 1. H₂O (9.75 hPa) + Air (167.5 hPa)
Рисунок 1. H₂O (9.75 hPa) + Air (332.2 hPa)
Рисунок 1. H₂O (9.75 hPa) + Air (498.75 hPa)
Рисунок 1. Pure H₂O
Рисунок 1a
Рисунок 1. CKD-2.4 only
Рисунок 1. HITRAN V.11 with CKD-2.4
Рисунок 1. Water Dimer. Low, G.R., et al. (1999)
Рисунок 1. Water Dimer. Schofield, D.P., et al. (2003)
Рисунок 4. CKD-2.4 continuum
Рисунок 4. Dimer: K
eq
=0.018 atm⁻¹; HWHM=20 cm⁻¹; Shift=12 cm⁻¹
Рисунок 4. Residual: measurement - HITRAN(m) with CKD-2.4
Рисунок 4a. CKD-2.4 continuum
Рисунок 4a. Dimer: K
eq
=0.011 atm⁻¹; HWHM=16 cm⁻¹; Shift=5 cm⁻¹
Рисунок 4a. Residual: measurement - HITRAN(m) with CKD-2.4
Рисунок 5. CKD-2.4 continuum
Рисунок 5. Dimer: K
eq
=0.043 atm⁻¹; HWHM=30 cm⁻¹; Shift=9 cm⁻¹
Рисунок 5. Ma&Tipping continuum
Рисунок 5. Residual: measurement - HITRAN(m) with MT
Рисунок 5a. CKD-2.4 continuum
Рисунок 5a. Dimer: K
eq
=0.02 atm⁻¹; HWHM=26 cm⁻¹; Shift=5 cm⁻¹
Рисунок 5a. Ma&Tipping continuum
Рисунок 5a. Residual: measurement - HITRAN(m) with MT
Рисунок
Рисунок 12. 4nu + delta water vapor band
Рисунок 12. An O₄ continuum
Рисунок 12. O₂ γ band
Рисунок 12. Total
Рисунок 13. Modeled continuum. Differential O₄ absorption. SZA=80 degree
Рисунок 13. Modeled continuum. Differential O₄ absorption. SZA=85 degree
Рисунок 13. Retrival continuum. Differential O₄ absorption. SZA=80 degree
Рисунок 13. Retrival continuum. Differential O₄ absorption. SZA=85 degree
Рисунок 15. CKD 2.4.1. (SZA=89). Optical path for water
Рисунок 15. MT-CKD 1.0. (SZA=89). Optical path for water
Рисунок 15. Optical path for water dimer (multiplied by 10) (SZA=89)
Рисунок 15. Retrieval. (SZA=89). Optical path for water
Рисунок 15a. CKD 2.4.1. (SZA=87). Optical path for water
Рисунок 15a. MT-CKD 1.0. (SZA=87). Optical path for water
Рисунок 15a. Optical path for water dimer (multiplied by 10) (SZA=87)
Рисунок 15a. Retrieval. (SZA=87). Optical path for water
Рисунок 15b. CKD 2.4.1. (SZA=85). Optical path for water
Рисунок 15b. MT-CKD 1.0. (SZA=85). Optical path for water
Рисунок 15b. Optical path for water dimer (multiplied by 10) (SZA=85)
Рисунок 15b. Retrieval. (SZA=85). Optical path for water
Рисунок 15c. CKD 2.4.1. (SZA=83). Optical path for water
Рисунок 15c. MT-CKD 1.0. (SZA=83). Optical path for water
Рисунок 15c. Optical path for water dimer (multiplied by 10) (SZA=83)
Рисунок 15c. Retrieval. (SZA=83). Optical path for water
Рисунок 17. CKD 2.4.1. (SZA=89). Optical path for water
Рисунок 17. MT-CKD 1.0. (SZA=89). Optical path for water
Рисунок 17. Optical path for water dimer (multiplied by 10) (SZA=89)
Рисунок 17. Retrieval. (SZA=89). Optical path for water
Рисунок 17a. CKD 2.4.1. (SZA=87). Optical path for water
Рисунок 17a. MT-CKD 1.0. (SZA=87). Optical path for water
Рисунок 17a. Optical path for water dimer (multiplied by 10) (SZA=87)
Рисунок 17a. Retrieval. (SZA=87). Optical path for water
Рисунок 17b. CKD 2.4.1. (SZA=85). Optical path for water
Рисунок 17b. MT-CKD 1.0. (SZA=85). Optical path for water
Рисунок 17b. Optical path for water dimer (multiplied by 10) (SZA=85)
Рисунок 17b. Retrieval. (SZA=85). Optical path for water
Рисунок 17c. CKD 2.4.1. (SZA=83). Optical path for water
Рисунок 17c. MT-CKD 1.0. (SZA=83). Optical path for water
Рисунок 17c. Optical path for water dimer (multiplied by 10) (SZA=83)
Рисунок 17c. Retrieval. (SZA=83). Optical path for water
Рисунок 5. CKD 2.4.1 model
Рисунок 5. Measured transmission
Рисунок 5. Transmission for water dimer (multiplied by 10)
Рисунок 5. Transmission for water monomer
Рисунок 6. CKD 2.4.1 model
Рисунок 6. Total transmission
Рисунок 6. Transmission for the H₂O monomer
Рисунок 6. Transmission for the O₂ B band
Рисунок 6. Transmission for water dimer (multiplied by 10)
Рисунок 9. Total transmission
Рисунок 9. Transmission of 5ν water vapor polyad centered at 590 nm
Рисунок 9. Transmission of O₄ band at 575 nm
Рисунок 1a
Рисунок 1b
Рисунок 1c
Рисунок 1d
Рисунок 1e
Рисунок 1f
Рисунок 1g
Рисунок 1a
Рисунок 1b
Рисунок 1c
Рисунок 1d
Рисунок 1a
Рисунок 1b
Рисунок 1c
Рисунок 1d
Рисунок 1e.
Рисунок 2. Derived from the spectrum of K.Yoshino, et al. (1996)
Рисунок 2. Present experimental spectrum
Рисунок 1a
Рисунок 1b.
Рисунок 2
Рисунок 1. (H₂¹⁸O)₂ trapped in Ne (Ne/H₂¹⁸O=800) (4K)
Рисунок 1. (H₂¹⁸O)₂ trapped in Ne (Ne/H₂¹⁸O=800) (8K)
Рисунок 1b. (H₂¹⁸O)₂ trapped in Ne (Ne/H₂¹⁸O=800) (4K)
Рисунок 1b. (H₂¹⁸O)₂ trapped in Ne (Ne/H₂¹⁸O=800) (8K)
Рисунок 1c. (H₂¹⁸O)₂ trapped in Ne (Ne/H₂¹⁸O=800) (4K)
Рисунок 1c. (H₂¹⁸O)₂ trapped in Ne (Ne/H₂¹⁸O=800) (8K)
Рисунок 1d. (H₂¹⁸O)₂ trapped in Ne (Ne/H₂¹⁸O=800) (4K)
Рисунок 1d. (H₂¹⁸O)₂ trapped in Ne (Ne/H₂¹⁸O=800) (8K)
Рисунок 1e. (H₂¹⁸O)₂ trapped in Ne (Ne/H₂¹⁸O=800) (4K)
Рисунок 1e. (H₂¹⁸O)₂ trapped in Ne (Ne/H₂¹⁸O=800) (8K)
Рисунок 1f. (H₂¹⁸O)₂ trapped in Ne (Ne/H₂¹⁸O=800) (4K)
Рисунок 1f. (H₂¹⁸O)₂ trapped in Ne (Ne/H₂¹⁸O=800) (8K)
Рисунок 1g. (H₂¹⁸O)₂ trapped in Ne (Ne/H₂¹⁸O=800) (8K)
Рисунок 3a
Рисунок 3b
Рисунок 4. v₁/2v₂ Fermi dyad (193K)
Рисунок 4. v₁/2v₂ Fermi dyad (218K)
Рисунок 4. v₁/2v₂ Fermi dyad (239K)
Рисунок 4. v₁/2v₂ Fermi dyad (270K)
Рисунок 4. v₁/2v₂ Fermi dyad (346K)
Рисунок 5. D.E.Burch et al. (1971)
Рисунок 5. L.Mannik, et al. (1971)
Рисунок 5. T.G.Adiks (1984)
Рисунок 5. This work
Рисунок 5. Yu.I. Baranov et al. (1999)
Рисунок 1. G. Birnbaum, et al. (1993). Measurement (CH₄+N₂, 162K, 0-650 cm⁻¹)
Рисунок 1. Our calculation (CH₄+N₂, 162K, 0-650 cm⁻¹)
Рисунок 2. An existing measurement. G. Birnbaum, et al. (1993)
Рисунок 2. Our calculation
Рисунок 2. The induced dipole surface. B₀₀₀₁
Рисунок 2. The induced dipole surface. B₀₃₃₄
Рисунок 2. The induced dipole surface. B₀₄₄₅
Рисунок 2. The induced dipole surface. B₂₀₂₃
Рисунок 2. The induced dipole surface. B₂₃₃₄
Рисунок 2. The induced dipole surface. B₂₃₅₄
Рисунок 2. The induced dipole surface. B₂₄₀₅
Рисунок 2. The induced dipole surface. B₄₀₄₅
Рисунок 3. G. Birnbaum, et al. (1993). Measurement (CH₄+N₂, 195K, 0-650 cm⁻¹)
Рисунок 3. Our calculation (CH₄+N₂, 195K, 0-650 cm⁻¹)
Рисунок 4. I. R. Dagg, et al. (1986). Measurements (CH₄+N₂, 126K, 0-500 cm⁻¹)
Рисунок 4. Our calculations (CH₄+N₂, 126K, 0-500 cm⁻¹)
Рисунок 4a. I. R. Dagg, et al. (1986). Measurements (CH₄+N₂, 149K, 0-500 cm⁻¹)
Рисунок 4a. Our calculations (CH₄+N₂, 149K, 0-500 cm⁻¹)
Рисунок 4b. I. R. Dagg, et al. (1986). Measurements (CH₄+N₂, 179K, 0-500 cm⁻¹)
Рисунок 4b. Our calculations (CH₄+N₂, 179K, 0-500 cm⁻¹)
Рисунок 4c. I. R. Dagg, et al. (1986). Measurements (CH₄+N₂, 212K, 0-500 cm⁻¹)
Рисунок 4c. Our calculations (CH₄+N₂, 212K, 0-500 cm⁻¹)
Рисунок 5. A/(sigma-667)^2
Рисунок 5. Experiment
Рисунок 5. Model with renormalization of the relaxation operator
Рисунок 5. Model without renormalization of the relaxation operator
Рисунок 6A. Calculated with the Lorentzian approach
Рисунок 6A. Calculated with the present ECS model
Рисунок 6A. Experiment
Рисунок 6B. Normalized relative deviations
Рисунок 8A. Calculated with the present ECS model
Рисунок 8A. Experiment
Рисунок 8A. Lorentzian approach
Рисунок 8B. Normalized relative deviations
Рисунок 17. Asymptotical computation (296K, 2350-2800 cm⁻¹)
Рисунок 17. Asymptotical computation (338K, 2350-2800 cm⁻¹)
Рисунок 17. Asymptotical computation (384K, 2350-2800 cm⁻¹)
Рисунок 17. Asymptotical computation (428K, 2350-2800 cm⁻¹)
Рисунок 17. Burch D.E. (1982) (338K, 2300-2800 cm⁻¹)
Рисунок 17. Burch D.E. (1982) (384K, 2300-2800 cm⁻¹)
Рисунок 17. Burch D.E. (1982) (428K, 2300-2800 cm⁻¹)
Рисунок 17. Burch D.E., et al. (1984) (296K, 2350-2800 cm⁻¹)
Рисунок 17a. Burch D.E. (1982) (338K, 2300-2800 cm⁻¹)
Рисунок 17a. Burch D.E. (1982) (428K, 2300-2800 cm⁻¹)
Рисунок 17a. Burch D.E., et al. (1984) (296K, 2300-2800 cm⁻¹)
Рисунок 17a. Ma Q. et al. (1992) (296K, 2300-2800 cm⁻¹)
Рисунок 17a. Ma Q. et al. (1992) (338K, 2300-2800 cm⁻¹)
Рисунок 17a. Ma Q. et al. (1992) (428K, 2300-2800 cm⁻¹)
Рисунок 18. Burch D.E. (1984) (296K, 700-1200 cm⁻¹)
Рисунок 18. Line wing theory (296K, 700-1200 cm⁻¹)
Рисунок 18. Roberts R.E., et al. (1976) (284K, 700-1200 cm⁻¹)
Рисунок 18. Roberts R.E., et al. (1976). Recomputed. (284K, 700-1200 cm⁻¹)
Рисунок 20. Hinderling J., et al. (1987) (244.19 cm⁻¹, 230-340K)
Рисунок 20. Hinderling J., et al. (1987) a (244.19 cm⁻¹, 230-340K)
Рисунок 20. Line wing theory (244.19 cm⁻¹, 230-340K)
Рисунок 20. Ma Q., et al. (2002) (244.19 cm⁻¹, 230-340K)
Рисунок 21. Burch D.E., et al. (1980) (1000 cm⁻¹, 240-500K)
Рисунок 21. Burch D.E., et al. (1980). (1000 cm⁻¹, 240-500K)
Рисунок 21. Line wing theory (1000 cm⁻¹, 240-500K)
Рисунок 21. Loper G.L., et al. (1983) (1000 cm⁻¹, 240-500K)
Рисунок 21. Montgomery G.P. (1978) (1000 cm⁻¹, 240-500K)
Рисунок 21. Thomas M.E., et al. (1985) (1000 cm⁻¹, 240-500K)
Рисунок 21. Varanasi P. (1988). Dimer model. (1000 cm⁻¹, 240-500K)
Рисунок 21. Varanasi P., et al. (1987-8) (1000 cm⁻¹, 240-500K)
Рисунок 6B. Calculation using the ECS-EP model
Рисунок 6B. Experiment
Рисунок 6B. The measured–calculated deviations multiplied by 5
Рисунок 7A. Experiment, 700 Torr
Рисунок 7A. Measured–calculated deviations of the ECS-EP model, accounting for line mixing
Рисунок 7A. Measured–calculated deviations of the ECS-EP model, neglecting line mixing
Рисунок 7B. Experiment, 250 Torr
Рисунок 7B. Measured–calculated deviations of the ECS-EP model, accounting for line mixing
Рисунок 7B. Measured–calculated deviations of the ECS-EP model, neglecting line mixing
Рисунок 7C. Experiment, 100 Torr
Рисунок 7C. Measured–calculated deviations of the ECS-EP model, accounting for line mixing
Рисунок 7C. Measured–calculated deviations of the ECS-EP model, neglecting line mixing
Рисунок 2. Calculated using the model of isolated branches
Рисунок 2. Calculated using the model of strong collisions
Рисунок 2. Calculated using the model of weak collisions
Рисунок 2. Experiment
Рисунок 3. Experiment
Рисунок 3. Model of adjusted branch coupling (ABC)
Рисунок 3. Model of the Lorentzian line shape
Рисунок 3. Model of the varied collision efficiency (VCE)
Рисунок 5. (2v2+v3) CO2+He. Calculation using the model of adjusted branch coupling (ABC)
Рисунок 5. (2v2+v3) CO2+He. Calculation using the model of of Lorentzian line shape
Рисунок 5. (2v2+v3) CO2+He. Calculation using the model of the varied collision efficiency (VCE)
Рисунок 5. (2v2+v3) CO2+He. Experimental data for a density of 100 atm
Рисунок 10. Best fit of experimental data
Рисунок 10. Experimental data
Рисунок 10. Far wing model
Рисунок 10. H₂O-N₂ complex model
Рисунок 6. Best fit of present experiment
Рисунок 6. G. L. Loper, et al. (1983). Photoacoustic measurements
Рисунок 6. J. Hinderling, et al. (1987). Photoacoustic measurements
Рисунок 6. M. T. Coffey, et al. (1977). Radiometer measurements
Рисунок 6. Present experiment
Рисунок 7. Present experiment
Рисунок 7. best fit of present experiment
Рисунок 9. Best fit of experimental data
Рисунок 9. Experimental data
Рисунок 9. Far wing model
Рисунок 9. Water dimer model
Рисунок 4. Experimental spectra for N₂ pressure of 0 kPa
Рисунок 4. Experimental spectra for N₂ pressure of 81.0 kPa
Рисунок 4.Continuum absorbance for N₂ pressure of 0 kPa
Рисунок 4.Continuum absorbance for N₂ pressure of 81.0 kPa
Рисунок 1a
Рисунок 1b
Рисунок 1c
Рисунок 1. a
Рисунок 1. б
Рисунок 1a
Рисунок 1. Ar/H₂O=1000/5
Рисунок 1. Kr/H₂O=1000/5
Рисунок 1. Xe/H₂O=1000/5
Рисунок 2. Ar/H₂O=1000/5
Рисунок 2. Kr/H₂O=1000/5
Рисунок 2. Xe/H₂O=1000/2
Рисунок 2. H₂O in solid Kr
Рисунок 2. H₂O in solid argon
Рисунок 2. H₂O in solid neon
Рисунок 3. H₂ ¹⁸O in solid neon
Рисунок 3. H₂O in solid neon
Рисунок 1. The induced dipole components (0334) of CH₄-H₂
Рисунок 1. The induced dipole components (0445) of CH₄-H₂
Рисунок 1. The induced dipole components (2023) of CH₄-H₂
Рисунок 1. The induced dipole components (2344) of CH₄-H₂
Рисунок 1. The induced dipole components (2354) of CH₄-H₂
Рисунок 1. The induced dipole components (2405) of CH₄-H₂
Рисунок 1. The induced dipole components (4045) of CH₄-H₂
Рисунок 1. The rototranslational enhancement spectrum in the far infrared
Рисунок 2. Calculations of the binary rototranslational spectra (140K, 150-850 cm⁻¹)
Рисунок 2. P. Codastefano, et al. (1986). Measurements of absorption spectra (140K, 150-850 cm⁻¹)
Рисунок 2a. Calculations of the binary rototranslational spectra (163K, 150-850 cm⁻¹)
Рисунок 2a. Measurements of the rototranslational enhancement absorption spectra (163K, 150-850 cm⁻¹)
Рисунок 2b. Calculations of the binary rototranslational spectra (175K, 150-850 cm⁻¹)
Рисунок 2b. P. Codastefano, et al. (1986). Measurements of absorption spectra (175K, 150-850 cm⁻¹)
Рисунок 2c. Calculations of the binary rototranslational spectra (195K, 150-850 cm⁻¹)
Рисунок 2c. P. Codastefano, et al. (1986). Measurements of absorption spectra (195K, 150-850 cm⁻¹)
Рисунок 2d. Calculations of the binary rototranslational spectra (195K, 150-850 cm⁻¹)
Рисунок 2d. P. Codastefano, et al. (1986). Measurements of absorption spectra (195K, 150-850 cm⁻¹)
Рисунок 2e. Calculations of the binary rototranslational spectra (269K, 150-850 cm⁻¹)
Рисунок 2e. Measurements of the rototranslational enhancement absorption spectra (269K, 150-850 cm⁻¹)
Рисунок 2f. Calculations of the binary rototranslational spectra (297K, 150-850 cm⁻¹)
Рисунок 2f. G. Birnbaum, et al. (1987). Measurements of absorption spectra (297K, 150-850 cm⁻¹)
Рисунок 3. A.D. Afanasev, et al. (1980). Measurement spectrum of gaseous CH₄-He (293K, 0-500 cm⁻¹)
Рисунок 3. Calculated total absorption of CH₄-He (293K, 0-500 cm⁻¹)
Рисунок 3. The hexadecapole-induced component of CH₄-He (293K, 0-500 cm⁻¹)
Рисунок 3. The sum of the octopole-induced component of CH₄-He (293K, 0-500 cm⁻¹)
Рисунок 4. The excess absorption spectra of CH₄ - H₂ pairs (140K, 0-900 cm⁻¹)
Рисунок 4. The excess absorption spectra of CH₄ - H₂ pairs (195K, 0-900 cm⁻¹)
Рисунок 4. The excess absorption spectra of CH₄ - H₂ pairs (297K, 0-900 cm⁻¹)
Рисунок 5. The excess absorption spectra of CH₄ - N₂ pairs (162K, 0-700 cm⁻¹)
Рисунок 5. The excess absorption spectra of CH₄ - N₂ pairs (195K, 0-700 cm⁻¹)
Рисунок 5. The excess absorption spectra of CH₄ - N₂ pairs (297K, 0-700 cm⁻¹)
Рисунок 6. The excess absorption spectra of CH₄ - He pairs (293K, 100-500 cm⁻¹)
Рисунок 6. The excess absorption spectra of CH₄ - He pairs (353K, 100-500 cm⁻¹)
Рисунок 6.3 The excess absorption spectra of CH₄ - He pairs (150K, 0-500 cm⁻¹)
Рисунок 1. Calculated absorption spectra in methane (163K, 0-800 cm⁻¹)
Рисунок 1. P. Codastefano, et al. (1986) (163K, 0-650 cm⁻¹)
Рисунок 1a. Calculated absorption spectra in methane (195K, 0-750 cm⁻¹)
Рисунок 1a. P. Codastefano, et al. (1986) (195K, 0-650 cm⁻¹)
Рисунок 1b. Calculated absorption spectra in methane (243K, 0-750 cm⁻¹)
Рисунок 1b. P. Codastefano, et al. (1986) (243K, 0-650 cm⁻¹)
Рисунок 1c. Calculated absorption spectra in methane (297K, 0-750 cm⁻¹)
Рисунок 1c. P. Codastefano, et al. (1986) (297K, 0-650 cm⁻¹)
Рисунок 2. A.A. Vetrov (1976). Experimental data
Рисунок 2. Resulting spectral profile
Рисунок 2. Water dimer
Рисунок 2. Water monomer
Рисунок 2a. A.A. Vetrov (1976). Experimental data
Рисунок 2a. Resulting spectral profile
Рисунок 2a. Water dimer
Рисунок 2a. Water monomer
Рисунок 2b. A.A. Vetrov (1976). Experimental data
Рисунок 2b. Resulting spectral profile
Рисунок 2b. Water dimer
Рисунок 2b. Water monomer
Рисунок 3a. REMPI spectra recorded in the m/z=16 mass channel. CH₄⁺ and O⁺
Рисунок 3b. REMPI spectra recorded in the m/z=16 mass channel. O⁺ only
Рисунок 3c. REMPI spectra recorded in the m/z=46 mass channel. NO-CH₄⁺
Рисунок 4a. REMPI spectra of isotopomer of CH₂D₂-NO
Рисунок 4b. REMPI spectra of the isotopomer of CH₃D-NO
Рисунок 4c. REMPI spectra of the isotopomers of CD₄-NO
Рисунок 4d. REMPI spectra of the isotopomers of CH₄-NO
Рисунок 4e. REMPI spectra of the isotopomer of CH₃D-NO
Рисунок 5a. REMPI spectra of isotopomer of CH₂D₂-NO
Рисунок 5b. REMPI spectra of the CH₄-NO
Рисунок 5c. REMPI spectra of the isotopomer of CH₃D-NO
Рисунок 5d. REMPI spectra of the isotopomer of CHD₃-NO
Рисунок 5e. REMPI spectra of the isotopomers of CD₄-NO
Рисунок 1. Component 1
Рисунок 1. Component 2
Рисунок 1. Component 3
Рисунок 1. Lorentz profile
Рисунок 1. Sum theoretical profile
Рисунок 4A. CO2 spectra calculated using the far-wing theory, 0-6000 cm-1
Рисунок 4A. CO2 spectra obtained with the empirical line profile model, 0-6000 cm-1
Рисунок 4A. The absorption of 30 ppm of water vapor 0-6000 cm-1
Рисунок 4B. CO2 spectra calculated using the far-wing theory, 1000-1500 cm-1
Рисунок 4B. CO2 spectra obtained with the empirical line profile model, 1000-1500 cm-1
Рисунок 4B. The absorption of 30 ppm of water vapor, 1000-1500 cm-1
Рисунок 2a
Рисунок 2. N₂
Рисунок 2. O₂
Рисунок 7a. CO2. Computation accounting for line-mixing. 963-963.6 cm-1
Рисунок 7a. CO2. Computation neglecting line-mixing. 963-963.6 cm-1
Рисунок 7a. CO2. Measured values. 963-963.6 cm-1
Рисунок 7b. CO2. Computation accounting for line-mixing. 841.6-842.2 cm-1
Рисунок 7b. CO2. Computation neglecting line-mixing. 841.6-842.2 cm-1
Рисунок 7b. CO2. Measured values. 841.6-842.2 cm-1
Рисунок 7c. CO2. Computation accounting for line-mixing. 748.8-749.4 cm-1
Рисунок 7c. CO2. Computation neglecting line-mixing. 748.8-749.4 cm-1
Рисунок 7c. CO2. Measured values. 748.8-749.4 cm-1
Рисунок 1a
Рисунок 1b
Рисунок 1c
Рисунок 1d
Рисунок 1e
Рисунок 1f
Рисунок 1g
Рисунок 1h
Рисунок 1i
Рисунок 1a
Рисунок 1b
Рисунок 1a
Рисунок 6. Calculated equilibrium constant + resonances
Рисунок 6. Calculated equilibrium constant
Рисунок 6. Curtiss, L. A., et al. (1979). Equilibrium constant
Рисунок 6. Evans, G. T., et al. (2000). Equilibrium constant
Рисунок 6. Goldman, N., et al. (2004). Rigid VRT-ASP III potential
Рисунок 6. Harvey, A. H., et al. (2004). Equilibrium constant (38.5 cm³/mol)
Рисунок 6. Harvey, A. H., et al. (2004). Equilibrium constant
Рисунок 6. Pfeilsticker, K., et al. (2003). Equilibrium constant
Рисунок 6. Ptashnik, I. V., et al. (2004). Equilibrium constant. Ma-Tipping continuum model
Рисунок 6. Ptashnik, I., et al. (2004). Equilibrium constant. CKD-2.4
Рисунок 1a
Рисунок 1b
Рисунок 1c
Рисунок 3a
Рисунок 3b
Рисунок 3c
Рисунок 4. Least-square best-fit results
Рисунок 4. Experimental data
Рисунок 4. The confidence interval for the fit-result
Рисунок 4. The confidence interval for the fit-result
Рисунок 4. The confidence interval for the prediction
Рисунок 4. The confidence interval for the prediction
Рисунок 4a. The confidence interval for the fit-result
Рисунок 4a. The confidence interval for the fit-result
Рисунок 4a. The confidence interval for the prediction
Рисунок 4a. The confidence interval for the prediction
Рисунок 4a. The least-square best-fit results
Рисунок 4a.Experimental data
Рисунок 4b. The confidence interval for the fit-result
Рисунок 4b. The confidence interval for the fit-result
Рисунок 4b. The confidence interval for the prediction
Рисунок 4b. The confidence interval for the prediction
Рисунок 4b. The least-square best-fit results
Рисунок 4b.Experimental data
Рисунок 5. The least-square best-fit results
Рисунок 5. Naus, H. et al. (1999)
Рисунок 5. The confidence interval for the prediction
Рисунок 5. The confidence interval for the prediction
Рисунок 5a. Experimental results
Рисунок 5a. The confidence interval for the fit-result
Рисунок 5a. The confidence interval for the fit-result
Рисунок 5a. The confidence interval for the prediction
Рисунок 5a. The confidence interval for the prediction
Рисунок 5a. The least-square best-fit results
Рисунок 5b. The confidence interval for the fit-result
Рисунок 5b. The confidence interval for the fit-result
Рисунок 5b. The confidence interval for the prediction
Рисунок 5b. The confidence interval for the prediction
Рисунок 5b. The least-square best-fit results
Рисунок 5b.Experimental data
Рисунок 7. O₂ perturbed by N₂
Рисунок 7. Pure O₂
Рисунок 1a
Рисунок 1b
Рисунок 5a
Рисунок 5b
Рисунок 5c
Рисунок 5d
Рисунок 5e
Рисунок 7. Lines + Continuum * 10
Рисунок 7. Lines + Continuum * 8
Рисунок 7. Lines + Continuum * 9
Рисунок 7. Lines + Continuum
Рисунок 7. Measurement
Рисунок 8. Continuum 14.7 torr
Рисунок 8. Continuum 9 torr
Рисунок 8. Hitran 14.7 torr
Рисунок 8. Hitran 9 torr
Рисунок 8. Measured 14.7 torr
Рисунок 8. Measured 9 torr
Рисунок 3-17. The rototranslational spectrum of H₂+CH₄. All components
Рисунок 3-17. The rototranslational spectrum of H₂+CH₄. CH₄ hexadecapole-induced component
Рисунок 3-17. The rototranslational spectrum of H₂-CH₄. CH₄ octopole-induced component
Рисунок 3-17. The rototranslational spectrum of H₂-CH₄. Experimental points
Рисунок 3-17. The rototranslational spectrum of H₂-CH₄. H₂ quadrupole-induced component
Рисунок 3c-22. P. Dore, et al. (1989). The rototranslational spectrum of CH₄-CH₄. Experiment
Рисунок 3c-22. The rototranslational spectrum of CH₄-CH₄. An octopole-induced component
Рисунок 3c-22. The rototranslational spectrum of CH₄-CH₄. A hexadecapole-induced component
Рисунок 3c-22. The rototranslational spectrum of CH₄-CH₄. All components
Рисунок 3c-22. The rototranslational spectrum of CH₄-CH₄. Double transitions
Рисунок 13. V. B. Podobedov, et al. (2005)
Рисунок 13. Water Dimer absorption
Рисунок 4. Infrared absorption spectrum. Ar/H₂O=25
Рисунок 4. Infrared absorption spectrum. Ne/H₂O = 50
Рисунок 1. Conformation H
Рисунок 1. Conformation L
Рисунок 1. Conformation Ta
Рисунок 1. Conformation Tb
Рисунок 1. Conformation X
Рисунок 1a. Conformation H
Рисунок 1a. Conformation L
Рисунок 1a. Conformation S45
Рисунок 1a. Conformation T
Рисунок 1a. Conformation X
Рисунок 10a. Bharadwaj S.P., et al. (2006). Measured values (old)
Рисунок 10a. Calculation based on CDSD
Рисунок 10a. Calculation based on HITEMP
Рисунок 10a. Measured values
Рисунок 10b. Bharadwaj S.P., et al. (2006). Measured values (old)
Рисунок 10b. Calculation based on CDSD
Рисунок 10b. Calculation based on HITEMP
Рисунок 10b. Measured values
Рисунок 13a. Calculation based on CDSD
Рисунок 13a. Calculation based on HITEMP
Рисунок 13a. Measured values
Рисунок 13b. Calculation based on CDSD
Рисунок 13b. Calculation based on HITEMP
Рисунок 13b. Measured values
Рисунок 4a. Bharadwaj S.P., et al. (2006). Measured values
Рисунок 4a. Calculation based on CDSD
Рисунок 4a. Calculation based on HITEMP
Рисунок 4a. Measured values
Рисунок 4b. Bharadwaj S.P., et al. (2006). Measured values
Рисунок 4b. Calculation based on CDSD
Рисунок 4b. Calculation based on HITEMP
Рисунок 4b. Measured values
Рисунок 10. D.E. Burch, et al. (1979, 1981, 1984) (296K, 800-1150 cm⁻¹)
Рисунок 10. J.G. Cormier, et al. (2005) (296K, 800-1150 cm⁻¹)
Рисунок 10. J.G. Cormier, et al. (2005) (310K, 800-1150 cm⁻¹)
Рисунок 10. MT-CKD calculation (296K, 800-1150 cm⁻¹)
Рисунок 10. MT-CKD calculation (310K, 800-1150 cm⁻¹)
Рисунок 10. MT-CKD calculation (325K, 800-1150 cm⁻¹)
Рисунок 10. MT-CKD calculation (363K, 800-1150 cm⁻¹)
Рисунок 10. Present calculation (296K, 800-1150 cm⁻¹)
Рисунок 10. Present calculation (310K, 800-1150 cm⁻¹)
Рисунок 10. Present calculation (325K, 800-1150 cm⁻¹)
Рисунок 10. Present calculation (363K, 800-1150 cm⁻¹)
Рисунок 10. Yu. I. Baranov, et al. (2008) (310.8K, 800-1150 cm⁻¹)
Рисунок 10. Yu. I. Baranov, et al. (2008) (325.8K, 800-1150 cm⁻¹)
Рисунок 10. Yu. I. Baranov, et al. (2008) (363.6K, 800-1150 cm⁻¹)
Рисунок 8. D.E. Burch, et al. (296K, 300-1100 cm⁻¹)
Рисунок 8. Present calculation
Рисунок 9. G. L. Loper, et al. (1983). (944.195 cm⁻¹, 250-345K)
Рисунок 9. J. G. Cormier, et al. (2005). (944.195 cm⁻¹, 250-345K)
Рисунок 9. J. Hinderling, et al. (1987). (944.195 cm⁻¹, 250-345K)
Рисунок 9. Present calculation (944.195 cm⁻¹, 250-345K)
Рисунок 2. Fitting (293K, 10-90 cm⁻¹)
Рисунок 2. Fitting (313K, 10-90 cm⁻¹)
Рисунок 2. Fitting (333K, 10-90 cm⁻¹)
Рисунок 2. Present experiment (293K, 10-90 cm⁻¹)
Рисунок 2. Present experiment (313K, 10-90 cm⁻¹)
Рисунок 2. Present experiment (333K, 10-90 cm⁻¹)
Рисунок 2a. Fitting (293K, 10-90 cm⁻¹)
Рисунок 2a. Fitting (313K, 10-90 cm⁻¹)
Рисунок 2a. Fitting (333K, 10-90 cm⁻¹)
Рисунок 2a. Present experiment (293K, 10-90 cm⁻¹)
Рисунок 2a. Present experiment (313K, 10-90 cm⁻¹)
Рисунок 2a. Present experiment (333K, 10-90 cm⁻¹).
Рисунок 4. Fitting 0.67/70 kPa (293K, 10-90 cm⁻¹)
Рисунок 4. Fitting 0.67/70 kPa (333K, 10-90 cm⁻¹)
Рисунок 4. Fitting 1.43/78.5 kPa (293K, 10-90 cm⁻¹)
Рисунок 4. Fitting 1.43/78.5 kPa (323K, 10-90 cm⁻¹)
Рисунок 4. Present experiment 0.67/70 kPa (293K, 10-90 cm⁻¹)
Рисунок 4. Present experiment 0.67/70 kPa (333K, 10-90 cm⁻¹)
Рисунок 4. Present experiment 1.43/78.5 kPa (293K, 10-90 cm⁻¹)
Рисунок 4. Present experiment 1.43/78.5 kPa (323K, 10-90 cm⁻¹)
Рисунок 4a. Fitting 0.67/70 kPa (293K, 10-88 cm⁻¹)
Рисунок 4a. Fitting 0.67/70 kPa (333K, 10-90 cm⁻¹)
Рисунок 4a. Fitting 1.43/78.5 kPa (293K, 10-54 cm⁻¹)
Рисунок 4a. Fitting 1.43/78.5 kPa (323K, 10-72 cm⁻¹)
Рисунок 4a. Present experiment 0.67/70 kPa (293K, 15-85 cm⁻¹)
Рисунок 4a. Present experiment 0.67/70 kPa (333K, 10-84 cm⁻¹)
Рисунок 4a. Present experiment 1.43/78.5 kPa (293K, 18-50 cm⁻¹)
Рисунок 4a. Present experiment 1.43/78.5 kPa (323K, 20-65 cm⁻¹)
Рисунок 3. Calculated far-IR absorption spectra per molecule for the dimer. (80K))
Рисунок 3a. Calculated far-IR absorption spectra per molecule for the dimer. (220K))
Рисунок 3a. Y. Scribano, et al. (2007). Calculated far-IR absorption spectra per molecule for the dimer
Рисунок 4. Far-IR absorption spectra per molecule for the tetramer (T=270K)
Рисунок 4. Far-IR absorption spectra per molecule for the tetramer (T=80K)
Рисунок 4a. Far-IR absorption spectra per molecule for the hexamer (T=220K)
Рисунок 4a. Far-IR absorption spectra per molecule for the hexamer (T=80K)
Рисунок 5. Calculated contribution of water dimers to the water vapor
Рисунок 5. D.E.Burch (1981) (300-1100 cm⁻¹)
Рисунок 10. CKD-2.4 continuum
Рисунок 10. HITRAN + MT-CKD
Рисунок 10. D.E.Burch, et al. (1985) Empirical continuum
Рисунок 10. HITRAN + MT
C
KD (smooth)
Рисунок 10. MT-CKD continuum
Рисунок 10. Monochrom. (AFGL)
Рисунок 10. Monochrom. (HITRAN-2004)
Рисунок 10. WD model (K
eq
=0.043 atm⁻¹)
Рисунок 7. (1) Poberovsky A.V. (1976). (4.2 atm H₂O+115 atm N₂, 5000-5600 cm⁻¹)
Рисунок 7. (2) Poberovsky A.V. (1976). (41 atm H₂O, 5000-5600 cm⁻¹)
Рисунок 7. Modified difference spectrum of Poberovsky (1976)
Рисунок 7. Poberovsky A.V. (1976). Water clusters: The difference spectrum (2)-(1)
Рисунок 7. Schofield D.P., et al. (2003). Water Dimer model (shift: -10 cm⁻¹)
Рисунок 7a. (1) Poberovsky A.V. (1976). (2.8 atm H₂O+80 atm N₂, 3400-4000 cm⁻¹)
Рисунок 7a. (2) Poberovsky A.V. (1976). (25.8 atm H₂O, 3400-4000 cm⁻¹)
Рисунок 7a. Ptashnik I.V., (2004). The modified difference spectrum of Poberovsky
Рисунок 7a. Schofield D.P., (2003). Water Dimer model
Рисунок 7a. Water clusters: (2)-(1)
Рисунок 5. Burch D.E., et al. (1974) (250-600 cm⁻¹)
Рисунок 5. Fit I-BEST (dtgs)
Рисунок 5. Fit I-BEST (mct)
Рисунок 5. Fit REFIR
Рисунок 5. MT-CKD 1.0 model
Рисунок 5. MT-CKD 2.1 model
Рисунок 3. Spectrum of D₂O-DOD in solid neon
Рисунок 3. Spectrum of H₂O-DOD in solid neon
Рисунок 3. Spectrum of H₂O-H₂O in solid neon
Рисунок 4. Spectrum of D₂O-D₂O dimers in solid neon
Рисунок 4. Spectrum of H₂O-D₂O dimers in solid neon
Рисунок 4. Spectrum of water dimers in solid neon
Рисунок 2. Absorbance. Experimental data
Рисунок 2. Absorbance. Calculation
Рисунок 2. Absorbance. Water Dimer
Рисунок 2. Absorbance. Water Monomer
Рисунок 2a. Absorbance. Calculation
Рисунок 2a. Absorbance. Experimental data
Рисунок 2a. Absorbance. Water Monomer
Рисунок 2a. Water Dimer
Рисунок 2c. Absorbance. Calculation
Рисунок 2c. Absorbance. Experimental data
Рисунок 2c. Absorbance. Water Dimer
Рисунок 2c. Absorbance. Water Monomer
Рисунок 2. Neon matrix [Ne]/[H₂O] = 2030
Рисунок 2. Parahydrogen matrix [p-H₂]/ [H₂O] = 388
Рисунок 2. Parahydrogen without added water
Рисунок 3. Neon matrix [Ne]/[H₂O] = 1740
Рисунок 3. Parahydrogen matrix [p-H₂]/ [H₂O] = 340
Рисунок 10(0.48)
Рисунок 10. (1.55)
Рисунок 10. (1.87)
Рисунок 3. Resulting profile of slipped dimer
Рисунок 3. Vibrational transitions in slipped dimer
Рисунок 5a. Resulting profile of noncyclic trimer
Рисунок 5a. Resulting profile of slipped dimer
Рисунок 5a. Vibrational transitions in dimer and trimer
Рисунок 5b. Resulting profile of cyclic trimer
Рисунок 5b. Resulting profile of slipped dimer
Рисунок 5b. Vibrational transitions in cyclic trimer
Рисунок 2. FTIR spectra. CO2 isolated in an Ar matrix in the proportion 1:10000
Рисунок 2. FTIR spectra. CO2 isolated in an Ar matrix in the proportion 1:1000
Рисунок 2. FTIR spectra. CO2 isolated in an Ar matrix in the proportion 1:100
Рисунок 2. FTIR spectra. CO2 isolated in an Ar matrix in the proportion 1:200
Рисунок 2. FTIR spectra. CO2 isolated in an Ar matrix in the proportion 1:50
Рисунок 1. Singlet. Lower limit. H geometry
Рисунок 1. Singlet. Upper limit. H geometry
Рисунок 1a. Singlet. Lower limit. H geometry
Рисунок 1a. Triplet. Upper limit. H geometry
Рисунок 1b. Singlet. Lower limit. X geometry
Рисунок 1b. Singlet. Upper limit. X geometry
Рисунок 1c. Triplet. Lower limit. X geometry
Рисунок 1c. Triplet. Upper limit. X geometry
Рисунок 1d. Singlet. Lower limit. T geometry
Рисунок 1d. Singlet. Upper limit. T geometry
Рисунок 1e. Triplet. Lower limit. T geometry
Рисунок 1e. Triplet. Upper limit. T geometry
Рисунок 1f. Singlet. Lowper limit. L geometry
Рисунок 1f. Singlet. Upper limit. L geometry
Рисунок 1g. Triplet. Lower limit. L geometry
Рисунок 1g. Triplet. Upper limit. L geometry
Рисунок 1. Absorption coefficient for the isotopologue of 16O12C16O
Рисунок 1. Absorption coefficient for the isotopologue of 16O12C17O
Рисунок 1. Absorption coefficient for the isotopologue of 16O12C18O
Рисунок 1. Absorption coefficient for the isotopologue of 16O13C16O
Рисунок 1. Absorption coefficient for the isotopologue of 16O13C17O
Рисунок 1. Absorption coefficient for the isotopologue of 16O13C18O
Рисунок 1. Absorption coefficient for the isotopologue of 17O12C18O
Рисунок 1. Absorption coefficient for the isotopologue of 18O12C18O
Рисунок 1. Absorption coefficient for the isotopologue of 18O13C18O
Рисунок 2. Present experiment (310.8K, 800-1150 cm⁻¹)
Рисунок 2. Present experiment (318K, 800-1150 cm⁻¹)
Рисунок 2. Present experiment (325K, 800-1150 cm⁻¹)
Рисунок 2. Present experiment (339K, 800-1150 cm⁻¹)
Рисунок 2. Present experiment (351K, 800-1150 cm⁻¹)
Рисунок 2. Present experiment (363K, 800-1150 cm⁻¹)
Рисунок 4. MT-CKD model (310.8K, 800-1150 cm⁻¹)
Рисунок 4. MT-CKD model (325.8K, 800-1150 cm⁻¹)
Рисунок 4. MT-CKD model (363.6K, 800-1150 cm⁻¹)
Рисунок 4. Present calculations (310.8K, 800-1150 cm⁻¹)
Рисунок 4. Present calculations (325.8K, 800-1150 cm⁻¹)
Рисунок 4. Present calculations (363.6K, 800-1150 cm⁻¹)
Рисунок 4. Present experiment (310.8K, 800-1150 cm⁻¹)
Рисунок 4. Present experiment (325.8K, 800-1150 cm⁻¹)
Рисунок 4. Present experiment (363.6K, 800-1150 cm⁻¹)
Рисунок 6. NIST (2007-2009)
Рисунок 8. Burch D.E. (1982) (295-395K, 944.19 cm⁻¹)
Рисунок 8. Cormier J.G., et al. (2005) (270-310 K, 944.19 cm⁻¹)
Рисунок 8. Dianov-Klokov V.I., et al. (1981) (270-390 K)
Рисунок 8. Eng R.S., et al. (1980)
Рисунок 8. Hinderling J., et al. (1987) (944.19 cm⁻¹)
Рисунок 8. Loper G.L., et al. (1983) (944.19 cm⁻¹)
Рисунок 8. MT
C
KD model (944.19 cm⁻¹)
Рисунок 8. NIST 2006, (spectrometer, White cell)
Рисунок 8. Nordstrom R.J., et al. (1978) (944.19 cm⁻¹)
Рисунок 8. Our fitting (944.19 cm⁻¹)
Рисунок 8. Peterson J.C., et al. (1979) (944.19 cm⁻¹)
Рисунок 9. Burch, D.E., (1982) (1203 cm⁻¹)
Рисунок 9. MT-CKD model (1203 cm⁻¹)
Рисунок 9. Montgomery Jr G.P. (1978)
Рисунок 9. NIST, (2006)
Рисунок 9. Our fitting
Рисунок 2. B.H. Winters, et al. (1964).
Рисунок 2. C.Cousin, et al. (1985, 1986)
Рисунок 2. Experiment
Рисунок 2. Fitting results
Рисунок 2. J. Susskind, et al. (1978)
Рисунок 2. Lorentz profile
Рисунок 2. V.G.Kunde et al. (1974). 15 mm band
Рисунок 3a. CO2+N2. The chi-factor. T=230 K
Рисунок 3a. CO2+N2. The chi-factor. T=250 K
Рисунок 3a. CO2+N2. The chi-factor. T=273 K
Рисунок 3a. CO2+N2. The chi-factor. T=296 K
Рисунок 3a. CO2+N2. The chi-factor. T=318 K
Рисунок 3b. CO2+N2. The chi-factor. T=230 K
Рисунок 3b. CO2+N2. The chi-factor. T=250 K
Рисунок 3b. CO2+N2. The chi-factor. T=273 K
Рисунок 3b. CO2+N2. The chi-factor. T=296 K
Рисунок 3b. CO2+N2. The chi-factor. T=318 K
Рисунок 5a. Calculated spectra (line-mixing). T=318K
Рисунок 5a. Measured spectra. T=318K
Рисунок 5b. Calculated spectra (line-mixing). T=296 K
Рисунок 5b. Measured spectra. T=296 K
Рисунок 5c. Calculated spectra (line-mixing) . T=273K
Рисунок 5c. Measured spectra. T=273K
Рисунок 5d. Calculated spectra (line-mixing). T=250 K
Рисунок 5d. Measured spectra. T=250 K
Рисунок 5e. Calculated spectra (line-mixing). T=230 K
Рисунок 5e. Measured spectra. T=230 K
Рисунок 6. Experiment (T=296 K)
Рисунок 6. Line-mixing profile (T=296 K)
Рисунок 6. Line-mixing profile with chi-factor (T=296 K)
Рисунок 2. Angular orientation 17
Рисунок 2. Angular orientation 1
Рисунок 2. Angular orientation 2
Рисунок 2. Angular orientation 3
Рисунок 2. Angular orientation 4
Рисунок 2. Angular orientation 7
Рисунок 2. Angular orientation 8
Рисунок 2. Angular orientation 9
Рисунок 5. Base line, original
Рисунок 5. Burch, D. E. (1982) (308K, 1400-1850 cm⁻¹)
Рисунок 5. MT
C
KD 1.10 (295K, 1400-1850 cm⁻¹)
Рисунок 5. The CKD model (296K, 1400-1850 cm⁻¹)
Рисунок 5. This work (295 K, 1200-2000 cm⁻¹)
Рисунок 5. Tobin, D. C., et al. (1996), (296K, 1300-1950 cm⁻¹)
Рисунок 6. Base line, original
Рисунок 6. Paynter, D. J., et al. (2007) (296K, 3400-4000 cm⁻¹)
Рисунок 6. This work (293K, 3400-4000 cm⁻¹)
Рисунок 6. Burch, D.E., (1985), corrected. (296K, 3400-4000 cm⁻¹)
Рисунок 6. Model CKD 2.4. (293K, 3400-4000 cm⁻¹)
Рисунок 6. Model MT
C
KD 1.10. (293K, 3400-4000 cm⁻¹)
Рисунок 7. Base line, original
Рисунок 7. Model CKD 2.4. (293 K, 5000-5600 cm⁻¹)
Рисунок 7. Model MT-CKD 1.10. (293 K, 5000-5600 cm⁻¹)
Рисунок 7. Ptashnik, I. V., et al. (2004) (299K, 5000-5600 cm⁻¹)
Рисунок 7. This work (LPAC) (293 K, 5000-5600 cm⁻¹)
Рисунок 8. Base term, original
Рисунок 8. CKD 2.4, 293 K
Рисунок 8. MT-CKD 1.10 (293K, 6900-7500 cm⁻¹)
Рисунок 8. This work (LPAC) (293K, 6900-7500 cm⁻¹)
Рисунок 6. Fit to P.M. Rowe, et al. (2006) (1300-1500 cm⁻¹)
Рисунок 6. Fit to present experiment (1300-1500 cm⁻¹)
Рисунок 6. MT-CKD model (1300-1500 cm⁻¹)
Рисунок 6. P. M. Rowe, et al. (2006) (1300-1500 cm⁻¹)
Рисунок 6. Present results (1300-1500 cm⁻¹)
Рисунок 6a. Fit to P.M. Rowe, et al. (2006) (1580-1620 cm⁻¹)
Рисунок 6a. Fit to present experiment (1580-1620 cm⁻¹)
Рисунок 6a. MT-CKD model (1580-1620 cm⁻¹)
Рисунок 6a. P. M. Rowe, et al. (2006) (1580-1620 cm⁻¹)
Рисунок 6a. Present results (1580-1620 cm⁻¹)
Рисунок 6b. Fit to P.M. Rowe, et al. (2006) (1850-1990 cm⁻¹)
Рисунок 6b. Fit to present experiment (1850-1990 cm⁻¹)
Рисунок 6b. MT-CKD model (1850-1990 cm⁻¹)
Рисунок 6b. P. M. Rowe, et al. (2006) (1850-1990 cm⁻¹)
Рисунок 6b. Present results (1850-1990 cm⁻¹)
Рисунок 1a
Рисунок 4a
Рисунок 4b
Рисунок 4c
Рисунок 4d
Рисунок 4e
Рисунок 5a. F. Huisken, et al. (1996). The variation in vibrational frequencies
Рисунок 5a. The variation in vibrational frequencies as a function of n in small-sized water cluster
Рисунок 5b. An absolute infrared absorption intensities as a function of the number of n in small-sized water
Рисунок 5b. Ice
Рисунок 5b. M. N.Slipchenko, et al. (2006), S.Kuma, et al.(2006). Measured values
Рисунок 5b. S.S. Xantheas, et al. (1993), M. Losada, et al. (2002). Ab initio calculated intensities
Рисунок 3. Ab initio calculation at theory with BSSE correction (Geometry: 1)
Рисунок 3. Ab initio calculation at theory with BSSE correction (Geometry: 2)
Рисунок 3. Ab initio calculation at theory with BSSE correction (Geometry: 3)
Рисунок 3. Ab initio calculation at theory with BSSE correction (Geometry: 4)
Рисунок 3. Ab initio calculation at theory with BSSE correction (Geometry: 5)
Рисунок 3. Ab initio calculation at theory with BSSE correction (Geometry: 6)
Рисунок 3. Ab initio calculation at theory with BSSE correction (Geometry: 7)
Рисунок 3. Ab initio calculation at theory with BSSE correction (Geometry: 8)
Рисунок 3. Ab initio calculation at theory with BSSE correction (Geometry: 9)
Рисунок 3. H. Schindler, et al. (1993) 1
Рисунок 3. H. Schindler, et al. (1993) (Geometry 1)
Рисунок 3. H. Schindler, et al. (1993) (Geometry 4)
Рисунок 3. H. Schindler, et al. (1993) (Geometry 6)
Рисунок 3. H. Schindler, et al. (1993) (Geometry 7)
Рисунок 3. H. Schindler, et al. (1993) 2
Рисунок 8. Interaction energy of the CH₄-N₂ complex for the geometry 4. Ab initio calculation
Рисунок 8. Interaction energy of the CH₄-N₂ complex for the geometry 4. Esposti–Werner potential
Рисунок 8. Interaction energy of the CH₄-N₂ complex for the geometry 4. Lennard-Jonnes potential
Рисунок 4. A smoothed representation of the classical spectrum
Рисунок 4. The structured classical spectrum
Рисунок 4a. The structured classical spectrum
Рисунок 4a. The vertical lines represent the nearly exact quantum energies
Рисунок 1a. Le Doucen, et al. (1985)
Рисунок 1a. Meadows, V. S., et al. (1996)
Рисунок 1a. Perrin, M. Y., et al. (1989)
Рисунок 1a. The unmodified Lorentz line-shape
Рисунок 1a. Tonkov, M. V., et al. (1996)
Рисунок 1b. Le Doucen, at al. (1985). Effect of the chi factor on absorption by a single line
Рисунок 1b. Lorentz line-shape
Рисунок 1b. Meadows, V. S., at al. (1996). The effect of the chi factor on absorption by a single line
Рисунок 1b. Perrin, M.Y., at al. (1989). The effect of the chi factor on absorption by a single line
Рисунок 1b. Tonkov, M. V., et al. (1996). The effect of the chi factor on absorption by a single line
Рисунок 3a. CA parameterization of Earth
Рисунок 3a. GBKM parameterization Earth
Рисунок 3a. MT_CKD parameterization of Earth
Рисунок 3b. CA parameterization of Mars
Рисунок 3b. GBKM parameterization of Mars
Рисунок 3b. MTCKD parameterization of Mars
Рисунок 3c. Difference in OLR between the CA and GBKM parameterizations of Earth
Рисунок 3c. Difference in OLR between the CA and GBKM parameterizations of Mars
Рисунок 2a. One water molecule on average per droplet
Рисунок 2b. One water molecule on average per droplet (fragment)
Рисунок 2c. Three water molecules on average per droplet
Рисунок 7. D.E. Burch, et al (1979, 1982, 1984). Experiment (T=296K, 0-1150 cm⁻¹)
Рисунок 7. MT-CKD model, T=240 K
Рисунок 7. MT-CKD model, T=270 K
Рисунок 7. MT-CKD model, T=300 K
Рисунок 7. MT-CKD model, T=330 K
Рисунок 7. Present calculation (T=240K, 0-1150 cm⁻¹)
Рисунок 7. Present calculation (T=270K, 0-1150 cm⁻¹)
Рисунок 7. Present calculation (T=300K, 0-1150 cm⁻¹)
Рисунок 7. Present calculation (T=330K, 0-1150 cm⁻¹)
Рисунок 1a
Рисунок 2. Spectra recorded after annealing
Рисунок 2. Spectra recorded before annealing
Рисунок 3. Infrared spectra of H₂O/Ne = 1/140 matrix recorded at 3K. After annealing
Рисунок 3. Infrared spectra of H₂O/Ne = 1/140 matrix recorded at 3K. Before annealing
Рисунок 3a. After annealing
Рисунок 3a. Before annealing
Рисунок 3b. Infrared spectra of H₂O/Ne = 1/140 matrix. After annealing
Рисунок 3b. Infrared spectra of H₂O/Ne = 1/140 matrix. Before annealing
Рисунок 3c. After annealing. H₂O/Ne = 1/140 matrix
Рисунок 3c. Before annealing. H₂O/Ne = 1/140 matrix
Рисунок 5. Spectra of a H₂O/Ne = 1/140 matrix recorded at 3K after annealing
Рисунок 5. Spectra of a H₂O/Ne = 1/140 matrix recorded at 3K before annealing
Рисунок 1. Calculation
Рисунок 1. Observed
Рисунок 1a. Calculation
Рисунок 1a. Observed
Рисунок 1b. Calculation
Рисунок 1b. Observed
Рисунок 2. Observed
Рисунок 2. Simulation
Рисунок 2b. Observed
Рисунок 2b. Simulation
Рисунок 3. Observed
Рисунок 3. Simulation
Рисунок 3a. Observed
Рисунок 3a. Simulation
Рисунок 3b. Observed
Рисунок 3b. Simulation
Рисунок 3. Configuration 1. CCSD(T) calculations
Рисунок 3. Configuration 1. MP2 calculations
Рисунок 3. Configuration 2. CCSD(T) calculations
Рисунок 3. Configuration 2. MP2 calculations
Рисунок 3. Configuration 3. CCSD(T) calculations
Рисунок 3. Configuration 3. MP2 calculations
Рисунок 3. Configuration 4. CCSD(T) calculations
Рисунок 3. Configuration 4. MP2 calculations
Рисунок 3. Configuration 5. CCSD(T) calculations
Рисунок 3. Configuration 5. MP2 calculations
Рисунок 3. Configuration 6. CCSD(T) calculations
Рисунок 3. Configuration 6. MP2 calculations
Рисунок 3a. Configuration 4. CCSD(T) calculations
Рисунок 3a. Configuration 4. MP2 calculations
Рисунок 3a. Configuration 5. CCSD(T) calculations
Рисунок 3a. Configuration 5. MP2 calculations
Рисунок 4. Dipole model (mu
x
). Configuration 3. Analytical calculations with the exchange contribution
Рисунок 4. Dipole model (mu
x
). Configuration 3. Analytical calculations without the exchange contribution
Рисунок 4. Dipole model (mu
x
). Configuration 3. CCSD(T) calculations
Рисунок 4. Dipole model (mu
x
). Configuration 4. Analytical calculations with the exchange contribution
Рисунок 4. Dipole model (mu
x
). Configuration 4. Analytical calculations without the exchange contribution
Рисунок 4. Dipole model (mu
x
). Configuration 4. CCSD(T) calculations
Рисунок 4. Dipole model (mu
x
). Configuration 5. Analytical calculations with the exchange contribution
Рисунок 4. Dipole model (mu
x
). Configuration 5. Analytical calculations without the exchange contribution
Рисунок 4. Dipole model (mu
x
). Configuration 5. CCSD(T) calculations
Рисунок 4a. Dipole model (mu
y
). Configuration 4. Analytical calculations with the exchange contribution
Рисунок 4a. Dipole model (mu
y
). Configuration 4. Analytical calculations without the exchange contribution
Рисунок 4a. Dipole model (mu
y
). Configuration 4. CCSD(T) calculations
Рисунок 4a. Dipole model (mu
y
). Configuration 5. Analytical calculations with the exchange contribution
Рисунок 4a. Dipole model (mu
y
). Configuration 5. Analytical calculations without the exchange contribution
Рисунок 4a. Dipole model (mu
y
). Configuration 5. CCSD(T) calculations
Рисунок 1a. Baranov, Y.I., et al. (2004). Water dimer absorption. T=273K
Рисунок 1a. Gruszka et al. (1998). Induced dipole absorption. T=273K
Рисунок 1a. Infrared collision induced and far line absorption in dense CO2 atmospheres. T=273K
Рисунок 1b. Gruszka, M., et al, (1998) and Baranov Yu.I. et al. (2004). CIA absorption. T=200K
Рисунок 1b. Kasting et al. (1984). Comparison of the CIA absorption. Parameterisation
Рисунок 1c. Gruszka, M., et al, (1998) and Baranov Yu.I. et al. (2004). CIA absorption. T=250K
Рисунок 1c. Kasting et al. (1984). Comparison of the CIA absorption. Parameterisation
Рисунок 1d. Gruszka, M., et al, (1998) and Baranov Yu.I. et al. (2004). CIA absorption. T=300K
Рисунок 1d. Kasting et al. (1984) Comparison of the CIA absorption. Parameterisation
Рисунок 3. (15 atm)
Рисунок 3. (19 atm)
Рисунок 3. (24 atm)
Рисунок 3. (29 atm)
Рисунок 3. (34 atm)
Рисунок 3. (39 atm)
Рисунок 3. (44 atm)
Рисунок 3a. (15 atm)
Рисунок 3a. (19 atm)
Рисунок 3a. (24 atm)
Рисунок 3a. (29 atm)
Рисунок 3a. (34 atm)
Рисунок 3a. (39 atm)
Рисунок 3a. (44 atm)
Рисунок 5a. Calculated with the new version taking into account line-mixing P=76.0 atm
Рисунок 5a. Calculated with the old version neglecting line-mixing P=76.0 atm
Рисунок 5a. Measured values P=76.0 atm
Рисунок 5b. Calculated with the new version taking into account line-mixing P=47.6 atm
Рисунок 5b. Calculated with the old version neglecting line-mixing P=47.6 atm
Рисунок 5b. Measured values P=47.6 atm
Рисунок 5c. Calculated with the new version taking into account line-mixing P=28.1 atm
Рисунок 5c. Calculated with the old version neglecting line-mixing P=28.1 atm
Рисунок 5c. Measured values P=28.1 atm
Рисунок 8a. Calculated with the new version taking into account line-mixing. T=72.3 atm
Рисунок 8a. Calculated with the old version neglecting line-mixing T=72.3 atm
Рисунок 8a. Measured values 72.3 atm
Рисунок 8b. Calculated with the new version taking into account line-mixing. T=29.9 atm
Рисунок 8b. Calculated with the old version neglecting line-mixing. T=29.9 atm
Рисунок 8b. Measured values. T=29.9 atm
Рисунок 9a. Calculated with the new version taking into account line-mixing. T=54.0 atm
Рисунок 9a. Calculated with the old version neglecting line-mixing. T=54.0 atm
Рисунок 9a. Measured values. T=54.0 atm
Рисунок 9b. Calculated with the new version neglecting line-mixing. T=35.6 atm
Рисунок 9b. Calculated with the new version taking into account line-mixing. T=35.6 atm
Рисунок 9b. Measured values. T=35.6 atm
Рисунок 9c. Calculated with the new version taking into account line-mixing. T=20.1 atm
Рисунок 9c. Calculated with the old version neglecting line-mixing. T=20.1 atm
Рисунок 9c. Measured values. T=20.1 atm
Рисунок 6. Classical model [Eq. (8)]
Рисунок 6. Classically treated free rotating molecules [Eq. (6)]
Рисунок 6. J.M.Hartmann et al. (1989), R.Le Doucen, et al. (1985). Measured values
Рисунок 6. MDS calculations [Eqs. (2) and (4)]
Рисунок 6. Using Lorentzian line shapes
Рисунок 7. Lorentzian line shapes [Eq. (8)]
Рисунок 7. MDS calculations [Eqs. (2) and (4)]
Рисунок 7. Present measured values
Рисунок 7. R. Le Doucen, et al, (1985). Measured values
Рисунок 6. H.Tran, et al. (2006)
Рисунок 6. a-1
Рисунок 6a-3
Рисунок 6a-4
Рисунок 6a-5
Рисунок 10. Lee M.-S., et al (2008). Water Dimer
Рисунок 10. MTCKD-1.3 (296K)
Рисунок 10. Scribano Y., et al. (2007). Water Dimer
Рисунок 10. Viktorova A.A., et al. (1970). Water Dimer
Рисунок 10a. Burch D. (1982) (296K, 300-1100 cm⁻¹)
Рисунок 10a. Lee M.-S., et al. (2008). Water Dimer
Рисунок 10a. MTCKD-1.3 (296K)
Рисунок 10a. Scribano Y., et al. (2007). Water Dimer
Рисунок 10b. Lee M.-S., et al. (2008)/Burch D. (1982)
Рисунок 10b. Lee M.-S., et al. (2008)/MTCKD-1.3
Рисунок 10b. Scribano Y., et al. (2007)/Burch D. (1981)
Рисунок 10b. Scribano Y., et al. (2007)/MTCKD-1.3
Рисунок 5A. Bound water dimers
Рисунок 5A. Paynter D.J., et al. (2009). Experimental continuum
Рисунок 5A. Quasi-bound dimers
Рисунок 5A. Total simulated spectrum of water dimers
Рисунок 5a. Kjaergaard H., et al. (2008). Bound water dimers
Рисунок 5aB. The experimental water vapour self-continuum
Рисунок 5aB. The quasi- bound water dimers
Рисунок 5aB. Total simulated spectrum of water dimers
Рисунок 5b. Averaged spectra of the retrieved self-continuum C
s
(296K)
Рисунок 5b. Averaged spectra of the retrieved self-continuum C
s
(330K)
Рисунок 5b. Averaged spectra of the retrieved self-continuum C
s
(351K)
Рисунок 5c. Averaged spectra of the retrieved self-continuum C
s
(296K)
Рисунок 5c. Averaged spectra of the retrieved self-continuum C
s
(351K)
Рисунок 5c. Averaged spectra of the retrieved self-continuum C
s
(317K)
Рисунок 5d. Cs(296K)/Cs(351K)
Рисунок 5e. Cs (296 K)/Cs(351 K)
Рисунок 6. Bicknell et al. (2006) (298K)
Рисунок 6. Burch et al. (1984) (296K, 2400-2800 cm⁻¹)
Рисунок 6. MTCKD-1-3 (2006) (296K)
Рисунок 6. MTCKD-2-5 (2010) (296K)
Рисунок 6. Ptashnik et al. (2011) (293K, 1500-5500 cm⁻¹)
Рисунок 6. Tipping et al. (1995) (296K, 1000-7000 cm⁻¹)
Рисунок 6. Water dimers (2008)
Рисунок 6. Watkins et al. (1979) (298K)
Рисунок 7. Baranov et al. (2008) (296K) (extrapol)
Рисунок 7. Baranov et al. (2008) (311K)
Рисунок 7. Baranov et al. (2008) (326K)
Рисунок 7. Baranov et al. (2008) (363K)
Рисунок 7. Burch et al. (1984) (296K)
Рисунок 7. MTCKD-2.5 (2010) (296K)
Рисунок 7. MTCKD-2.5 (2010) (311K)
Рисунок 7. MTCKD-2.5 (2010) (326K)
Рисунок 7. MTCKD-2.5 (2010) (363K)
Рисунок 7. Ma et al. (2008) (296K)
Рисунок 7. Ma et al. (2008) (311K)
Рисунок 7. Ma et al. (2008) (326K)
Рисунок 7. Ma et al. (2008) (363K)
Рисунок 7. Taylor et al. (2003) (296K)
Рисунок 8. 190 GHz. Bauer A., et al. (1991)
Рисунок 8. 239 GHz. Bauer A., et al. (1995)
Рисунок 8. Bauer A., et al. (1995). Fitting. 239 GHz
Рисунок 8. Fitting. 190 GHz. Bauer A., et al. (1991)
Рисунок 8a. 10P(20). Arefev V.N. (1989)
Рисунок 8a. 10P(20). Hinderling J., et al. (1987)
Рисунок 8a. 10P(24). Hinderling J., et al. (1987)
Рисунок 8a. Fitting
Рисунок 3. Experiment (271K, 105-145 GHz)
Рисунок 3. Experiment (286K, 105-145 GHz)
Рисунок 3. Experiment (299K, 105-145 GHz)
Рисунок 3. Experiment (311K, 105-145 GHz)
Рисунок 3. Fitting (271K, 60-150 GHz)
Рисунок 3. Fitting (286K, 60-150 GHz)
Рисунок 3. Fitting (299K, 60-150 GHz)
Рисунок 3. Fitting (311K, 60-150 GHz)
Рисунок 1a
Рисунок 1b
Рисунок 1c
Рисунок 1d
Рисунок 1e
Рисунок 1f
Рисунок 1g
Рисунок 1a
Рисунок 1a
Рисунок 1a
Рисунок 1b
Рисунок 1c
Рисунок 4a. Bag-A
Рисунок 4a. Bag
Рисунок 4b. Boat-I
Рисунок 4b. Boat
Рисунок 4c. Book-I
Рисунок 4c. Book
Рисунок 4d. Cage-I
Рисунок 4d. Cage
Рисунок 4e. Prism-I
Рисунок 4e. Prism
Рисунок 4f. Ring-I
Рисунок 4f. Ring
Рисунок 6a. n=7-I
Рисунок 6a. n=7
Рисунок 6b. n=8-I
Рисунок 6b. n=8
Рисунок 6c. n=9-I
Рисунок 6c. n=9
Рисунок 1. The background signal from the dimer
Рисунок 1. The enhancement signal from the dimer
Рисунок 6. The curve H/D close to 1
Рисунок 6. The curve a trace of HDO in a H₂O experiment
Рисунок 1a. Infrared spectrum of a H₂O/Ne = 1/150 matrix. After annealing
Рисунок 1a. Infrared spectrum of a H₂O/Ne = 1/150 matrix. Before annealing
Рисунок 1a
Рисунок 1b
Рисунок 1c
Рисунок 2a
Рисунок 3a. Spectrum of H₂O trapped in Ne (H₂O/Ne = 1/150). After annealing
Рисунок 3a. Spectrum of H₂O trapped in Ne (H₂O/Ne = 1/150). Before annealing
Рисунок 3a
Рисунок 4. Water trapped in Ne (H₂O/Ne = 1/1500). Recorded at 3K after annealing at 11K
Рисунок 4. Water trapped in Ne (H₂O/Ne = 1/1500). Recorded at 3K after deposition
Рисунок 4. Water trapped in Ne (H₂O/Ne = 1/1500). Recorded at 3K
Рисунок 4. Water trapped in Ne (H₂O/Ne = 1/1500). Recorded at 9.8K
Рисунок 5. Intermolecular mode at 92.6 cm⁻¹ measured after annealing at 11K
Рисунок 5. Component 0
s
--> 1
a
of (1 0 0) PA recorded after annealing at 12K
Рисунок 1. ¹⁸O/¹⁶O=0
Рисунок 1. ¹⁸O/¹⁶O=1
Рисунок 1. ¹⁸O/¹⁶O=3
Рисунок 1b. Ratio of isotopes 18O/16O=0
Рисунок 1b. Ratio of isotopes 18O/16O=1
Рисунок 1b. Ratio of isotopes 18O/16O=3
Рисунок 2. Monomer H₂O
Рисунок 2c. Ratio of isotopes 18O/16O=0.2
Рисунок 2c. Ratio of isotopes 18O/16O=0
Рисунок 2c. Ratio of isotopes 18O/16O=5
Рисунок 3a. (CO₂)₆. Observed spectra
Рисунок 3b. Simulated spectra
Рисунок 3c. (CO₂)₆. Simulated spectrum
Рисунок 3d. Band of (CO₂)₂
Рисунок 3e. Observed spectrum
Рисунок 3f. The cyclic isomers of (CO₂)₃
Рисунок 3g. The noncyclic isomers of (CO₂)₃
Рисунок 1. Baranov, Yu. I. et al. (2008) (311K, 1800-3500 cm⁻¹)
Рисунок 1. Bicknell, W. E. et al. (2006) (298K, 6110-6190 cm⁻¹)
Рисунок 1. Burch, D. E., et al. (1984) (296K, 2380-2900 cm⁻¹)
Рисунок 1. CAVIAR (293K, 1600-5800 cm⁻¹)
Рисунок 1. Fulghum, S. F., et al. (1991) (303K, 9490 cm⁻¹)
Рисунок 1. MT-CKD 2.4 model
Рисунок 1. MT-CKD 2.5 model
Рисунок 1. Tipping, R. H., et al. (1995)
Рисунок 1. Water dimers
Рисунок 1. Watkins, W. R. et al. (1979) (296K, 2450-2850 cm⁻¹)
Рисунок 7. MTCKD-2.5 (350K)
Рисунок 7. MTCKD-2.5 (374K)
Рисунок 7. MTCKD-2.5 (402K)
Рисунок 7. MTCKD-2.5 (431K)
Рисунок 7. MTCKD-2.5 (472K)
Рисунок 7. CAVIAR (350K)
Рисунок 7. CAVIAR (375K)
Рисунок 7. CAVIAR (402K)
Рисунок 7. CAVIAR (431K)
Рисунок 7. CAVIAR (472K)
Рисунок 7.Baranov, Yu.I., et al. (2011) (352K)
Рисунок 7.Burch D.E. et al. (1984) (338K, 2400–2800 cm⁻¹)
Рисунок 7.Burch D.E. et al. (1984) (384K, 2400–2800 cm⁻¹)
Рисунок 7.Burch D.E. et al.t (1984) (428K, 2400-2800cm⁻¹)
Рисунок 7.Hartmann et al. (1993) (575K)
Рисунок 7.Paynter et al. (2009) (351K)
Рисунок 9. Baranov et al. (2011) (2400 cm⁻¹)
Рисунок 9. Baranov et al. (2011) (2500 cm⁻¹)
Рисунок 9. Baranov et al. (2011) (2600 cm⁻¹)
Рисунок 9. Bicknell et al. (2006) (6100 cm⁻¹)
Рисунок 9. Bicknell, W.E., et al. (2006) (6200 cm⁻¹)
Рисунок 9. Burch et al. (1984) (2600 cm⁻¹)
Рисунок 9. Burch, D.E., et al. (1984) (2400 cm⁻¹)
Рисунок 9. Burch, D.E., et al. (1984) (2500 cm⁻¹)
Рисунок 9. Hartmann, J.M., et al. (1993) (2400 cm⁻¹)
Рисунок 9. Hartmann, J.M., et al. (1993) (2500 cm⁻¹)
Рисунок 9. Hartmann, J.M., et al. (1993) (2600 cm⁻¹)
Рисунок 9. Hartmann, J.M., et al. (1993) (4190 cm⁻¹)
Рисунок 9. Hartmann, J.M., et al. (1993) (4310 cm⁻¹)
Рисунок 9. Hartmann, J.M., et al. (1993) (4400 cm⁻¹)
Рисунок 9. Hartmann, J.M., et al. (1993) (4490 cm⁻¹)
Рисунок 9. RAL 2400 cm⁻¹
Рисунок 9. RAL 2500 cm⁻¹
Рисунок 9. RAL 2600 cm⁻¹
Рисунок 9. RAL 4200 cm⁻¹
Рисунок 9. RAL 4300 cm⁻¹
Рисунок 9. RAL 4400 cm⁻¹
Рисунок 9. RAL 4500 cm⁻¹
Рисунок 9. RAL 4600 cm⁻¹
Рисунок 9. RAL 5800 cm⁻¹
Рисунок 9. RAL 5900 cm⁻¹
Рисунок 9. RAL 6000 cm⁻¹
Рисунок 9. RAL 6100 cm⁻¹
Рисунок 9. RAL 6200 cm⁻¹
Рисунок 9. RAL 6300 cm⁻¹
Рисунок 13. Burch et al., (1969). The kappa factor for modeling CO2 lineshape
Рисунок 13. Meadows, V.S., et al., (1996). The kappa factor for modeling CO2 lineshape
Рисунок 13. The Lorentz case corresponds to kappa = 1
Рисунок 13. The kappa factor we used for modeling CO2 lineshape
Рисунок 13. Tonkov M.V., et al., (1996). The kappa factor for modeling CO2 lineshape
Рисунок 2. Average IR spectrum, 1060-1220 nm
Рисунок 2. CO2 wings of v1+3v3,1175-1213 nm
Рисунок 2. CO2 5v1+v3 series, 1106-1172 nm
Рисунок 2. CO2 hot bands, 2v1+3v3, 1065-1104 nm
Рисунок 2. H2O v1+v2+v3 , 1098-1188 nm
Рисунок 10a. Calculation with line-mixing, present work T=295K
Рисунок 10a. Experiment present work. T=295K
Рисунок 10a. Le Doucen R., et al. (1985). Experiment
Рисунок 10a. Menoux V., et al. (1987). Experiment
Рисунок 10a. Perrin M.Y., et al. (1989). Experiment
Рисунок 10b. Calculation with line-mixing, present work. T=473K
Рисунок 10b. Experiment present work. T=473K
Рисунок 11a. Calculation with line-mixing, present work. T=218 K
Рисунок 11a. Le Doucen R., et al. (1985). Experiment. T=218 K
Рисунок 11b. Calculation with line-mixing, present work. T=751K
Рисунок 11b. Perrin M.Y., et al. (1989).Experiment. T=751 K
Рисунок 12a. Present calculation with line-mixing, the v1+v3 band. T=230K
Рисунок 12a. Present experiment, the v1+v3 band. T=230K
Рисунок 12b. Present calculation with line-mixing, the v1+v3 band. T=260K
Рисунок 12b. Present experiment, the v1+v3 band. T=260K
Рисунок 12c. Present calculation with line-mixing, the v1+v3 band. T=295K
Рисунок 12c. Present experiment, the v1+v3 band. T=295K
Рисунок 12c. Tonkov M.V., et al. (1996). Experiment, the v1+v3 band. T=295K
Рисунок 12d. Present calculation with line-mixing, the v1+v3 band. T=373K
Рисунок 12d. Present experiment, the v1+v3 band. T=373K
Рисунок 3a. Experiment present work T=294K, 2400-2600 cm-1
Рисунок 3a. Le Doucen R, Cousin C, et al. (1985). Experiment. T=294K, 2400-2600 cm-1
Рисунок 3a. Perrin M.Y., Hartmann J.M. (1989). Experiment. T=294K, 2400-2600 cm-1
Рисунок 3b. Burch D.E., Gryvnak D.A., et al. (1969). Experiment. T=294K, 3750-4000 cm-1
Рисунок 3b. Experiment present work T=294K, 3750-4000 cm-1
Рисунок 3b. Tonkov M.V., Filippov N.N., et al. (1996). Experiment. T=294K, 3750-4000 cm-1
Рисунок 6a. Calculation with line-mixing, present work T=294K, 51.28 amagat, 6850-7050 cm-1
Рисунок 6a. Calculation without line-mixing, present work T=294K, 51.28 amagat, 6850-7050 cm-1
Рисунок 6a. Experiment present work T=294K, 51.28 amagat, 6850-7050 cm-1
Рисунок 6b. Calculation with line-mixing, present work T=294K, 51.28 amagat, 8100-8400 cm-1
Рисунок 6b. Calculation without line-mixing, present work T=294K, 51.28 amagat, 8100-8400 cm-1
Рисунок 6b. Experiment present work T=294K, 51.28 amagat, 8100-8400 cm-1
Рисунок 7a. Calculation with line-mixing, present work T=294K, NCO2 = 35:51 amagat,
Рисунок 7a. Calculation without line-mixing, present work T=294K, NCO2 = 35:51 amagat,
Рисунок 7a. Experiment present work T=294K, NCO2 = 35:51 amagat
Рисунок 7b. Calculation with line-mixing, present work T=373K, NCO2 = 31:93 amagat
Рисунок 7b. Calculation without line-mixing, present work T=373K, NCO2 = 31:93 amagat
Рисунок 7b. Experiment present work T=373K, NCO2 = 31:93 amagat
Рисунок 7c. Calculation with line-mixing, present work T=473K, NCO2 = 23:63 amagat
Рисунок 7c. Calculation without line-mixing, present work T=473K, NCO2 = 23:63 amagat
Рисунок 7c. Experiment present work T=473K, NCO2 = 23:63 amagat
Рисунок 8a. Calculated with taking into account line-mixing T=294K, NCO2 =51.28 amagat
Рисунок 8a. Calculated without taking into account line-mixing T=294K, NCO2 =51.28 amagat
Рисунок 8a. Experiment T=294K, NCO2 =51.28 amagat
Рисунок 8b. Calculated with taking into account line-mixing T=373K, NCO2 = 31:93 amagat
Рисунок 8b. Calculated without taking into account line-mixing T=373K, NCO2 = 31:93 amagat
Рисунок 8b. Experiment T=373K, NCO2 = 31:93 amagat
Рисунок 8c. Calculated with taking into account line-mixing. T=473K, NCO2 = 23.63amagat
Рисунок 8c. Calculated without taking into account line-mixing. T=473K, NCO2 = 23.63amagat
Рисунок 8c. Experiment. T=473K, NCO2 = 23.63amagat
Рисунок 9a. Calculation with line-mixing, present work T=260K
Рисунок 9a. Calculation without line-mixing, present work T=260K
Рисунок 9a. Experiment present work T=260K
Рисунок 9a. LeDoucen R,, et al. (1985). Experiment. T=260K
Рисунок 9b. Calculation with line-mixing, present work. T=296
Рисунок 9b. Calculation without line-mixing, present work. T=296
Рисунок 9b. Experiment present work T=296
Рисунок 9c. Calculation with line-mixing, present work T=373K
Рисунок 9c. Calculation without line-mixing, present work T=373K
Рисунок 9c. Experiment present work T=373K
Рисунок 9d. Calculation with line-mixing, present work T=473K
Рисунок 9d. Calculation without line-mixing, present work T=473K
Рисунок 9d. Experiment present work T=473K
Рисунок 3. Data on CIA in the B-band are from the present work (part 1)
Рисунок 3. Data on CIA in the B-band are from the present work (part 2)
Рисунок 3. Data on CIA in the B-band are from the present work
Рисунок 3. H. Tran, et al. (2006)
Рисунок 3. Spiering F.R., et al. (2010)
Рисунок 5. Burch D. E., et al. (1979)
Рисунок 5. Cutten D.R. (1979)
Рисунок 5. Devir A.D., et al. (1992)
Рисунок 5. MTCKD 2.5 (310.9K)
Рисунок 5. MTCKD 2.5 (325.5K)
Рисунок 5. MTCKD 2.5 (351.6K)
Рисунок 5. NIST (310.9K)
Рисунок 5. NIST (325.5K)
Рисунок 5. NIST (351.6K)
Рисунок 5. This work (T=311K)
Рисунок 5. This work (T=325K)
Рисунок 5. This work (T=357K)
Рисунок 5. Watkins W.R., et al. (1979)
Рисунок 6. Barton I.J. (estimate from NIMBUS-5, 1981)
Рисунок 6. Bignell K.J. (1970)
Рисунок 6. Burch D.E., et al. (1971) (2460 cm⁻¹)
Рисунок 6. Burch D.E., etal. (1984)
Рисунок 6. MT-CKD 2.4 model
Рисунок 6. MTCKD 2.4 model
Рисунок 6. MTCKD 2.4 model
Рисунок 6. MTCKD 2.5 model
Рисунок 6. MTCKD 2.5 model
Рисунок 6. Ma Q. Theory (2008)
Рисунок 6. Watkins W.R., et al. (1979) (296K, 2460 cm⁻¹)
Рисунок 3. Continuum absorption coefficient (2475 cm⁻¹)
Рисунок 3. Mean value
Рисунок 4. Brown A., et al. (2003) (2000-2800 cm⁻¹)
Рисунок 4. Burch D.E., et al. (1984) (296K, 2560-2630 cm⁻¹)
Рисунок 4. CIA [8] + MT-CKD (2000-2700 cm⁻¹)
Рисунок 4. MT-CKD 2.5 model (2000-3250 cm⁻¹)
Рисунок 4. Present experiment (2000-3250 cm⁻¹)
Рисунок 4. Present experiment at selected frequencies (339 K, 2000-3250 cm⁻¹)
Рисунок 4. Watkins W.R., et al. (1979) (2420-2900 cm⁻¹)
Рисунок 5. Water–nitrogen continuum absorption coefficient (326K, 2004-2350.5 cm⁻¹)
Рисунок 5. Water–nitrogen continuum absorption coefficient (339K, 2004-2350.5 cm⁻¹)
Рисунок 5. Water–nitrogen continuum absorption coefficient (352K, 2004-2350.5 cm⁻¹)
Рисунок 5. Water–nitrogen continuum absorption coefficient (363K, 2004-2350.5 cm⁻¹)
Рисунок 2. G.Birnbaum, et al. (1971)
Рисунок 2. The present measurements
Рисунок 2. J.E.Harries, et al. (1970)
Рисунок 2. Arefev, V. N. (1989) (800-1200 cm⁻¹)
Рисунок 2. Burch, D.E., et al. (1984) (296K, 800-1000 cm⁻¹)
Рисунок 2. Cormier et al. (2005) (326K, 950 cm⁻¹)
Рисунок 2. Hinderling et al. (1987) (298K, 940-950 cm⁻¹)
Рисунок 2. Loper, G.L., et al. (1983) (296K, 940-950 cm⁻¹)
Рисунок 2. MT-CKD model calculation (800-1200 cm⁻¹)
Рисунок 2. Nordstrom, R.J., et al. (1978) (cell, 296K)
Рисунок 2. Our experimental data (326K, 800-1300 cm⁻¹)
Рисунок 2. Our experimental data (circles)
Рисунок 2. Peterson, J.C., et al. (1979) (298K, 930-1100 cm⁻¹)
Рисунок 2. Peterson, J.C., et al. (1979) (298K, 930-950 cm⁻¹)
Рисунок 3. Baranov, Yu.I., et al. (2008) (310.8K)
Рисунок 3. Baranov, Yu.I., et al. (2008) (325.8K)
Рисунок 3. Baranov, Yu.I., et al. (2008) (351.9K)
Рисунок 3. Baranov, Yu.I., et al. (2011) (310.8K)
Рисунок 3. Baranov, Yu.I., et al. (2011) (325.8K)
Рисунок 3. Baranov, Yu.I., et al. (2011) (351.9K)
Рисунок 3. Burch, D.E., et al. (1984) (296K, 2200-2700 cm⁻¹)
Рисунок 3. Burch, D.E., et al. (1984) (328K)
Рисунок 3. MT CKD (310.8K)
Рисунок 3. MT CKD (325.8K)
Рисунок 3. MT CKD (351.9K)
Рисунок 3. Ptashnik et al. (2011) (293K)
Рисунок 3. Ptashnik et al. (2011) (350K)
Рисунок 3. Watkins et al. (1979) (298K)
Рисунок 4. Baranov, Yu. I. (2011)
Рисунок 4. Brown, A., et al. (2004) (326K, 1200-270 cm⁻¹)
Рисунок 4. Burch, D.E., et al. (1984) (296K, 700-2700 cm⁻¹)
Рисунок 4. MT CKD continuum model (296K)
Рисунок 4. Present work data
Рисунок 4. Ptashnik, I. V., et al. (2012)
Рисунок 4. Watkins, W.R., et al. (1979) (298K)
Таблица 3. Spectrally smoothed absorption cross section
Рисунок 4. Mlawer, E. J., et al., (2012). MTCKD-2.5
Рисунок 4. This work: H2O+air, 350 K
Рисунок 4. This work: H2O+air, 372 K
Рисунок 4. This work: H2O+air, 402 K
Рисунок 4. This work: H2O+air, 431 K
Рисунок 4. Tipping, R. H., et al., (2012). Far wings
Рисунок 5. Baranov Yu. (2011) (339 K)
Рисунок 5. Brown, A. et al. (2003), N₂ + H₂O CIA
Рисунок 5. MTCKD-2.5
Рисунок 5. This work: H₂O+air (402K)
Рисунок 5. Tipping, R.H. et al. (1995), far wings
Рисунок 6. MTCKD-2.5 (Cs modified)
Рисунок 6. MTCKD-2.5
Рисунок 6. This work
Рисунок 7. Downwelling flux at surface/5
Рисунок 7. MTCKD-MTCKD (Cf modified)
Рисунок 7. MTCKD-MTCKD (Cs modified)
Рисунок 7a. Extra absorption MTCKD-MTCKD (Cf modified)
Рисунок 7a. Extra absorption MTCKD-MTCKD (Cs modified)
Рисунок 7b. (extra Cf)*5
Рисунок 7b. (extra Cs)*5
Рисунок 7b. UCL08+MTCKD(Cs and Cf modified)
Рисунок 7b. UCL08+MTCKD-2.5
Рисунок 5. Burch D.E., et al. (1984). (2550-2630 cm⁻¹)
Рисунок 5. Extrapolated absorption owing to neighbouring H₂O + N₂ continuum bands
Рисунок 5. MT-CKD model
Рисунок 5. Present experiment. (352 K, 2000-3000 cm⁻¹)
Рисунок 5. Watkins, W. R., et al. (298K, 2400-2900 cm⁻¹)
Рисунок 1. Allowed term (0-2000 cm⁻¹)
Рисунок 1. Total continuum (0-2000 cm⁻¹)
Рисунок 1. Weak interaction term (0-2000 cm⁻¹)
Рисунок 2. Conformation A (CP)
Рисунок 2. Conformation A (NCP)
Рисунок 2. Conformation B (CP)
Рисунок 2. Conformation B (NCP)
Рисунок 3a
Рисунок 3b
Рисунок 3c
Рисунок 2. J. H. Dymond, et al., (1980). Second virial coefficients for the CO2–CO2 system: experimental data
Рисунок 2. J.C. Holste, et al., (1987). Second virial coefficients for the CO2–CO2 system: experimental data
Рисунок 2. Second virial coefficients calculated from the MP2 PES
Рисунок 2. Second virial coefficients calculated from the bond–bond PES with optimized potentials
Рисунок 2. Second virial coefficients calculated from the bond–bond PES with predicted potentials
Рисунок 2. W. Duscheck, et al. (1990). Second virial coefficients for the CO2–CO2 system: experimental data
Рисунок 4. One stretched monomer. H-configuration
Рисунок 4. One stretched monomer. L- configuration
Рисунок 4. One stretched monomer. S₄₅- configuration
Рисунок 4. One stretched monomer. S₆₀- configuration
Рисунок 4. One stretched monomer. T
a
-configuration
Рисунок 4. One stretched monomer. T
b
-configuration
Рисунок 4. One stretched monomer. X-configuration
Рисунок 4. Rigid monomers. H configuration
Рисунок 4. Rigid monomers. L configuration
Рисунок 4. Rigid monomers. S₄₅ configuration
Рисунок 4. Rigid monomers. S₆₀-configuration
Рисунок 4. Rigid monomers. T
a
-configuration
Рисунок 4. Rigid monomers. X-configuration
Рисунок 4a. One stretched monomer. H-configuration
Рисунок 4a. One stretched monomer. L-configuration
Рисунок 4a. One stretched monomer. S₄₅-configuration
Рисунок 4a. One stretched monomer. S₆₀-configuration
Рисунок 4a. One stretched monomer. T
a
-configuration
Рисунок 4a. One stretched monomer. T
b
-configuration
Рисунок 4a. One stretched monomer. X-configuration
Рисунок 4a. Rigid monomers. H-configuration
Рисунок 4a. Rigid monomers. L-configuration
Рисунок 4a. Rigid monomers. S₆₀-configuration
Рисунок 4a. Rigid monomers. T
a
-configuration
Рисунок 4a. Rigid monomers. T
b
-configuration
Рисунок 4a. Rigid monomers. X-configuration
Рисунок 5. One stretched monomer. L-configuration
Рисунок 5. One stretched monomer. S₄₅-configuration
Рисунок 5. One stretched monomer. S₆₀-configuration
Рисунок 5. One stretched monomer. T
a
-configuration
Рисунок 5. One stretched monomer. T
b
-configuration
Рисунок 5. One stretched monomer. X-configuration
Рисунок 5. Rigid monomers. 1-configuration
Рисунок 5. Rigid monomers. 5-configuration
Рисунок 5. Rigid monomers. H-configuration
Рисунок 5. Rigid monomers. L-configuration
Рисунок 5. Rigid monomers. T
a
-configuration
Рисунок 5. Rigid monomers. X-configuration
Рисунок 5a. One stretched monomer. H-configuration
Рисунок 5a. One stretched monomer. L-configuration
Рисунок 5a. One stretched monomer. S₆₀-configuration
Рисунок 5a. One stretched monomer. T
a
-configuration
Рисунок 5a. One stretched monomer. T
b
-configuration
Рисунок 5a. One stretched monomer. X-configuration
Рисунок 5a. Rigid monomers. 4-configuration
Рисунок 5a. Rigid monomers. H-configuration
Рисунок 5a. Rigid monomers. L-configuration
Рисунок 5a. Rigid monomers. S₄₅-configuration
Рисунок 5a. Rigid monomers. T
a
-configuration
Рисунок 5a. Rigid monomers. X-configuration
Рисунок 6b. Intensities in Ames-296, 0-3000 cm-1
Рисунок 6b. Intensities in HITRAN2008, 0-3000 cm-1
Рисунок 6c. Intensities in Ames-296, 0-13000 cm-1
Рисунок 6c. Intensities in HITRAN2008, 8000-13000 cm-1
Рисунок 6а. Intensities in Ames-296, 0-13000 cm-1
Рисунок 6а. Intensities in HITRAN2008, 0-13000 cm-1
Рисунок 1. Tassaing et al. (2002)
Рисунок 1. This work
Рисунок 1. Vigasin et al. (2008)
Рисунок 1a. Tassaing et al. (2002)
Рисунок 1a. This work
Рисунок 1a. Vigasin et al. (2008)
Рисунок 10. Calculations from the second virial coefficient
Рисунок 2. Absorption coefficient (2400–2700 cm–1, 296K)
Рисунок 2. Absorption coefficient (2400–2700 cm–1, 328K)
Рисунок 2. Absorption coefficient (2400–2700 cm–1, 338K)
Рисунок 2. Absorption coefficient (2400–2700 cm–1, 384K)
Рисунок 2. Absorption coefficient (2400–2700 cm–1, 428K)
Рисунок 2. D.E. Burch (1982). Absorption coefficient (2400–2700 cm–1, 338K)
Рисунок 2. D.E. Burch (1982). Absorption coefficient (2400–2700 cm–1, 384K)
Рисунок 2. D.E. Burch (1982). Absorption coefficient (2400–2700 cm–1, 428K)
Рисунок 2. D.E. Burch, et al. (1984). Absorption coefficient (2400–2700 cm–1, 296K)
Рисунок 2. D.E. Burch, et al. (1984). Absorption coefficient (2400–2700 cm–1, 328K)
Рисунок 4. Bound dimer
Рисунок 4. Bound trimmer
Рисунок 4. Metastable dimer
Рисунок 4. Metastable trimer
Рисунок 4. Monomer
Рисунок 4. Vigasin A.A., et al. (2008). Experiment
Рисунок 1. Model dimer absorption
Рисунок 1.Calculated water monomer spectrum
Рисунок 1.Observed spectrum without monomer contribution
Рисунок 2. Observed dimer spectrum
Рисунок 2a. C. Leforestier, et al. (2010). Collision induced absorption
Рисунок 2a. Y. Scribano et al. (2007). Calculated dimer spectrum
Рисунок 2b. M.A.Koshelev, et al. (2011). Measured water vapor continuum
Таблица 1. Absorption cross-section of the self-continuum. H₂O. (T=298K)
Таблица 1. The total error of the retrieval Cs + DCs
Таблица 1. The total error of the retrieval Cs - DCs
Таблица 2. Absorption cross-section of the self-continuum. H₂O. (T=318K)
Рисунок 2. The total error of the retrieval Cs + DCs
Рисунок 2. The total error of the retrieval Cs - DCs
Рисунок 3. Air-broadened spectrum with continuum absorption (0-200 GHz)
Рисунок 3. Calculatedair-broadened spectrum (0-200 GHz)
Рисунок 3. Continuum absorption (2-200 GHz)
Рисунок 4
Рисунок 3. Calculations for the true bound dimer fraction
Рисунок 3. Free pair partial intensities
Рисунок 3. Metastable pair partial intensities
Рисунок 3. True bound pair partial intensities
Рисунок 5. Equilibrium constant for (CH₄)₂ dimer. True bound dimers calculated using ab initio PES
Рисунок 5. Equilibrium constant for (CH₄)₂ dimer. Calculations assuming isotropic Lennard–Jones potential
Рисунок 5. Equilibrium constant for (CH₄)₂. K
bound
PT
(T) by multiplying it by ratio Z₂
bm
/Z₂
b
Рисунок 3a. Experiment. (2v1+v2)II. T=297K, 3 amagat
Рисунок 3a. Sum of Lorentzians. 2v1+v2)II. T=297K, 3 amagat
Рисунок 3b. Experiment. (v2+2v3). T=297K, 3 amagat
Рисунок 3b. Sum of Lorentzians. (v2+2v3). T=297K, 3 amagat
Рисунок 4a. Experiment. (v1+v2)I. T=300K, 22 amagat
Рисунок 4a. Experiment. (v1+v2)I. T=300K, 31 amagat
Рисунок 4a. Experiment. (v1+v2)I. T=300K, 46 amagat
Рисунок 4a. Experiment. (v1+v2)I. T=300K, 67 amagat
Рисунок 4a. Experiment. (v1+v2)I. T=300K, 96 amagat
Рисунок 4a. Sum of Lorentzians. (v1+v2)I. T=300K, 96 amagat
Рисунок 4b. Experiment. (3v1+v3). T=300K, 20 amagat
Рисунок 4b. Experiment. (3v1+v3). T=300K, 49 amagat
Рисунок 4b. Experiment. (3v1+v3). T=300K, 92 amagat
Рисунок 4b. Sum of Lorentians. (3v1+v3). T=300K, 92 amagat
Рисунок 5. Experiment (2v1+v2)II. 3 amagat
Рисунок 5. Experiment (2v1+v2)II. 46 amagat
Рисунок 7a. Calculation ECS 3ν3 band. 20 amagat
Рисунок 7a. Calculation ECS-cc 3ν3 band. 20 amagat
Рисунок 7a. Experiment 3ν3 band. 20 amagat
Рисунок 7b. Calculation ECS 3ν3 band. 92 amagat
Рисунок 7b. Calculation ECS-cc 3ν3 band. 92 amagat
Рисунок 7b. Experiment 3ν3 band. 92 amagat
Рисунок 8. Calculation ECS 2ν1 + ν3. 20 amagat
Рисунок 8. Experiment 2ν1 + ν3. 20 amagat
Рисунок 9a. Calculation ECS (v1 + v2)I band. 20 amagat
Рисунок 9a. Calculation ECS-ec (v1 + v2)I band. 20 amagat
Рисунок 9a. Experiment (v1 + v2)I band. 20 amagat
Рисунок 9b. Calculation ECS (v1 + v2)I band. 46 amagat
Рисунок 9b. Calculation ECS-ec (v1 + v2)I band. 46 amagat
Рисунок 9b. Experiment (v1 + v2)I band. 46 amagat
Рисунок 9c. Calculation ECS (v1 + v2)I band. 92 amagat
Рисунок 9c. Calculation ECS-ec ( v1 + v2)I band. 92 amagat
Рисунок 9c. Experiment (v1 + v2)I band. 92 amagat
Рисунок 4. Burch D.E., et al. (1969). Коэффициент поглощения в крыле полосы 1.4 мкм СО2. Эксперимент
Рисунок 4. Кант полосы 6988.655 см-1
Рисунок 4. Коэффициент поглощения в крыле полосы 1.4 мкм СО2. наст расчет
Рисунок 5. Коэффициент поглощения, наст расчёт, РСО2=396 мбар, Т=290 К
Рисунок 5. Коэффициент поглощения, наст расчет, РСО2=1004 мбар, Т=290 К
Рисунок 5. Коэффициент поглощения, наст эксперимент, РСО2=1004 мбар, Т=290 К
Рисунок 5. Коэффициент поглощения, наст эксперимент, РСО2=396 мбар, Т=290 К
Рисунок 7. Коэффициент поглощения, наст расчет, РСО2=396 мбар, Т=290 К, разрешение 0.1 см-1
Рисунок 7. Коэффициент поглощения, наст расчет, РСО2=396 мбар, Т=290 К, разрешение 0.5 см-1
Рисунок 7. Коэффициент поглощения, наст эксперимент, РСО2=396 мбар, Т=290 К, разрешение 0.1 см-1
Рисунок 7. Коэффициент поглощения, наст эксперимент, РСО2=396 мбар, Т=290 К, разрешение 0.5 см-1
Рисунок 8a. Коэффициент поглощения, наст расчет с HITRAN-2004, РСО2=612 мбар, Т=290 К, 8300 cm-1
Рисунок 8a. Коэффициент поглощения, наст эксперимент, РСО2=612 мбар, Т=290 К, 8300 cm-1
Рисунок 8b. Коэффициент поглощения, наст расчет с HITRAN-2012, РСО2=612 мбар, Т=290 К, 8200 cm-1
Рисунок 8b. Коэффициент поглощения, наст эксперимент, РСО2=612 мбар, Т=290 К, 8200 cm-1
Рисунок 8b. Коэффициент поглощения, расчет с HITRAN-2004, РСО2=612 мбар, Т=290 К, 8200 cm-1
Рисунок 1. Burch D.E., et al. (1969) CO2, 1.4 mkm band. T=296 K
Рисунок 1. CO2, 2.7 mkm band. T=296 K
Рисунок 1. CO2, 4.3 mkm band. T=296 K
Рисунок 2. Burch D.E., et al. (1974, 1984). H2O 8-12 mkm band. T=296 K
Рисунок 2. Ptashnik I.V., et al. (2011). H2O 2-2.5 mkm band. T=296 K
Рисунок 2. Ptashnik I.V., et al. (2011). H2O 3-5 mkm band. T=296 K
Рисунок 3. Burch D.E., et al. (1974, 1984) (300-1200 cm⁻¹)
Рисунок 3. Computation using function khi (2000-3500 cm⁻¹)
Рисунок 3. Computation using function khi (400-1000 cm⁻¹)
Рисунок 3. Computation using function khi (4000-4500 cm⁻¹)
Рисунок 3. Ptashnik I.V., et al. (1000-6000 cm⁻¹)
Рисунок 3. Ptashnik I.V., et al. (2011). (2000-6000 cm⁻¹)
Рисунок 10. Bicknell et al. (2006)
Рисунок 10. MT CKD v.2.5 model
Рисунок 10. Ptashnik et al. (2013, 289K, 5800-6600 cm⁻¹)
Рисунок 10. This work
Рисунок 10. A.R.W.McKellar, et al. (1972)
Рисунок 10. D.A.Newnham, et al. (1998)
Рисунок 10. G.D.Greenblatt, et al. (1990)
Рисунок 10. Hermans (1998)
Рисунок 10. T.Wagner, et al. (2002)
Рисунок 10. This work
Рисунок 11. A.R.W.McKellar, et al. (1972)
Рисунок 11. D.A.Newnham, at al. (1998)
Рисунок 11. G.D.Greenblatt, et al. (1990)
Рисунок 11. Herman (1998)
Рисунок 11. This work
Рисунок 4. G.D.Greenblatt, et al. (1990)
Рисунок 4. Hermans (1998)
Рисунок 4. T.Wagner, et al. (2002)
Рисунок 4. This work
Рисунок 5. G.D.Greenblatt, et al. (1990)
Рисунок 5. Hermans (1998)
Рисунок 5. This work
Рисунок 6. A.R.W.McKellar, et al. (1972)
Рисунок 6. D.A.Newnham, et al. (1998)
Рисунок 6. G.D.Greenblatt, et al. (1990)
Рисунок 6. Hermans (1998)
Рисунок 6. K.Pfeilsticker, et al. (2001)
Рисунок 6. M.Sneep, et al. (2006)
Рисунок 6. T.Wagner, et al. (2002)
Рисунок 6. This work
Рисунок 7. D.A.Newnham, et al. (1998)
Рисунок 7. G.D.Greenblatt,et al. (1990)
Рисунок 7. Hermans (1998)
Рисунок 7. M.Sneep, et al. (2006)
Рисунок 7. R.P.Blickensderfer, et al. (1969)
Рисунок 7. This work
Рисунок 8. A.R.W.McKellar, et al. (1972)
Рисунок 8. D.A.Newnham, et al (1998)
Рисунок 8. G.D.Greenblatt, et al. (1990)
Рисунок 8. Hermans (1998)
Рисунок 8. K.Pfeilsticker, et al. (2001)
Рисунок 8. M.Sneep, et al. (2006)
Рисунок 8. T.Wagner, et al. (2002)
Рисунок 8. This work
Рисунок 9. A.R.W.McKellar, et al. (1972)
Рисунок 9. D.A.Newnham, et al. (1998)
Рисунок 9. G.D.Greenblatt, et al. (1990)
Рисунок 9. Herman (1998)
Рисунок 9. M.Sneep, et al. (2006)
Рисунок 9. R.P.Blickensderfer, et al. (1969)
Рисунок 9. This work
Рисунок 2. Burch D.E., (1982). (338K, 2400-2650 cm⁻¹)
Рисунок 2. Burch D.E., (1982). (428K, 2400-2700 cm⁻¹)
Рисунок 2. Burch D.E., (1984). (384K, 2400-2700 cm⁻¹)
Рисунок 2. Burch D.E., et al. (1984). (296K, 2400-2650 cm⁻¹)
Рисунок 2. Burch D.E., et al. (1984). (328K, 2400-2650 cm⁻¹)
Рисунок 2. Klimeshina T.E., et al. (2011). (296K, 2400-2700 cm⁻¹)
Рисунок 2. Klimeshina T.E., et al. (2011). (328K, 2400-2700 cm⁻¹)
Рисунок 2. Klimeshina T.E., et al. (2011). (338K, 2400-2700 cm⁻¹)
Рисунок 2. Klimeshina T.E., et al. (2011). (384K, 2400-2700 cm⁻¹)
Рисунок 2. Klimeshina T.E., et al. (2011). (428K, 2400-2700 cm⁻¹)
Рисунок 6. Lower error bound (293K, 2000-3500 cm⁻¹)
Рисунок 6. Lower error bound (350K, 2000-3500 cm⁻¹)
Рисунок 6. Lower error bound (472K, 2000-3500 cm⁻¹)
Рисунок 6. Present calculation (293K, 2000-3500 cm⁻¹)
Рисунок 6. Present calculation (350K, 2000-3500 cm⁻¹)
Рисунок 6. Present calculation (472K, 2000-3500 cm⁻¹)
Рисунок 6. Ptashnik I.V., et al. (2011) (293K, 2000-3500 cm⁻¹)
Рисунок 6. Ptashnik I.V., et al. (2011) (350K, 2000-3500 cm⁻¹)
Рисунок 6. Ptashnik I.V., et al. (2011) (472K, 2000-3500 cm⁻¹)
Рисунок 6. Ptashnik I.V., et al. (2011). Upper error bound (472K, 2000-3500 cm⁻¹)
Рисунок 6. Upper error bound (293K, 2000-3500 cm⁻¹)
Рисунок 6. Upper error bound (350K, 2000-3500 cm⁻¹)
Рисунок 7. Baranov I., et al. (2011). (310.9K, 2000-3500 cm⁻¹)
Рисунок 7. Baranov I., et al. (2011). (325.5K, 2000-3500 cm⁻¹)
Рисунок 7. Baranov I., et al. (2011). (363.3K, 2000-3500 cm⁻¹)
Рисунок 7. Baranov I., et al. (2011). Lower error bound (310.9K, 2000-3500 cm⁻¹)
Рисунок 7. Baranov I., et al. (2011). Lower error bound (325.5K, 2000-3500 cm⁻¹)
Рисунок 7. Baranov I., et al. (2011). Lower error bound (363.3K, 2000-3500 cm⁻¹)
Рисунок 7. Present calculation (310.9K, 2000-3500 cm⁻¹)
Рисунок 7. Present calculation (325.5K, 2000-3500 cm⁻¹)
Рисунок 7. Present calculation (363.3K, 2000-3500 cm⁻¹)
Рисунок 7. Upper error bound (310.9K, 2000-3500 cm⁻¹)
Рисунок 7. Upper error bound (325.5K, 2000-3500 cm⁻¹)
Рисунок 7. Upper error bound (363.3K, 2000-3500 cm⁻¹)
Рисунок 8. Baranov Yu.I., et al. (2008). (1000 cm⁻¹)
Рисунок 8. Baranov Yu.I., et al. (2008). (1100 cm⁻¹)
Рисунок 8. Baranov Yu.I., et al. (2008). (900 cm⁻¹)
Рисунок 8. Bogdanova Yu.V, et al. (2010). (1000 cm⁻¹)
Рисунок 8. Bogdanova Yu.V, et al. (2010). (1100 cm⁻¹)
Рисунок 8. Bogdanova Yu.V, et al. (2010). (900 cm⁻¹)
Рисунок 8. Burch D.E., et al. (1982, 1984). (1000 cm⁻¹)
Рисунок 8. Burch D.E., et al. (1982, 1984). (1100 cm⁻¹)
Рисунок 8. Burch D.E., et al. (1982, 1984). (2400 cm⁻¹)
Рисунок 8. Burch D.E., et al. (1982, 1984). (2500 cm⁻¹)
Рисунок 8. Burch D.E., et al. (1982, 1984). (2600 cm⁻¹)
Рисунок 8. Burch D.E., et al. (1982, 1984). (900 cm⁻¹)
Рисунок 8. Present calculation (2400 cm⁻¹)
Рисунок 8. Present calculation (2500 cm⁻¹)
Рисунок 8. Present calculation. (2600 cm⁻¹)
Рисунок 8. Ptashnik I.V., et al. (2011). (2400 cm⁻¹)
Рисунок 8. Ptashnik I.V., et al. (2011). (2500 cm⁻¹)
Рисунок 8. Ptashnik I.V., et al. (2011). (2600 cm⁻¹
Рисунок 1a. Absorption coefficient of pure CO2 at 296 calculated with ECS approach, 22.65 Am
Рисунок 1a. Absorption coefficient of pure CO2 at 296K calculated with the present rCMDS model, 22.65 Am
Рисунок 1b. Absorption coefficient of pure CO2 at 296 calculated with ECS approach, 51.28 Am
Рисунок 1b. Absorption coefficient of pure CO2 at 296 calculated with the present rCMDS model, 51.28 Am
Рисунок 2a. Absorption coefficients obtained neglecting line-mixing l,294 K. 22.7 Am
Рисунок 2a. Absorption coefficients obtained with the rCMDS model, 294 K. 22.7 Am
Рисунок 2a. Measured absorption coefficients of pure CO2. 294 K. 22.7 Am
Рисунок 2b. Absorption coefficients obtained neglecting line-mixing, 294 K. 35.5 Am
Рисунок 2b. Absorption coefficientsobtained with the rCMDS model, 294 K. 35.5 Am
Рисунок 2b. Measured absorption coefficients [16] of pure CO2 294 K. 35.5 Am
Рисунок 2c. Absorption coefficient obtained neglecting line-mixing, 294 K. 51.3 Am
Рисунок 2c. Absorption coefficient obtained with the rCMDS model with special shifts, 294 K. 51.3 Am
Рисунок 2c. Absorption coefficient obtained with the rCMDS model, 294 K. 51.3 Am
Рисунок 2c. Measured absorption coefficients [16] of pure CO2. 294 K. 51.3 Am
Рисунок 3a. Absorption coefficients obtained neglecting line-mixing, 294 K. 20.6 Am
Рисунок 3a. Absorption coefficientsobtained with the rCMDS model, 294 K. 20.6 Am
Рисунок 3a. Measured absorption coefficients [16] of pure CO2. 294 K 20.6 Am
Рисунок 3b. Absorption coefficients obtained neglecting line-mixing, 294 K. 33.0 Am
Рисунок 3b. Absorption coefficients obtained with the rCMDS model, 294 K. 33.0 Am
Рисунок 3b. Measured absorption coefficients [16] of pure CO2. 294 K. 33.0 Am
Рисунок 3c. Absorption coefficients obtained neglecting line-mixing, 294 K. 56.7 Am
Рисунок 3c. Absorption coefficients obtained with the rCMDS model with special shifts, 294 K. 56.7 Am
Рисунок 3c. Absorption coefficients obtained with the rCMDS model, 294 K. 56.7 Am
Рисунок 3c. Measured absorption coefficients [16] of pure CO2, 294 K 56.7 Am
Рисунок 5. Absorption coefficients obtained neglecting line-mixing l, 473 K. 23.63 Am
Рисунок 5. Absorption coefficients obtained with the rCMDS model, 473 K. 23.63 Am
Рисунок 5. Measured absorption coefficients [16] of pure CO2 . 473 K. 23.63 Am
Рисунок 8a. Коэффициент поглощения, наст эксперимент, РСО2=612 мбар, Т=290 К, 8300 cm-1
Рисунок 8a. Коэффициент поглощения. Расчет с HITRAN-2004, Т=290K, РСО2=612мбар
Рисунок 8b. Коэффициент поглощения. Расчет с HITRAN-2004, Т=290 ,РСО2=612мбар
Рисунок 8b. Коэффициент поглощения. Расчет с HITRAN-2012; Т=290K, РСО2= 612 мбар
Рисунок 8b. Коэффициент поглощения. Экспериментальные данные, Т=290 ,РСО2=612мбар
Рисунок 5. MT-CKD 2.5 model (302K, 5800-6700 cm⁻¹)
Рисунок 5. MT-CKD 2.5 model (310K, 5800-6700 cm⁻¹)
Рисунок 5. MT-CKD 2.5 model (320K, 5800-6700 cm⁻¹)
Рисунок 5. MT-CKD 2.5 model (328K, 5800-6700 cm⁻¹)
Рисунок 5. MT-CKD 2.5 model (340K, 5800-6700 cm⁻¹)
Рисунок 5. Present experiment (302K, 5800-6700 cm⁻¹)
Рисунок 5. Present experiment (310K, 5800-6700 cm⁻¹)
Рисунок 5. Present experiment (320K, 5800-6700 cm⁻¹)
Рисунок 5. Present experiment (328K, 5800-6700 cm⁻¹)
Рисунок 5. Present experiment (340K, 5800-6700 cm⁻¹)
Рисунок 6. Bicknell, W.E., et al. (2006). (298K, 6100-6250 cm⁻¹)
Рисунок 6. MT-CKD V2.5 model (296, 5500-7500 cm⁻¹)
Рисунок 6. Mondeline, D., et al. (2013). (296K, 5500-7500 cm⁻¹)
Рисунок 6. Ptashnik, I. V., et al. (2011). (293, 5500-5600 cm⁻¹)
Рисунок 6. Ptashnik, I. V., et al. (2013). (289K, 5500-7500 cm⁻¹)
Рисунок 6. Table 2. (302K, 5800-6700 cm⁻¹)
Рисунок 7. Ptashnik et al. (2011, 350 K)
Рисунок 7. Ptashnik et al. (2011, 374 K)
Рисунок 7. Ptashnik et al. (2011, 402 K)
Рисунок 7. Ptashnik et al. (2011, 431 K)
Рисунок 7. Ptashnik et al. (2011, 472 K)
Рисунок 7. This work (302 K)
Рисунок 7. This work (310 K)
Рисунок 7. This work (320 K)
Рисунок 7. This work (328 K)
Рисунок 7. This work (340 K)
Рисунок 9. MTCKD V2.5 (302 K)
Рисунок 9. MTCKD V2.5 (340 K)
Рисунок 9. Ma, Q., et al. (2008). Spectral dependence of the Cs (340 K)
Рисунок 9. Ma, Q., et al. (2008). Spectral dependence of the Cs, (T=302 K)
Рисунок 9. Ptashnik et al. (2011, 296K). Water dimer simulation
Рисунок 9. This work (302 K)
Рисунок 9. This work (340 K)
Рисунок 4. Bicknell, W.E., et al. (2006). (298K, 6100-6200 cm⁻¹)
Рисунок 4. MT-CKD-2.5 model. (287K, 2000-8000 cm⁻¹)
Рисунок 4. Mondeline, B., et al. (2013). (296K, 5800-6600 cm⁻¹)
Рисунок 4. Ptashnik, I.V., et al. (2013). (289.5K, 2000-8000 cm⁻¹)
Рисунок 4. This work (287K, 2000-8000 cm⁻¹)
Рисунок 1. Continuum absorption
Рисунок 1. Experimental recording (296K)
Рисунок 1. G.T.Fraser, et al. (1989). Water dimer transitions [9]
Рисунок 1. Water monomer
Рисунок 10. L.A. Curtiss, et al. (1979). Thermal conductivity measurement
Рисунок 10. Y. Scribano, et al. (2006). Calculation ab initio
Рисунок 10. Y. Scribano, et al. (2006). Modified calculation
Рисунок 10.Experiment for bound dimers
Рисунок 11. A.A. Vigasin (1991). Free pairs
Рисунок 11. A.A. Vigasin (1991). Metastable dimers
Рисунок 11. A.A. Vigasin (1991). True bound dimers
Рисунок 11. Free pairs (HT)
Рисунок 11. Free pairs (LT)
Рисунок 11. Free pairs (absolute value)
Рисунок 11. Metastable dimers (HT)
Рисунок 11. Metastable dimers (LT)
Рисунок 11. Metastable dimers (absolute value)
Рисунок 11. True bound dimers (HT)
Рисунок 11. True bound dimers (LH)
Рисунок 11. True bound dimers (absolute value)
Рисунок 11. True bound dimers
Рисунок 2. Y. Scribano, et al. (2007), A.F. Krupnov, et al. (2009). Calculated dimer spectrum
Рисунок 2. Model function (5)
Рисунок 3. Empirical continuum model. M.A. Koshelev, et al. (2011)
Рисунок 3. Experimental recording
Рисунок 3. Optimized model (11)
Рисунок 3. Water dimer transitions
Рисунок 6. Gaussian model
Рисунок 6. Lorentzian model
Рисунок 6. Water vapour continuum absorption
Рисунок 7. Convolution model obtained from 298 K, 12.1 Torr
Рисунок 7. Positions of water dimer transitions
Рисунок 7. Water vapour continuum absorption
Рисунок 10. Scribano Y., et al. (2007). Calculated dimer spectrum
Рисунок 10. Viktorova A.A., et al. (1971). Calculated dimer spectrum in the atmosphere
Рисунок 16. (25 C)
Рисунок 16. (38.0 C)
Рисунок 16. (48.8°C)
Рисунок 16. (6.7°C)
Рисунок 16. Fitting (25.0 C)
Рисунок 16. Fitting (38.0 C)
Рисунок 16. Fitting (48.8 C)
Рисунок 16. Fitting (6.7 C)
Рисунок 2. Leforestier C. (2014). Calculation (bounded and metastable dimers)
Рисунок 2. Calculation from assiciation theory (bounded dimers)
Рисунок 2. Curtiss L.A., et al. (1979). Experiment (bounded and metastable dimers)
Рисунок 2. From present experiment
Рисунок 2. Tretyakov M.Yu., et al. (2012). From virial coefficient (bounded and metastable dimers)
Рисунок 2. Y. Scribano, et al. (2006). Calculation (bounded dimers)
Рисунок 2a-Ar
Рисунок 2b-Kr
Рисунок 2c-Ne
Рисунок 2d
Рисунок 6-exp
Рисунок 6b
Рисунок 6c
Рисунок 3. A.Halkier, et al. (1999). CCSD(T)/CBS(T,Q)
Рисунок 3. CCSD(T)-F12a/aug-cc-PVTZ
Рисунок 3. CCSD(T)/aug-cc-pVDZ
Рисунок 3. CCSD(T)/aug-cc-pVQZ
Рисунок 3. CCSD(T)/aug-cc-pVTZ
Рисунок 3. K.A. Peterson, et al. (1994). CCSD(T)/CBS(D,T,Q)
Рисунок 3. MP2/aug-cc-pVTZ
Рисунок 3. S.R. Bukowski, et al. (1999). SAPT
Рисунок 3a. A. Halkier, et al. (1999). CCSD(T)/CBS(T,Q)
Рисунок 3a. CCSD(T)-F12a-aug-cc-pVTZ
Рисунок 3a. CCSD(T)-F12b-aug-cc-pVTZ
Рисунок 3a. CCSD(T)/aug-cc-pVDZ
Рисунок 3a. CCSD(T)/aug-cc-pVQZ
Рисунок 3a. CCSD(T)/aug-cc-pVTZ
Рисунок 3a. K. A. Peterson, et al. (1994). CCSD(T)/CBS(D,T,Q)
Рисунок 3a. MP2-aug-cc-pVQZ
Рисунок 3a. S.R. Bukowski, et al. (1999). SAPT
Рисунок 4. CCSD(T)-F12b/aug-cc-pVTZ
Рисунок 4. E=E
elec
+E
ind
+E
disp
Рисунок 4. TF/R⁷
Рисунок 4. TT/R⁶
Рисунок 4. aC/R⁸
Рисунок 4. aE/R⁸
Рисунок 4. aTT/R⁸
Рисунок 4. aa/R⁶
Рисунок 4a. CCDS(T)-F12b
Рисунок 4a. E
elec
+E
ind
+E
disp
Рисунок 4a. TT/R⁵
Рисунок 4a. aC/R⁸
Рисунок 4a. aE/R⁸
Рисунок 4a. aTT/R⁸
Рисунок 4a. aa/R⁶
Рисунок 2. CMDS calculations
Рисунок 2. W.B.Stone, et al. (1984) and I.R.Dagg, et al. (1985). Measurements
Рисунок 2a. CMDS calculations
Рисунок 2a. W.B.Stone, et al. (1984) and I.R.Dagg, et al. (1985). Measurements
Рисунок 2b. L. Gomez, et al. (2007).CMDS calculations
Рисунок 2b. W.B.Stone, et al. (1984) and I.R.Dagg, et al. (1985). Measurements
Рисунок 2. Yukhnevich G.V., et al. (1988). Absorption cross-section of water dimer.(300K, 15-1250 cm⁻¹)
Рисунок 2. Burch D.E. (1981) (296K, 300-1100 cm⁻¹)
Рисунок 2. Lee M.-S., et al. (2008). Absorption cross-section of water dimer. (296K, 0-1100 cm⁻¹)
Рисунок 2. MTCKD-2.5 continuum model
Рисунок 2. Scribano Y., et al. (2007). Absorption cross-section of water dimer. (297K, 0-600 cm⁻¹)
Рисунок 2. Vigasin A.A., et al. (1984). Absorption cross-section of water dimer. (300K, 200-1000 cm⁻¹)
Рисунок 3. MTCKD-2.5 continuum model (296K, 1800-9000 cm⁻¹)
Рисунок 3. Self-continuum cross-section. Ptashnik, I.V. et al. (2011, 2012) (293K, 1800-5600 cm⁻¹)
Рисунок 3. The far-wing model of Tipping, R.H., et al. (1995) (296K, 1800-8200 cm⁻¹)
Рисунок 3a. MTCKD-2.5 continuum model (296K, 1800-9000 cm⁻¹)
Рисунок 3a. Ptashnik I.V., et al (2011. 2012) (350-400K, 1800-5600 cm⁻¹)
Рисунок 3a. Tipping R.H., etal. (199). The far-wing model (296K, 1800-9000 cm⁻¹)
Рисунок 1. CH₄ - N₂ pair potential. Ab initio. Angular configuration 1
Рисунок 1. CH₄ - N₂ pair potential. Ab initio. Angular configuration 2
Рисунок 1. CH₄ - N₂ pair potential. Ab initio. Angular configuration 3
Рисунок 1. CH₄ - N₂ pair potential. Ab initio. Angular configuration 4
Рисунок 1. CH₄ - N₂ pair potential. Ab initio. Angular configuration 5
Рисунок 1. CH₄ - N₂ pair potential. Ab initio. Angular configuration 6
Рисунок 1. CH₄ - N₂ pair potential. Ab initio. Angular configuration 7
Рисунок 1. CH₄ - N₂ pair potential. Ab initio. Angular configuration 8
Рисунок 1. CH₄ - N₂ pair potential. Ab initio. Angular configuration 9
Рисунок 1. CH₄ - N₂ pair potential. Ab initio.Angular configuration 10
Рисунок 1. CH₄ - N₂ pair potential. Fitting. Angular configuration 1
Рисунок 1. CH₄ - N₂ pair potential. Fitting. Angular configuration 2
Рисунок 1. CH₄ - N₂ pair potential. Fitting. Angular configuration 3
Рисунок 1. CH₄ - N₂ pair potential. Fitting. Angular configuration 4
Рисунок 1. CH₄ - N₂ pair potential. Fitting. Angular configuration 5
Рисунок 1. CH₄ - N₂ pair potential. Fitting. Angular configuration 6
Рисунок 1. CH₄ - N₂ pair potential. Fitting. Angular configuration 7
Рисунок 1. CH₄ - N₂ pair potential. Fitting. Angular configuration 8
Рисунок 1. CH₄ - N₂ pair potential. Fitting. Angular configuration 9
Рисунок 1. CH₄ - N₂ pair potential. Fitting. Angular configuration 10
Рисунок 1. Y.N. Kalugina,et al. (2009). CH₄ - N₂ pair potential. Angular configuration 1
Рисунок 1. Y.N. Kalugina,et al. (2009). CH₄ - N₂ pair potential. Angular configuration 4
Рисунок 2. Potential energy at MP2/aug-cc-pVDZ level (CH₄-CH₄)
Рисунок 2. Potential energy at MP2/aug-cc-pVDZ level (CH₄-CHF₃)
Рисунок 2. Potential energy at MP2/aug-cc-pVDZ level (CH₄-H₂O)
Рисунок 2. Potential energy at MP2/aug-cc-pVDZ level (H₂O-CHF₃)
Рисунок 3. Potential energy at MP2/aug-cc-pVTZ level (CH₄-CH₄)
Рисунок 3. Potential energy at MP2/aug-cc-pVTZ level (CH₄-CHF₃)
Рисунок 3. Potential energy at MP2/aug-cc-pVTZ level (CH₄-H₂O)
Рисунок 3. Potential energy at MP2/aug-cc-pVTZ level (H₂O-CHF₃)
Рисунок 2. Absorption coefficient PH2O=10 ppm PCO2=10 bar T=293 K
Рисунок 2. Absorption coefficient PH2O=10 ppm PCO2=20 bar T=293 K
Рисунок 2. Absorption coefficient PH2O=10 ppm PCO2=30 bar T=293 K
Рисунок 2. Absorption coefficient PH2O=10 ppm PCO2=40 bar T=293 K
Рисунок 6. Absorption coefficient PCO2=1 bar T=293 K
Рисунок 6. Absorption coefficient PCO2=10 bar T=293 K
Рисунок 6. Absorption coefficient PCO2=2 bar T=293 K
Рисунок 6. Absorption coefficient PCO2=20 bar T=293 K
Рисунок 6. Absorption coefficient PCO2=40 bar T=293 K
Рисунок 6. Absorption coefficient PCO2=5 bar T=293 K
Рисунок 8. Absorption coefficient PCO2=23.7 bar T=293 K
Рисунок 8. Absorption coefficient PCO2=24.3 bar T=293 K
Рисунок 8. Absorption coefficient PCO2=31.4 bar T=293 K
Рисунок 8. Absorption coefficient PCO2=35.0 bar T=293 K
Рисунок 8. Absorption coefficient PCO2=37.8 bar T=293 K
Рисунок 8. Average absorption coefficient T=293 K
Рисунок 8. Continuum absorption coefficient + far wing absorption [9]
Рисунок 8. Continuum absorption coefficient+ far wing absorption [9]
Рисунок 8. Upper bound of continuum absorption coefficient + far wing absorption [9]
Рисунок 1a. Transmittance. PCO2=14.9 Am, T=300 K
Рисунок 1a. Transmittance. PCO2=21.6 Am, T=300 K
Рисунок 1a. Transmittance. PCO2=31.3 Am, T=300 K
Рисунок 1a. Transmittance. PCO2=46.0 Am, T=300 K
Рисунок 1a. Transmittance. PCO2=64.5 Am, T=300 K
Рисунок 1b. Transmittance. PCO2=14.9 Am, PAr=0.0 Am, T=300 K
Рисунок 1b. Transmittance. PCO2=14.9 Am, PAr=29.7 Am, T=300 K
Рисунок 1b. Transmittance. PCO2=14.9 Am, PAr=80.6 Am, T=300 K
Рисунок 10. Baranov Yu.I. et al. (2011) (311K)
Рисунок 10. Bicknell et al. (2006) (298K)
Рисунок 10. MTCKD-1.3 (2006) (296K)
Рисунок 10. MTCKD-2.5 (2010) (296K)
Рисунок 10. Mondeline, D., et al. (2013) (296K)
Рисунок 10. Ptashnik I.V., et al. (2013) (289.5K)
Рисунок 10. Tipping, R.H., et al. (1995) (296K)
Рисунок 2. MTCKD-2.5 (296K)
Рисунок 2. Podobedov V.B. et al. (2008). Continuum (293K)
Рисунок 2. WD Lee M.-S., et al. (2008) (296K)
Рисунок 2. WD Scribano Y. et al. (2007) (297K)
Рисунок 2. WD Vigasin A,A, et al. (1966) (293K)
Рисунок 2a. Burch D.E. (1981) (296K, 300-1100 cm⁻¹)
Рисунок 2a. Lee M.-S., et al., (2008) (296K). Water Dimer
Рисунок 2a. MTCKD-2.5
Рисунок 2a. Scribano Y. et al. (2007) (297K). Water Dimer
Рисунок 2a. Vigasin A.A et al. (1984) (300K). Water Dimer
Рисунок 2a. Yukhnevich G.V., et al. (1988) (300K). Water Dimer
Рисунок 3. Baranov Yu.I. et al. (2008) (310.8 K)
Рисунок 3. Baranov, Yu.I. et al. (2008) (325.8K)
Рисунок 3. Baranov, Yu.I. et al. (2008) (T=363.6K)
Рисунок 3. MTCKD-2.5 (311K)
Рисунок 3. MTCKD-2.5 (326K)
Рисунок 3. MTCKD-2.5 (363K)
Рисунок 3. MTL-2008 (311K)
Рисунок 3. MTL-2008 (326K)
Рисунок 3. MTL-2008 (363K)
Рисунок 8. Continuum. Burch D.E. (1985) (296K, 3000-4100 cm⁻¹)
Рисунок 8. Dimers (2008)
Рисунок 8. HITRAN – 2012
Рисунок 8. Local line contribution
Рисунок 8. MTCKD-2.5 continuum
Рисунок 9. Bound + Quasibound
Рисунок 9. Bound DW
Рисунок 9. Paynter D.J., et al. (2009) (1400-1900 cm⁻¹)
Рисунок 9. Quasibound WD
Рисунок 9a. Bound + Quasibound
Рисунок 9a. Bound DW
Рисунок 9a. Paynter D.J., et al. (2009). Experimental continuum
Рисунок 9a. Quasibound WD
Рисунок 1. Bicknell W.E., et al. (2006)
Рисунок 1. Burch, D.E. (1982)
Рисунок 1. MT CKD calculation
Рисунок 1. Mondelain, D., et al. (2013)
Рисунок 1.Ptashnik, et al. (2011), Paynter, et al. (2009), Ptasnik, et al. (2013)
Рисунок 4. Ptashnik, I.V., et al. (2013)
Рисунок 4. Water vapor self-continuum absorption in the 50-9000 cm-1 range
Рисунок 4b
Рисунок 4c
Рисунок 4d
Рисунок 5. Calculation with the 2000-3500 cm⁻¹ line shape
Рисунок 5. Ptashnik, I.V., et al. (2011) (4900-8000 cm⁻¹)
Рисунок 5. Ptashnik, I.V., et al. (2013) (289.5K, 4900-7600 cm⁻¹)
Рисунок 5.Calculation with the 5600-6500 cm⁻¹ line shape
Рисунок 6. Original calculated results
Рисунок 6. Ptashnik, I.V., et al. (2011)
Рисунок 6. Quasi-bound dimer absorption coefficients
Рисунок 6. Stable dimer absorption coefficients
Рисунок 6a. Original calculated results
Рисунок 6a. Ptashnik, et al. (2011)
Рисунок 6a. Quasi-bound dimer absorption coefficients
Рисунок 6a. Stable dimer absorption coefficients
Рисунок 6b. Original calculated result
Рисунок 6b. Ptashnik, I.V., et al. (2011)
Рисунок 6b. Stable dimer absorption coefficients
Рисунок 1. Burch D.E., et al. (1984) (296K)
Рисунок 1. Ma Q., et al. (2000) (296K)
Рисунок 1. Rodimova O.B. (2003) (296K)
Рисунок 11. Baranov Yu.I. (2011). Experiment in the 3-5 mkm region
Рисунок 11. Baranov Yu.I., (2008). Experiment in the 8-12 mkm region
Рисунок 11. Burch D.E., et al. (1984) (296K, 300-1000 cm⁻¹)
Рисунок 11. Calculation with 8-12 mkm line shape (296K, 400–6000 cm⁻¹)
Рисунок 11. Calculation with the 3-5 mkm line shape (296K, 400–6000 cm⁻¹)
Рисунок 11. Ptashnik I.V., (2012). Experimental curve in the 3-5 mkm region (296K, 2000-4000 cm⁻¹)
Рисунок 11. Ptashnik I.V., et al. (2011). Experiment in the 1.9-2.4 mkm region (431K, 4000-5000 cm⁻¹)
Рисунок 11. Ptashnik I.V., et al. (2012). Experiment in the 1.9-2.4 mkm region at 372 K
Рисунок 11.Calculation according to the MT-CKD 2.5 model
Рисунок 1a. H₂O + N₂. Burch D.E., et al. (1984) (430K, 700–1200 cm⁻¹)
Рисунок 1a. H₂O + N₂. Ma Q., et al. (430K, 700–1200 cm⁻¹)
Рисунок 1a. H₂O + N₂. Rodimova O.B. (2003) (430K, 700–1200 cm⁻¹)
Рисунок 2. H₂O+N₂. Baranov Yu.I., et al. (2012). Experimental continuum (326K, 800-1200 cm⁻¹)
Рисунок 2. Baranov Yu. I., et al. (2012). Lower error bound of measurements
Рисунок 2. Baranov Yu. I., et al. (2012). Upper error bound of measurements
Рисунок 2. Baranov Yu.I., et al. (2012). Experimental H₂O+N₂ continuum
Рисунок 2. Burch D.E., et al. (1984). Experimental H₂O+N₂ continuum (700-1000 cm⁻¹)
Рисунок 2. Klimeshina T.E., et al. (2013). H₂O+N₂ continuum. The ALWT calculation
Рисунок 2. MT-CKD model calculation
Рисунок 2. Peterson J.C., et al. (1979). H₂O+N₂ continuum
Рисунок 2. Peterson J.C., et al. (1979). H₂O+N₂ continuum
Рисунок 8. MT CKD 2.5 calculation
Рисунок 8. Present calculation
Рисунок 8. Ptashnik I.V,. (2012). Measured data
Рисунок 9. Baranov Yu.I. (2011)
Рисунок 9. MT CKD 2.5 calculation
Рисунок 9. Present calculation
Рисунок 4. Absorption coefficient, P=1600 Torr, T=296 K
Рисунок 4. Absorption coefficient, P=3200 Torr, T=296 K
Рисунок 4. Absorption coefficient, P=6400 Torr, T=296 K
Рисунок 4. Absorption coefficient, P=800 Torr, T=296 K
Рисунок 5a. Absorption coefficient, experiment, P=800 Torr, T=296 K
Рисунок 5a. Absorption coefficient, simulation, P=800 Torr, T=296 K
Рисунок 5b. Absorption coefficient, experiment, P=1600 Torr, T=296 K
Рисунок 5b. Absorption coefficient, simulation, P=1600 Torr, T=296 K
Рисунок 5c. Absorption coefficient, experiment, P=3200 Torr, T=296 K
Рисунок 5c. Absorption coefficient, simulation, P=3200 Torr, T=296 K
Рисунок 5d. Absorption coefficient, experiment, P=6400 Torr, T=296 K
Рисунок 5d. Absorption coefficient, simulation, P=6400 Torr, T=296 K
Рисунок 6a. The absorption coefficient measured by CRDS
Рисунок 6a. The simulations of the absortions of the local rovibrational lines
Рисунок 6b. Difference between AC(meas) and AC(simul)
Рисунок 8a. Simulations of the absortions of the local rovibrational lines with taking into account line mixing effects
Рисунок 8a. Simulations of the absortions of the local rovibrational lines without taking into account line mixing effects
Рисунок 8a. The absorption coefficient measured by CRDS, P=6400 Torr, T=296 K
Рисунок 8b. Resulting continuum absorption of CO2 obtained without taking into account line mixing effects
Рисунок 8b. Resulting continuum absorption of CO2 obtained with taking into account line mixing effects
Рисунок 3. Lorentz line form (10)
Рисунок 3. Truncated VVW and Lorentz line forms
Рисунок 3. Van Vleck—Weisskopf line form (9)
Рисунок 4. M.A. Koshelev, et al. (2011) (330K)
Рисунок 4. M.A.Koshelev, et al. (2011) (300K)
Рисунок 4. Van Vleck—Weisskopf line form 300K
Рисунок 4. Van Vleck—Weisskopf line form 330K
Рисунок 5. Leforestier, C., et al. (2010)
Рисунок 5. Present work
Рисунок 5a. C. Leforestier et al.
Рисунок 5a. Line form (12)
Рисунок 5a. Line form (14)
Рисунок 7. D. Mondelain, et al. (2014) (302K)
Рисунок 7. E.J. Mlawer, et al. (2012) (296K)
Рисунок 7. I. V. Ptashnik, et al. (2013) (289K)
Рисунок 7. I.V. Ptashnik, et al. (2011) (293K)
Рисунок 7. This work (298K)
Рисунок 7. W. E. Bicknell, et al. (2006) (298K) self+foreign
Рисунок 7. W.E.Bicknell, et al. (2006) (298K) self
Рисунок 8. E. J. Mlawer, et al. (2012)
Рисунок 8. I.V. Ptashnik, et al. (2011)
Рисунок 8. Linear extrapolation
Рисунок 8. This work (297 K)
Рисунок 9. E.J. Mlawer, et al. (2012) (296K)
Рисунок 9. I. V. Ptashnik, et al. (2012) (402K)
Рисунок 9. This work
Рисунок 1. Calculated CIA spectrum (126K)
Рисунок 1. Calculated CIA spectrum (228.3K)
Рисунок 1. Calculated CIA spectrum (300K)
Рисунок 1. Calculated CIA spectrum (78K)
Рисунок 1. Calculated CIA spectrum (98K)
Рисунок 1. E. H. Wishnow, et al. (1996) alpha (T=78K)
Рисунок 1. I. R. Dagg, et al. (1985). 10² alpha (T=126K)
Рисунок 1. N. W. B. Stone, et al. (1984) 10³ alpha (T=228.3K)
Рисунок 1. N. W. B. Stone, et al. (1985). 10⁴ alpha (T=300K)
Рисунок 1. P. Dore, et al. (1996). 10¹ alpha (T=93K)
Рисунок 3. Calculation, T=290 K, P=1004 mbar
Рисунок 3. Calculation, T=290 K, P=3011 mbar
Рисунок 3. Calculation, T=290 K, P=396 mbar
Рисунок 3. Calculation, T=290 K, P=612 mbar
Рисунок 3. Calculation, T=290 K, P=801 mbar
Рисунок 3. Experiment, T=290 K, P=1004 mbar
Рисунок 3. Experiment, T=290 K, P=3011 mbar
Рисунок 3. Experiment, T=290 K, P=612 mbar
Рисунок 3. Experiment, T=290 K, P=801 mbar
Рисунок 4. Calculation, T=290 K, P=1004 mbar
Рисунок 4. Calculation, T=290 K, P=3011 mbar
Рисунок 4. Calculation, T=290 K, P=396 mbar
Рисунок 4. Calculation, T=290 K, P=612 mbar
Рисунок 4. Calculation, T=290 K, P=801 mbar
Рисунок 4. Experiment, T=290 K, P=1004 mbar
Рисунок 4. Experiment, T=290 K, P=3011 mbar
Рисунок 4. Experiment, T=290 K, P=396 mbar
Рисунок 4. Experiment, T=290 K, P=612 mbar
Рисунок 4. Experiment, T=290 K, P=801 mbar
Рисунок 4. M. Y. Perrin and J. M. Hartmann, (1989). Experiment, T=290 K, P=1004 mbar
Рисунок 6a. M. Y. Perrin, et al. (1989). Deviations from a Lorentzian profile for the 1.4 mkm CO2 bands
Рисунок 6a. M. Y. Perrin, et al. (1989). Deviations from a Lorentzian profile for the 2.7 mkm CO2 bands
Рисунок 6a. M. Y. Perrin, et al. (1989). Deviations from a Lorentzian profile for the 4.3 mkm CO2 bands
Рисунок 6b. Deviations from a Lorentzian profile for the 1.2 mkm CO2 bands
Рисунок 6b. Deviations from a Lorentzian profile for the 1.4 mkm CO2 bands
Рисунок 6b. Deviations from a Lorentzian profile for the 2.7 mkm CO2 bands
Рисунок 6b. Deviations from a Lorentzian profile for the 4.3 mkm CO2 bands
Рисунок 7a. Absorption coefficient, T=193 K, present calculation
Рисунок 7a. R. Le Doucen, et al. (1985). Absorption coefficient, T=193 K, experimentulation
Рисунок 7b. Absorption coefficient, T=920 K, present calculation
Рисунок 7b. J.M. Hartmann, et al. (1991). Absorption coefficient, T=920 K, experiment
Рисунок 2. Method CCSD(T)-F12a/aVTZ gm=1.3
Рисунок 2. Method CCSD(T)-F12b/aVTZ gm=1.3
Рисунок 2. Method CCSD(T)/CBS(D,T,Q)
Рисунок 2. Method CCSD(T)/aVQZ+bf
Рисунок 2. Method CCSD(T)/aVQZ
Рисунок 2. Method CCSD(T)/aVTZ+bf
Рисунок 2. Method CCSD(T)/aVTZ
Рисунок 2. Method SAPT/aVQZ
Рисунок 2. Method SAPT/aVTZ
Рисунок 2a. Method CCSD(T)-F12a/aVTZ gm=1.3
Рисунок 2a. Method CCSD(T)-F12b/aVTZ gm=1.3
Рисунок 2a. Method CCSD(T)/CBS(D,T,Q)
Рисунок 2a. Method CCSD(T)/aVQZ
Рисунок 2a. Method CCSD(T)/aVTZ+bf
Рисунок 2a. Method CCSD(T)/aVTZ
Рисунок 2a. Method SAPT/aVQZ
Рисунок 2a. Method SAPT/aVTZ
Рисунок 2b. Method CCSD(T)-F12a/aVTZ gm=1.3
Рисунок 2b. Method CCSD(T)-F12b/aVTZ gm=1.3
Рисунок 2b. Method CCSD(T)/CBS(D,T,Q)
Рисунок 2b. Method CCSD(T)/aVQZ+bf
Рисунок 2b. Method CCSD(T)/aVQZ
Рисунок 2b. Method CCSD(T)/aVTZ+bf
Рисунок 2b. Method CCSD(T)/aVTZ
Рисунок 2b. Method SAPT/aVQZ
Рисунок 2b. Method SAPT/aVTZ
Рисунок 2c. Method CCSD(T)-F12a/aVTZ gm=1.3
Рисунок 2c. Method CCSD(T)-F12b/aVTZ gm=1.3
Рисунок 2c. Method CCSD(T)/CBS(D,T,Q)
Рисунок 2c. Method CCSD(T)/aVQZ+bf
Рисунок 2c. Method CCSD(T)/aVQZ
Рисунок 2c. Method CCSD(T)/aVTZ+bf
Рисунок 2c. Method CCSD(T)/aVTZ
Рисунок 2c. Method SAPT/aVQZ
Рисунок 2c. Method SAPT/aVTZ
Рисунок 2d. Method CCSD(T)-F12a/aVTZ gm=1.3
Рисунок 2d. Method CCSD(T)-F12b/aVTZ gm=1.3
Рисунок 2d. Method CCSD(T)/CBS(D,T,Q)
Рисунок 2d. Method CCSD(T)/aVQZ+bf
Рисунок 2d. Method CCSD(T)/aVQZ
Рисунок 2d. Method CCSD(T)/aVTZ+bf
Рисунок 2d. Method CCSD(T)/aVTZ
Рисунок 2d. Method SAPT/aVQZ
Рисунок 2d. Method SAPT/aVTZ
Рисунок 2e. Method CCSD(T)-F12a/aVTZ gm=1.3
Рисунок 2e. Method CCSD(T)-F12b/aVTZ gm=1.3
Рисунок 2e. Method CCSD(T)/CBS(D,T,Q)
Рисунок 2e. Method CCSD(T)/aVQZ+bf
Рисунок 2e. Method CCSD(T)/aVQZ
Рисунок 2e. Method CCSD(T)/aVTZ+bf
Рисунок 2e. Method CCSD(T)/aVTZ
Рисунок 2e. Method SAPT/aVQZ
Рисунок 2e. Method SAPT/aVTZ
Рисунок 2. Burch (1984)
Рисунок 2. Burch D.E., et al. (1974) (296K, 300-850 cm⁻¹)
Рисунок 2. Present calculation
Рисунок 3. Curve 4
Рисунок 3. Curve 5
Рисунок 3. E. A. Serov, et al. (2014). Curve 2. Resolved water dimer spectra
Рисунок 3. Tretyakov, M Yu., (2014). Curve 1.
Рисунок 3. Tretyakov, M Yu., (2014). Curve 3.
Рисунок 4. Calculated bound dimer absorption
Рисунок 4. Tretyakov, M Yu., et al. (2014). Experimental absorption minus local contribution
Рисунок 5. I.V. Ptashnik (2011). Experimental H₂O self-continuum
Рисунок 5. Schenter, G. K., (2002). Bound dimer absorption
Рисунок 5. Schenter, G. K., et al. (2002). Quasi-bound dimer absorption
Рисунок 5. kLor*x line shape
Рисунок 2. Experimental spectrum of H₂O
Рисунок 2. MT-CKD-2.5 spectrum
Рисунок 2. Retrieved continuum spectrum
Рисунок 2. m-dimers spectrum. K
s
eq
=0.028 atm⁻¹
Рисунок 2. s-dimers + m-dimers spectrum
Рисунок 2. s-dimers spectrum. K
s
eq
=0.004 atm⁻¹
Рисунок 234. reteuiueie
Рисунок 2a. Experimental spectrum of H₂O
Рисунок 2a. MTCKD-2.5 spectrum
Рисунок 2a. Retrieved continuum
Рисунок 2a. m-dimers spectrum. K
s
eq
=0.028 atm⁻¹
Рисунок 2a. s-dimers + m-dimers spectrum
Рисунок 2a. s-dimers spectrum. K
s
eq
=0.004 atm⁻¹
Рисунок 3. Burch, D.E., et al. (1984) (296K, 2400 - 2800 cm⁻¹)
Рисунок 3. CI W.E.Bicknell et al. (2006), self, (298K)
Рисунок 3. CI W.E.Bicknell et al. (2006), total (298K)
Рисунок 3. CRDS D. Mondelain, et al. (2015) (298K)
Рисунок 3. D. Mondelain, et al. (2013) (296K)
Рисунок 3. D. Mondelain, et al. (2014) (302K)
Рисунок 3. FTS I.V. Ptashnik, et al. (2011) (293K)
Рисунок 3. FTS I.V. Ptashnik, et al. (2015) (287K)
Рисунок 3. FTS Yu.I.Baranov et al. (2011) (311K)
Рисунок 3. I.V. Ptashnik, et al. (2013) (289.5K)
Рисунок 3. MTCKD-2.5 (2010) (296K)
Рисунок 3. OF-CEAS (Grenoble, 2015) (297K)
Рисунок 3. R.H.Tipping et al. (1995) (296K)
Рисунок 5. Asymptotic (4250 cm⁻¹)
Рисунок 5. D. Mondelain, et al. (2015) (4250 cm⁻¹, CRDS)
Рисунок 5. D. Mondelain, et al. (2015) (4250 cm⁻¹, OF-CEAS)
Рисунок 5. I.V. Ptashnik, et al. (2011) (4250 cm⁻¹)
Рисунок 5. I.V. Ptashnik, et al. (2013) (4250 cm⁻¹)
Рисунок 5. MT
C
KD 2.5 model (4250 cm⁻¹)
Рисунок 5a. D. Mondelain, et al. (2015) (4301 cm⁻¹, CRDS)
Рисунок 5a. D. Mondelain, et al. (2015) (4301 cm⁻¹, OF-CEAS)
Рисунок 5a. I.V. Ptashnik, et al. (2011) (4301 cm⁻¹)
Рисунок 5a. I.V. Ptashnik, et al. (2013) (4301 cm⁻¹)
Рисунок 5a. MT-CKD 2.5 model (4301 cm⁻¹)
Рисунок 5a. Temperature dependence of the form exp (D/kT) (4301 cm⁻¹)
Рисунок 5b. D. Mondelain, et al. (2015) (4723 cm⁻¹, OF-CEAS)
Рисунок 5b. I.V. Ptashnik, et al. (2011) (4723 cm⁻¹)
Рисунок 5b. I.V. Ptashnik, et al. (2013) (4723 cm⁻¹)
Рисунок 5b. MT-CKD 2.5 model (4723 cm⁻¹)
Рисунок 5b. Temperature dependence of the form exp (D/kT) (4723 cm⁻¹)
Рисунок 6. I.V. Ptashnik, et al. (2013) (2400 cm⁻¹)
Рисунок 6. Burch, D.E., et al. (1984) (2400 cm⁻¹)
Рисунок 6. Burch, D.E., et al. (1984) (2500 cm⁻¹)
Рисунок 6. Burch, D.E., et al. (1984) (2600 cm⁻¹)
Рисунок 6. FTS Baranov, Yu.I., et al. (2011) (2400 cm⁻¹)
Рисунок 6. FTS Baranov, Yu.I., et al. (2011) (2600 cm⁻¹)
Рисунок 6. FTS Baranov, et al. (2011) (2500 cm⁻¹)
Рисунок 6. FTS I.V. Ptashnik, et al. (2011) (2400 cm⁻¹)
Рисунок 6. FTS I.V. Ptashnik, et al. (2011) (2500 cm⁻¹)
Рисунок 6. FTS I.V. Ptashnik, et al. (2011) (2600 cm⁻¹)
Рисунок 7. D. Mondelain, et al. (2015), (5875 cm⁻¹)
Рисунок 7. I.V. Ptashnik, et al. (2011), (5875 cm⁻¹)
Рисунок 7. I.V. Ptashnik, et al. (2013), (5875 cm⁻¹)
Рисунок 7. MT-CKD 2.5 model (5875 cm⁻¹)
Рисунок 7a. D. Mondelain, et al. (2015), (6121 cm⁻¹)
Рисунок 7a. I.V. Ptashnik, et al. (2011), (6121 cm⁻¹)
Рисунок 7a. I.V. Ptashnik, et al. (2013), (6121 cm⁻¹)
Рисунок 7a. MT-CKD 2.5 model (6121 cm⁻¹)
Рисунок 7a. W.E. Bicknell, et al. (2006), (6121 cm⁻¹)
Рисунок 7b. D. Mondelain, et al. (2015), (6665 cm⁻¹)
Рисунок 7b. I.V. Ptashnik, et al. (2011), (6665 cm⁻¹)
Рисунок 7b. I.V. Ptashnik, et al. (2013), (6665 cm⁻¹)
Рисунок 7b. MT-CKD 2.5 model (6665 cm⁻¹)
Рисунок 8. CRDS D. Mondelain, et al. (2015) (298K)
Рисунок 8. FTS Baranov, Yu.I. (2011) (339K)
Рисунок 8. FTS I.V. Ptashnik, et al. (2012) (350K)
Рисунок 8. FTS I.V. Ptashnik, et al. (2012) (372K)
Рисунок 8. FTS I.V. Ptashnik, et al. (2012) (402K)
Рисунок 8. FTS I.V. Ptashnik, et al. (2012) (431K)
Рисунок 8. MTCKD-2.5
Рисунок 8. R.H.Tipping, et al. (1995). Far wings model
Рисунок 9. FTS I.V. Ptashnik, et al. (1046 hPa H₂O)
Рисунок 9. FTS with SCLS (665 hPa H₂O)
Рисунок 9. FTS with SCLS (900 hPa H₂O)
Рисунок 9. MTCKD-2.5
Рисунок 12a. Bicknell W., et al. (2006)
Рисунок 12a. MT CKD 2.5.2 model
Рисунок 12a. Mondelain et al. (2015)
Рисунок 12a. Ptashnik et al. (2012, 2013)
Рисунок 12a. This work
Рисунок 10. Height profiles of CH₄-Ar. (0< H <45 km)
Рисунок 10. Height profiles of CH₄-Ar. (75< H <100 km)
Рисунок 10. Height profiles of CH₄-CH₄. (0< H <45 km)
Рисунок 10. Height profiles of CH₄-CH₄. (75< H <100 km)
Рисунок 10. Height profiles of CH₄-N₂. (0< H <45 km)
Рисунок 10. Height profiles of CH₄-N₂. (75< H <100 km)
Рисунок 10. Height profiles of N₂-H₂. (0< H <45 km)
Рисунок 10. Height profiles of N₂-H₂. (75< H <100 km)
Рисунок 10. Height profiles of N₂-N₂. (0< H <45 km)
Рисунок 10. Height profiles of N₂-N₂. (75< H <100 km)
Рисунок 2. Configuration CBS(D,T,Q)
Рисунок 2. Configuration aug-cc-PVDZ
Рисунок 2. Configuration aug-cc-pVQZ+bf
Рисунок 2. Configuration aug-cc-pVQZ
Рисунок 2. Configuration aug-cc-pVTZ+bf
Рисунок 2. Configuration aug-cc-pVTZ
Рисунок 3. CBS(D,T,Q)
Рисунок 3. aug-cc-pVDZ+bf
Рисунок 3. aug-cc-pVDZ
Рисунок 3. aug-cc-pVQZ+bf
Рисунок 3. aug-cc-pVQZ
Рисунок 3. aug-cc-pVTDZ+bf
Рисунок 3. aug-cc-pVTZ
Рисунок 7. Calculated equilibrium constant for true bound CH₄-Ar dimer
Рисунок 8. Experimental zeroth spectral moment. P. Dore, et al. (1990)
Рисунок 8. Integration of the spectral profiles
Рисунок 8. The current work
Рисунок 9. The true dimer contribution to the total intensity of CH₄–Ar
Рисунок 1. Bicknell W.E. et al. [2006]
Рисунок 1. Bicknell et al. (2006)
Рисунок 1. Burch D.E., et al. (1984) Experiment (296K, 400-2640cm⁻¹)
Рисунок 1. Fulghum S.F. et al. (1991)
Рисунок 1. MT-CKD₂.8 model
Рисунок 1. Ptashnik, I.V., et al. (2013) (289K, 1200-7500 cm⁻¹)
Рисунок 1. Yu.I. Baranov, et al. (2011) (T=311K)
Рисунок 13. Bicknell, W. E. et al.(2006)
Рисунок 13. Bicknell, W. E., et al. (2006)
Рисунок 13. Burch D.E., et al. (1984) (296K, 2400-2640cm⁻¹)
Рисунок 13. Fulghum, S. F., et al. (1991)
Рисунок 13. MT-CKD₂.8 model
Рисунок 13. Mondelain, D., et al. (2014)
Рисунок 13. Mondelain, D., et al. (2015)
Рисунок 13. This work (CRDS)
Рисунок 13. This work (OF-CEAS)
Рисунок 13. Ventrillard, I., et al. (2015)
Рисунок 1b. Table 2. Self-Continuum Absorption Cross Sections of Water Vapor
Таблица 1c. Self-Continuum Absorption Cross Sections of Water Vapor
Рисунок 1d. Table 4. Self-Continuum Absorption Cross Sections of Water Vapor
Рисунок 21a. CRDS-DFB
Рисунок 21a. CRDS-ECDL
Рисунок 21a. MT-CKD₂.8 model
Рисунок 21a. The recom mended value
Рисунок 22a. CRDS-DFB
Рисунок 22a. CRDS-ECDL
Рисунок 22a. MT-CKD₂.8 model
Рисунок 22a. The curve corresponds to the recom mended values
Рисунок 4. Baranov, Y. I., et al. (2011) (2000-3100 cm⁻¹)
Рисунок 4. Burch, D. E., et al. (1984) (T=296K, 2400-2630 cm⁻¹)
Рисунок 4. MT-CKD₂.5 model
Рисунок 4. MT-CKD₂.8 * 0.55
Рисунок 4. MT-CKD₂.8 model
Рисунок 4. Ptashnik, I. V., et al. (2011) (T=293K, 2100-2350 cm⁻¹)
Рисунок 4. Ptashnik, I.V., et al., (2013) (289K, 2100-2700 cm⁻¹)
Рисунок 4. This work (T=296K)
Рисунок 5. Baranov, Yu.I., et al. Temperature dependence of the water vapor. (2011). (2288 cm⁻¹)
Рисунок 5. Burch, D.E., et al. (1984) (2400 cm⁻¹)
Рисунок 5. D₀ slope (1100 cm⁻¹)
Рисунок 5. MT-CKD 2.8 model
Рисунок 5. Ptashnik, I.V., et al. (CAVIAR) (2290 cm⁻¹)
Рисунок 5. Ptashnik, I.V., et al. [2013]
Рисунок 5. This work OF-CEAS (2283 cm⁻¹)
Рисунок 9. Bicknell, W. E., et al. (2006) CI
Рисунок 9. Bicknell, W. E., et al. (2006) CI
Рисунок 9. CRDS this work
Рисунок 9. MT-CKD₂.8 model
Рисунок 9. Mondelain et al. (2015) CRDS
Рисунок 9. Ptashnik, I. V., et al. (2011) FTS
Рисунок 9. Ptashnik, I. V., et al., (2013) FTS
Рисунок 9. Ventrillard, I.D., et al. (2015) OF-CEAS
Рисунок 4a. MT-CKD model
Рисунок 4a. Present experiment (1090-1340 cm⁻¹)
Рисунок 4a. Pure CO2 spectrum in arbitrary units
Рисунок 4b. The binary absorption coefficient at 1158 cm⁻¹
Рисунок 4b. The binary absorption coefficient at 1250.5 cm⁻¹
Рисунок 4b. The binary absorption coefficient at 1282.8 cm⁻¹
Рисунок 4b. The binary absorption coefficient at 1310 cm⁻¹
Рисунок 5a. Baranov Yu.I., (2011), Pure CO2 spectrum in arbitrary units
Рисунок 5a. Water–carbon dioxide continuum, experiment
Рисунок 5b. Temperature dependence of the binary absorption coefficients, (2806 cm-1)
Рисунок 5b. Temperature dependence of the binary absorption coefficients, (2825 cm-1)
Рисунок 5b. Temperature dependence of the binary absorption coefficients, (3138 cm-1)
Рисунок 6. Baranov Yu.I., et al. (1984). CO2+He
Рисунок 6. CO2+H2O present study
Рисунок 6. Cousin C., et al. (1985). CO2+N2(O2)
Рисунок 6. Le Doucen R., et al. (1985). Pure CO2
Рисунок 6. Sattarov H., et al. (1983). CO2+Ar
Рисунок 6. Sattarov H., et al. (1983). CO2+H2
Рисунок 6. The v3 CO2 band edge
Рисунок 2. Burch D.E. (1981)
Рисунок 2. Continuum in the 20-90 cm⁻¹ region
Рисунок 2. Extrapolation of the 20-90 cm⁻¹ continuum
Рисунок 2. Extrapolation of the millimeter wave continuum
Рисунок 2. MT CKD 2.5
Рисунок 2. Millimeter wave continuum.
Рисунок 2. The experimental continuum approximation
Рисунок 2. The experimental continuum
Рисунок 4. Approximation (2.73 mbar)
Рисунок 4. Approximation (5.3 mbar)
Рисунок 4. Continuum retrieved from spectra (2.73 mbar)
Рисунок 4. Continuum retrieved from spectra (5.3 mbar)
Рисунок 5. Podobedov V.B., et al. (2008). Experiment
Рисунок 5. Approximation of Burch's data
Рисунок 5. Approximation. Experiment. (14-35 cm⁻¹)
Рисунок 5. Approximation. Experiment. (40-200 cm⁻¹)
Рисунок 5. Burch D.E. (1981) (15-50 cm⁻¹)
Рисунок 5. Burch D.E. (1981) (360-800 cm⁻¹)
Рисунок 5. MT-CKD model
Рисунок 5. Our data - continuum in the microwindows
Рисунок 5. Podobedov V.B., et al. (2008) (Calculation)
Рисунок 5. Slocum D.M., et al. (2015)
Рисунок 6. Continuum determined with the 100 cm⁻¹ cut-off
Рисунок 6. Continuum determined with the 25 cm⁻¹ cut-off
Рисунок 6. Leforestier C., et el. (2010)
Рисунок 6. Scribano Y., et al. (2007)
Рисунок 6. Total dimer absorption (bbd)
Рисунок 6. Total dimer absorption (dma)
Рисунок 5. Normalized absorption coefficient retrieved at 300 Torr
Рисунок 5. Normalized absorption coefficient retrieved at 500 Torr
Рисунок 5. Tonkov M.V., et al. (1996). Normalized absorption coefficient mesured at 20 amagat
Рисунок 5a. Collisions responsible for the formation of ordinary collisions
Рисунок 5a. Collisions responsible for the formation of metastable dimers
Рисунок 5a. Collisions responsible for the formation of stable dimers
Рисунок 5b. Collisions responsible for the formation of metastable dimers
Рисунок 5b. Collisions responsible for the formation of ordinary collisions
Рисунок 5b. Collisions responsible for the formation of stable dimers
Рисунок 6. Metastable dimers CO2-Ar
Рисунок 6. Stable dimers CO2 - Ar
Рисунок 6. Stable state of CO2+Ar
Рисунок 7a. Andreeva G.V, et al. (1990) (T=241K)
Рисунок 7a. Andreeva G.V., et al. (1990) (T=351K)
Рисунок 7a. Spectral function (T=241K)
Рисунок 7a. Spectral function (T=351K)
Рисунок 7b. Mariott, et al. (1984), ..., Dagg, et al (1986). Experimental results.
Рисунок 7b. Spectral function in the microwave region
Рисунок 7c. Andreeva G.V, et al. (1990) (T=295K)
Рисунок 7c. Calculated data. (T=295K)
Рисунок 1. LP with the added wings
Рисунок 1. LP with the wings cut off
Рисунок 1. Lorentz profile (LP)
Рисунок 1a. khi-function
Рисунок 2. Bound dimers
Рисунок 2. Experiment
Рисунок 2. Line wings
Рисунок 2. Metastable dimers
Рисунок 2. Model
Рисунок 2a. Bound dimers
Рисунок 2a. Experimental
Рисунок 2a. Line wing
Рисунок 2a. Metastable dimer
Рисунок 2a. Model
Рисунок 3. Bound dimers
Рисунок 3. Line wings
Рисунок 3. Metastable dimers
Рисунок 3. Model
Рисунок 3. Odintsova, T.A., et al. (2017). Experiment
Рисунок 3a. Bound dimers
Рисунок 3a. Experiment
Рисунок 3a. Line wings
Рисунок 3a. Metastable dimers
Рисунок 3a. Model
Рисунок 10. Approximate function recommended for the CO2 binary coefficient in the region
Рисунок 10. Binary coefficient from CRDS spectra recorded in this work
Рисунок 10. De Bergh C., et al. (1995). Constant value o obtain the best fit of the Venus spectra for the 1.74 mkm window
Рисунок 10. Snels M., et al. (2014). Binary coefficient
Рисунок 2. Extinction coefficient, 0.49 amagat
Рисунок 2. Extinction coefficient, 0.98 amagat
Рисунок 2. Extinction coefficient, 1.47 amagat
Рисунок 2. Extinction coefficient, 2.45 amagat
Рисунок 2. Extinction coefficient, 3.45 amagat
Рисунок 2. Extinction coefficient, 3.96 amagat
Рисунок 2. Extinction coefficient, 5.49 amagat
Рисунок 2. Extinction coefficient, 6.52 amagat
Рисунок 2. Extinction coefficient, 7.58 amagat
Рисунок 2. Extinction coefficient, 8.61 amagat
Рисунок 6a. CRDS spectrum, recorded for a density of 8.61 amagat
Рисунок 6a. The spectra simulations of the CO2 lines with the line mixing effects
Рисунок 6a. The spectra simulations of the CO2 lines without the line mixing effects
Рисунок 6b. (Obs.–Sim.) residuals , with the line mixing effects
Рисунок 6b. (Obs.–Sim.) residuals, without the line mixing effects
Рисунок 14. B. Mate, et al. (1999)
Рисунок 14. Theory exchange
Рисунок 14. Theory spin-orbit
Рисунок 5. Collinear
Рисунок 5. Collinear.
Рисунок 5. H-shaped
Рисунок 5. H-shaped.
Рисунок 5. Isotropic
Рисунок 5. Isotropic .
Рисунок 5. Isotropic..
Рисунок 5. T-shaped
Рисунок 5. T-shaped.
Рисунок 5. X-shaped
Рисунок 5. X-shaped.
Рисунок 1. Absorption spectra at Т = 300 K and РСО2 = 47 atm, L=8 m
Рисунок 1. Absorption spectra at Т = 300 K and РСО2 = 70 atm, L=16 m
Рисунок 1. Absorption spectra at Т = 300 K and РСО2 = 70 atm, L=8 m
Рисунок 2. Absorption spectra, calculated at omega_СО2=12*10^4 atm cm, Р_СО2=30 atm
Рисунок 2. Absorption spectra, calculated at omega_СО2=23*10^4 atm cm, Р_СО2=35 atm
Рисунок 2. Absorption spectra, calculated at omega_СО2=4*10^4 atm cm, Р_СО2=10 atm
Рисунок 2. Absorption spectra, measured at omega_СО2=12*10^4 atm cm, Р_СО2=30 atm
Рисунок 2. Absorption spectra, measured at omega_СО2=23*10^4 atm cm, Р_СО2=35 atm
Рисунок 2. Absorption spectra, measured at omega_СО2=4*10^4 atm cm, Р_СО2=10 atm
Рисунок 5. Absorption coefficient. T = 1200 K
Рисунок 5. Absorption coefficient. T = 1500 K
Рисунок 5. Absorption coefficient. T = 1800 K
Рисунок 5. Absorption coefficient. T = 2100 K
Рисунок 5. Absorption coefficient. T = 2500 K
Рисунок 4. Baranov Yu.I., et al. (2011), (311K, 2000-3000 cm⁻¹)
Рисунок 4. Burch D.E., et al. (1984), (311K, 2400-2700 cm⁻¹)
Рисунок 4. Campargue A., et al. (2016)
Рисунок 4. MT-CKD 3.0 model
Рисунок 4. Ptashnik I.V., et al. (2011), (287K, 2100-2850 cm⁻¹)
Рисунок 4. Ptashnik I.V., et al. (2013), (287K, 2100-2800 cm⁻¹)
Рисунок 4. Ptashnik I.V., et al. (2015), (287K, 2100-2800 cm⁻¹)
Рисунок 4. This work
Рисунок 5. Burch D.E., et al. (1984) (2400-2650 cm⁻¹)
Рисунок 5. Campargue A., et al. (2016) (~2300 cm⁻¹)
Рисунок 5. MT-CKD 2.4 model
Рисунок 5. MT-CKD 2.5 model
Рисунок 5. MT-CKD 3.0 model
Рисунок 5. This work (~2500 cm⁻¹)
Рисунок 6. Baranov Y.I., et al. (2011, 2490 cm⁻¹)
Рисунок 6. Burch D.E., et al. (1971, 2490 cm⁻¹)
Рисунок 6. Burch D.E., et al. (1984, 2490 cm⁻¹)
Рисунок 6. Data MT CKD 3.0
Рисунок 6. Ptashnik I.V., et al. (2011) (2490 cm⁻¹)
Рисунок 6. Ptashnik I.V., et al. (2013) (2490 cm⁻¹)
Рисунок 6. Ptashnik I.V., et al. (2015, 2490 cm⁻¹)
Рисунок 6. Rocher-Casterline B.E., et al. (2011)
Рисунок 6. This work (2490 cm⁻¹)
Рисунок 9. Ptashnik I.V., et al. (2011), (293K, 4200-5000 cm⁻¹)
Рисунок 9. Ptashnik I.V., et al. (2015), (287K, 4200-5500 cm⁻¹)
Рисунок 9. Ptashnik I.V., et al. (2013), (289.5K, 4200-5300 cm⁻¹)
Рисунок 9. Bicknell W.E., et al. (2006)
Рисунок 9. Campargue A., et al. (2016) (4300-4400 cm⁻¹)
Рисунок 9. Campargue A., et al. (2016) (4480-4550 cm⁻¹)
Рисунок 9. MT-CKD 3.0 model
Рисунок 9. Mondelain D., et al. (2015) (~4720 cm⁻¹)
Рисунок 9. This work (4425-4440 zm⁰¹)
Рисунок 9. Ventrillard I., et al. (2015) (2280 cm⁻¹)
Рисунок 9. Ventrillard I., et al. (2015) (4200-4300 cm⁻¹)
Рисунок 9a. This work (4425-4440 cm⁻¹)
Рисунок 9a. This work (4425-4440 cm⁻¹)
Рисунок 9a. MT
C
KD 3.0 model
Рисунок 1. H. Tran, C., et al.(2018 ). Binary absorption coefficient, pure CO2+H2O, T=296 K
Рисунок 1. Binary absorption coefficients, CO2+H2O, T=323 K
Рисунок 1. H. Tran, C., et al. (2011 ). Binary absorption coefficient, pure CO2, T=296 K
Рисунок 1. J.-M. Hartmann, et al. (2011). Binary absorption coefficient, pure CO2, T=296 K
Рисунок 1. Y. I. Baranov, (2016). Binary absorption coefficient, CO2+H2O, T=323 K
Рисунок 1. Self-continuum absorption of water vapour (3007 cm⁻¹)
Рисунок 1. Self-continuum absorption of water vapour (4995.63 cm⁻¹)
Рисунок 1. Self-continuum absorption of water vapour (4998.98 cm⁻¹)
Рисунок 1. Self-continuum absorption of water vapour (5002.05 cm⁻¹)
Рисунок 1. Self-continuum absorption of water vapour (5006.67 cm⁻¹)
Рисунок 3. Ptashnik, I. V., et al. (2011), (293K, 2000-3200 cm⁻¹)
Рисунок 3. Ptashnik, I. V., et al. (2015), (287K, 2000-3100 cm⁻¹)
Рисунок 3. Ptashnik, I. V., et al. (2013), (289.5K, 2100-2700 cm⁻¹)
Рисунок 3. Baranov, Y. I., et al. (2011), (311K, 2050-3100 cm⁻¹)
Рисунок 3. Burch, D. E., et al. (1984), (296K, 2400-2640 cm⁻¹)
Рисунок 3. Campargue, A., et al. (2016), (296.15K, 2490 cm⁻¹)
Рисунок 3. MT-CKD 2.4 model (296K, 2000-3200 cm⁻¹)
Рисунок 3. MT-CKD 2.8 model (296K, 2000-3200 cm⁻¹)
Рисунок 3. MT-CKD 3.0 model (296K, 2000-3200 cm⁻¹)
Рисунок 3. MT-CKD 3.2 model (296K, 2000-3200 cm⁻¹)
Рисунок 3. Richard, L., et al. (2017), (297.3K, 2490 cm⁻¹)
Рисунок 3. This work (298.5K, 3000 cm⁻¹)
Рисунок 6. CRDS measurements (2015-18) (4200-5200 cm⁻¹)
Рисунок 6. MTCKD 3.0
Рисунок 6. MTCKD 3.2
Рисунок 6. Ptashnik et al., (2011) (293K, 4200-5200 cm⁻¹)
Рисунок 6. Ptashnik et al., (2013) (289.5K, 4200-5200 cm⁻¹)
Рисунок 6. Ptashnik et al., (2015) (287K, 4200-5200 cm⁻¹)
Рисунок 6a. CRDS measurement. This work
Рисунок 6a. MTCKD 3.0
Рисунок 6a. MTCKD 3.2
Рисунок 7. Ptashnik, I. V., et al. (2011), (3000 cm⁻¹, CAVIAR)
Рисунок 7. Ptashnik, I. V., et al. (2011), (3000 cm⁻¹, CAVIAR high T)
Рисунок 7. Baranov, Yu. I., et al. (2011) (3000 cm⁻¹)
Рисунок 7. MT
C
KD 3.2 model
Рисунок 7. This work (3000 cm⁻¹)
Рисунок 7. exp(D₀/kT)
Рисунок 7a. Ptashnik, I. V., et al. (2011), (4301 cm⁻¹, CAVIAR)
Рисунок 7a. Ptashnik, I. V., et al. (2011), (4301 cm⁻¹, CAVIAR high T)
Рисунок 7a. Ptashnik, I. V., et al. (2013), (4301 cm⁻¹)
Рисунок 7a. MT-CKD 3.2 model
Рисунок 7a. This work (4301 cm⁻¹)
Рисунок 7a. exp(D₀/kT)
Рисунок 7b. Ptashnik, I. V., et al. (2011), (5006 cm⁻¹, CAVIAR high T)
Рисунок 7b. Ptashnik, I. V., et al. (2011), (5006 cm⁻¹, CAVIAR)
Рисунок 7b. Ptashnik, I. V., et al. (2013) (5006 cm⁻¹)
Рисунок 7b. MT-CKD 3.2 model
Рисунок 7b. This work (5006 cm⁻¹)
Рисунок 7b. exp(D₀/kT)
Рисунок 8. Baranov Yu.I., et al. (2015) (2000-3500 cm⁻¹)
Рисунок 8. Bicknell W.E., et al. (2006) (4500-6200 cm⁻¹)
Рисунок 8. Burch D.E., et al. (1984) (2100-2700 cm⁻¹)
Рисунок 8. MT-CKD 3.0 model
Рисунок 8. MT-CKD 3.2 model
Рисунок 8. Ptashnik, I. V., et al. (2011) (1600-5800 cm⁻¹)
Рисунок 8. Ptashnik, I. V., et al. (2013) (1500-7800 cm⁻¹)
Рисунок 8. Ptashnik, I. V., et al. (2015) (1900-7700 cm⁻¹)
Рисунок 8. This work (2000-8500 cm⁻¹)
Рисунок 2. Baranov Yu.I. (2016). Experiment (1100-1400 cm⁻¹)
Рисунок 2. Calculation with empirical khi factor (0-1600 cm⁻¹)
Рисунок 2. Calculation with khi factor from Ma Q., et al. (2016) (0-1600 cm⁻¹)
Рисунок 2. Present experiment (0-1600 cm⁻¹)
Рисунок 3. H₂O+CO₂. khee+-function, empirical
Рисунок 3. H₂O+CO₂. khee- - function, empirical
Рисунок 3. Ma Q., et al. (1992). H₂O+CO₂. khee+ function
Рисунок 3. Ma Q., et al. (1992). H₂O+CO₂. khee- - function
Рисунок 2. MTCKD-3.2 self-continuum model
Рисунок 2. Paynter D.J., et al. (2009) (296K, 1300-2900 cm⁻¹)
Рисунок 2. Paynter D.J., et al. (2009) (330K, 1300-2900 cm⁻¹)
Рисунок 2. Paynter D.J., et al. (2009) (351K, 1300-2900 cm⁻¹)
Рисунок 2. Ptashnik I.V., et al. (2016) (268.5, 1300-2000 cm⁻¹)
Рисунок 2. Ptashnik I.V., et al. (2016) (278.8, 1300-2000 cm⁻¹)
Рисунок 2. Ptashnik I.V., et al. (2016) (288.5, 1300-2000 cm⁻¹)
Рисунок 2a. Mlawer E., et al. (2012) MT-CKD 3.2 self-continuum model
Рисунок 2a. Paynter D.J., et al. (2009) (296K, 3480-3960 cm⁻¹)
Рисунок 2a. Paynter D.J., et al. (2009) (317K, 3480-3960 cm⁻¹)
Рисунок 2a. Paynter D.J., et al. (2009) (336K, 3480-3960 cm⁻¹)
Рисунок 2a. Paynter D.J., et al. (2009) (351K, 3480-3960 cm⁻¹)
Рисунок 2a. Ptashnik I.V., et al. (2016) (268.5, 3480-3960 cm⁻¹)
Рисунок 2a. Ptashnik I.V., et al. (2016) (278.8, 3480-3960 cm⁻¹)
Рисунок 2a. Ptashnik I.V., et al. (2016) (288.4, 3480-3960 cm⁻¹)
Рисунок 3. Continuum (using MTCKD3.2)
Рисунок 3. Continuum (using Hitran2012+UCL + MTCKD3.2)
Рисунок 3. Continuum (using Hitran2012+UCL)
Рисунок 3. Continuum (using Hitran2016)
Рисунок 3a. Continuum (using MTCKD3.2)
Рисунок 3a. Continuum (using Hitran2012+UCL + MTCKD3.2)
Рисунок 3a. Continuum (using Hitran2012+UCL)
Рисунок 3a. Continuum (using Hitran2016)
Рисунок 4. (1548 cm⁻¹) Experiment
Рисунок 4. (1548 cm⁻¹) Fitting
Рисунок 4. (1548 cm⁻¹) MTCKD
Рисунок 4. (1614 cm⁻¹) Experiment
Рисунок 4. (1614 cm⁻¹) Fitting
Рисунок 4. (1614 cm⁻¹) MTCKD
Рисунок 4. (1691 cm⁻¹) Experiment
Рисунок 4. (1691 cm⁻¹) Fitting
Рисунок 4. (1691 cm⁻¹) MTCKD
Рисунок 4. (3618 cm⁻¹) Experiment
Рисунок 4. (3618 cm⁻¹) Fitting
Рисунок 4. (3618 cm⁻¹) MTCKD
Рисунок 4. (3666 cm⁻¹) Experiment
Рисунок 4. (3666 cm⁻¹) Fitting
Рисунок 4. (3666 cm⁻¹) MTCKD
Рисунок 4. (3720 cm⁻¹) Experiment
Рисунок 4. (3720 cm⁻¹) Fitting
Рисунок 4. (3720 cm⁻¹) MTCKD
Рисунок 4. (3848 cm⁻¹) Experiment
Рисунок 4. (3848 cm⁻¹) Fitting
Рисунок 4. (3848 cm⁻¹) MTCKD
Рисунок 5. Fitting of b-dimer model spectrum (272.8K, 1300-1960 cm⁻¹, K
eq
=0.036)
Рисунок 5. Fitting of q-dimer model spectrum (272.8K, 1300-1960 cm⁻¹, K
eq
=0.07)
Рисунок 5. The experimental continuum (272.8K, 1300-1960 cm⁻¹)
Рисунок 5. The resulting total model (sum of b- and q-dimer) absorption
Рисунок 5a. Fitting of b-dimer model spectrum (277.8K, 3480-3960 cm⁻¹, K
eq
=0.027)
Рисунок 5a. Fitting of q-dimer model spectrum (272.8K, 3480-3960 cm⁻¹, K
eq
=0.075)
Рисунок 5a. The experimental continuum (272.8K, 3480-3960 cm⁻¹)
Рисунок 5a. The resulting total model (sum of b- and q-dimer) absorption
Рисунок 5b. Fitting of b-dimer model spectrum (288.4K, 1300-1960 cm⁻¹, K
eq
=0.031)
Рисунок 5b. Fitting of q-dimer model spectrum (288.4K, 1300-1960 cm⁻¹, K
eq
=0.076)
Рисунок 5b. The experimental continuum (288.4K, 1300-1960 cm⁻¹)
Рисунок 5b. The resulting total model (sum of b- and q-dimer) absorption
Рисунок 5c. Fitting of b-dimer model spectrum (288.4K, 3480-3960 cm⁻¹, K
eq
=0.022)
Рисунок 5c. Fitting of q-dimer model spectrum 288.4K, 3480-3960 cm⁻¹, K
eq
=0.076)
Рисунок 5c. The experimental continuum (288.4K, 3480-3960 cm⁻¹)
Рисунок 5c. The resulting total model (sum of b- and q-dimer) absorption
Рисунок 5d. Fitting of b-dimer model spectrum (296K, 1300-1960 cm⁻¹, K
eq
=0.024)
Рисунок 5d. Fitting of q-dimer model spectrum (296K, 1300-1960 cm⁻¹, K
eq
=0.070)
Рисунок 5d. The experimental continuum (296K, 1300-1960 cm⁻¹)
Рисунок 5d. The resulting total model (sum of b- and q-dimer) absorption
Рисунок 5e. Fitting of b-dimer model spectrum (296K, 3480-3960 cm⁻¹, K
eq
=0.020)
Рисунок 5e. Fitting of q-dimer model spectrum (296K, 3480-3960 cm⁻¹, K
eq
=0.071)
Рисунок 5e. The experimental continuum (296K, 3480-3960 cm⁻¹)
Рисунок 5e. The resulting total model (sum of b- and q-dimer) absorption
Рисунок 5f. Fitting of q-dimer model spectrum (351K, 1300-1960 cm⁻¹, K
eq
=0.01)
Рисунок 5f. Fitting of q-dimer model spectrum (351K, 1300-1960 cm⁻¹, K
eq
=0.04)
Рисунок 5f. The experimental continuum (351K, 1300-1960 cm⁻¹)
Рисунок 5f. The resulting total model (sum of b- and q-dimer) absorption
Рисунок 5g. Fitting of b-dimer model spectrum (351K, 3480-3960 cm⁻¹, K
eq
=0.007)
Рисунок 5g. Fitting of q-dimer model spectrum (351K, 3480-3960 cm⁻¹, K
eq
=0.03)
Рисунок 5g. The experimental continuum (351K, 3480-3960 cm⁻¹)
Рисунок 5g. The resulting total model (sum of b- and q-dimer) absorption
Рисунок 6. Buryak I., et al. (2015). Equilibrium constants of the bound water dimer
Рисунок 6. Equilibrium constants of the bound water dimer (1600 cm⁻¹)
Рисунок 6. Equilibrium constants of the bound water dimer (3600 cm⁻¹)
Рисунок 6. Scribano et al. (2006). Equilibrium constants of the bound water dimer
Рисунок 6. Serov et al. (2014) (Microwaves). Equilibrium constants of the bound water dimer
Рисунок 6a. Equilibrium constants of the quasibound water dimer (1600 cm⁻¹)
Рисунок 6a. Equilibrium constants of the quasibound water dimer (3600 cm⁻¹)
Рисунок 7. Leforestier C. (2014). Total equilibrium constant (K
b+q
)
Рисунок 7. Ruscic B. (2013). Total equilibrium constant (K
b+q
)
Рисунок 7. Total equilibrium constant (K
b+q
), derived in this work (1600 cm⁻¹)
Рисунок 7. Total equilibrium constant (K
b+q
), derived in this work. (3600 cm⁻¹)
Рисунок 7. Tretyakov, M.Yu, et al. (2012). Total equilibrium constant (K
b+q
)
Рисунок 7a. The ratio of the total equilibrium constant
Рисунок 8. Relative contribution of b-dimers among all dimer pairs in band (1600 cm⁻¹)
Рисунок 8. Relative contribution of b-dimers among all dimer pairs in band (3600 cm⁻¹)
Рисунок 8. The average values of relative contribution of b-dimers in both bands
Рисунок 8a. Epifanov S., et al. (1997)
Рисунок 8a. RRHO (s=4.0; D
e
=1105)
Рисунок 8a. RRHO (s=6.5; D
e
=1105)
Рисунок 8a. Schenter G., et al. (2002). Classic partition function
Рисунок 8a. Schenter G., et al. (2002). Quantum partition function
Рисунок 8a. This work (average)
Рисунок 3. Mondelain D., et al. (2014)
Рисунок 3. Polynomial fit
Рисунок 3. This work
Рисунок 8. MT-CKD 2.5 model
Рисунок 8. MT-CKD 3.2 model
Рисунок 8. Mondelain D., et al. (2015) (297K, 4250 cm⁻¹)
Рисунок 8. Ptashnik I.V., (2012). (400K, 4000-5200 cm⁻¹)
Рисунок 8. This work. Foreign-continuum cross-section, C
F
. (297K, 4400-5000 cm⁻¹)
Рисунок 10. A smoothing of the experimental values (50-500 cm⁻¹)
Рисунок 10. Experimental values (50-500 cm⁻¹)
Рисунок 10. Lower uncertainty of HITRAN parameters (50-500 cm⁻¹)
Рисунок 10. Upper uncertainty of HITRAN parameters (50-500 cm⁻¹)
Рисунок 11. Delta nu
wing
=11 cm⁻¹ (50-500 cm⁻¹)
Рисунок 11. Delta nu
wing
=5.5 cm⁻¹ (50-500 cm⁻¹)
Рисунок 11. Delta nu
wing
=88 cm⁻¹ (50-500 cm⁻¹)
Рисунок 11. Experimental continuum (50-500 cm⁻¹)
Рисунок 4. Burch D.E. (1982) (10-50 cm⁻¹)
Рисунок 4. Furashov N.I., et al. (1996) (49-51 cm⁻¹)
Рисунок 4. Koshelev M.A., et al. (2011) (4-5 cm⁻¹)
Рисунок 4. Koshelev M.A., et al. (2018) (3-8 cm⁻¹)
Рисунок 4. MT-CKD 3.2 model
Рисунок 4. Odintsova T.A., et al. (2017) (50-52 cm⁻¹)
Рисунок 4. Podobedov V.B., et al. (2008) (21-50 cm⁻¹)
Рисунок 4. Present data (15-36 cm⁻¹)
Рисунок 4. Scribano Y., et al. (2007) (2-60 cm⁻¹)
Рисунок 4. Slocum D.M., et al. (2015) (50 cm⁻¹)
Рисунок 4. T. Kuhn, et al. (2002) (5-12 cm⁻¹)
Рисунок 9. Burch D.E. (1982) (0-50 cm⁻¹)
Рисунок 9. Burch D.E. (1982) (350-800 cm⁻¹)
Рисунок 9. Furashov N.I., et al. (1995) (0-800 cm⁻¹)
Рисунок 9. MT-CKD 3.2 model (0-800 cm⁻¹)
Рисунок 9. Odintsova T.A., et al. (2017) (50-200 cm⁻¹)
Рисунок 9. Podobedov V.B., et al. (2008) (20-80 cm⁻¹)
Рисунок 9. Present data (50-500 cm⁻¹)
Рисунок 9. Slocum D.M., et al. (2015) (50 cm⁻¹)
Рисунок 5. Absorption cross section for the methanol-in-air (298K, 101575Pa, 4990-5009 cm⁻¹)
Рисунок 5. Absorption cross section for the methanol-in-air (298K, 26859Pa, 4990-5009 cm⁻¹)
Рисунок 5. Absorption cross section for the methanol-in-air (298K, 5490Pa, 4990-5009 cm⁻¹)
Рисунок 5. Absorption cross section for the methanol-in-air (298K, 833Pa, 4990-5009 cm⁻¹)
Рисунок 5.
Рисунок 12. Foreign continua Gauss-smoothed at 296K
Рисунок 12. Foreign continua smoothed 353K
Рисунок 12. Foreign continua smoothed at 296K
Рисунок 12. Foreign continua unsmoothed at 353K
Рисунок 12. Uncertainty of 296K continuum from baseline errors
Рисунок 15a. Bound water dimer
Рисунок 15a. Calculation
Рисунок 15a. Difference between observed and calculated data at 296°K
Рисунок 15a. Experimental
Рисунок 15a. Quasi-bound water dimer
Рисунок 15a. nu₁
,para
Рисунок 15a. nu₁
,perp
Рисунок 15a. nu₂
,para
Рисунок 15a. nu₂
,perp
Рисунок 15a. nu₃
,para
Рисунок 15a. nu₃
,perp
Рисунок 15a. nu₉
,perp
Рисунок 16. CAVIAR (T=293K)
Рисунок 16. CAVIAR (T=351K)
Рисунок 16. MT-CKD 3.2 (T=296K)
Рисунок 16. MT-CKD 3.2 (T=353K)
Рисунок 16. This work (T=296K)
Рисунок 16. This work (T=353K)
Рисунок 18. Difference between foreign continuum and Lorentz wings more than 100 cm⁻¹
Рисунок 18. Foreign continuum + base term + wing correction
Рисунок 18. MT-CKD 3.2
Рисунок 18. Paynter D.J. et al. (2009)
Рисунок 19. MT-CKD 3.2 calculation
Рисунок 19. Scaled foreign continuum from present work
Рисунок 19. Scaled smoothed Lorentz sum (smoothinglow-resolution band shape)
Рисунок 51a. Bound water dimer
Рисунок 51a. Calculation
Рисунок 51a. Difference between observed and calculated data at 296K
Рисунок 51a. Experimental
Рисунок 51a. Quasi-bound water dimer
Рисунок 51a. nu₁
,para
Рисунок 51a. nu₁
,perp
Рисунок 51a. nu₂
,para
Рисунок 51a. nu₂
,perp
Рисунок 51a. nu₃
,para
Рисунок 51a. nu₃
,perp
Рисунок 51a. nu₉
,perp
Рисунок 9. 10 x uncertainty
Рисунок 9. SC from air-broadened spectra
Рисунок 9. SC from self-broadened spectra
Рисунок 4. Fitting of our data (296K)
Рисунок 4. MT
C
KD₂.5 (296K)
Рисунок 4. MT
C
KD₃.2 (296K)
Рисунок 4. Ptashnik I.V. et al (2012)
Рисунок 4. This work (296K)
Рисунок 4. Binary absorption coefficient. Experimental data
Рисунок 4. Binary absorption coefficient. Method 1
Рисунок 4. Binary absorption coefficient. Method 2
Рисунок 4. Binary absorption coefficient. Method 3
Рисунок 4. Binary absorption coefficient. Method 4
Рисунок 4. Binary absorption coefficient. Sum of Lorentz curves
Рисунок 5. Binary absorption coefficient. Method 1
Рисунок 5. Binary absorption coefficient. Method 2
Рисунок 5. Binary absorption coefficient. Method 3
Рисунок 5. Binary absorption coefficient. Method 4
Рисунок 5. Binary absorption coefficient. Sum of Lorentz curves
Рисунок 5. Boissoles J.,et al. (1989). Binary absorption coefficient. Experimental data
Рисунок 5. Sattarov K,, et al.(1983). Binary absorption coefficient. Experimental data
Рисунок 11. Absorbance. Calculation with line-mixing, T=2360 K, P=16.5 atm
Рисунок 11. Absorbance. Calculation with line-mixing, T=2571 K, P=58.3 atm
Рисунок 11. Absorbance. Calculation with line-mixing, T=2665 K, P=45.2 atm
Рисунок 11. Absorbance. Calculation without line-mixing, T=2360 K, P=16.5 atm
Рисунок 11. Absorbance. Calculation without line-mixing, T=2571 K, P=58.3 atm
Рисунок 11. Absorbance. Calculation without line-mixing, T=2665 K, P=45.2 atm
Рисунок 11. Absorbance. T=2360 K, P=16.5 atm
Рисунок 11. Absorbance. T=2571 K, P=58.3 atm
Рисунок 11. Absorbance. T=2665 K, P=45.2 atm
Таблица 10. Dimer-based model coefficient. T=260K
Таблица 10. Dimer-based model coefficient. T=296K
Таблица 10. MT_CKD-3.2 ccoefficient. T=296K
Таблица 10. MT_CKD-3.2 coefficients. T=260K
Таблица 6. Water vapour self-continuum absorption. Empiric. T=398K
Таблица 6. Water vapour self-continuum absorption. Empiric. T=431K
Таблица 6. Water vapour self-continuum absorption. Experiment. T=398K
Таблица 6. Water vapour self-continuum absorption. Experiment. T=431K
Рисунок 9e. Experimental continuum - dimer
Рисунок 9f. Experimental continuum - dimer
Рисунок 9k. Experimental continuum - dimer
Рисунок 9l. Experimental continuum - dimer
Рисунок 1a
Рисунок 1b
Рисунок 1c
Рисунок 1d
Рисунок 1a
Рисунок 1a
Рисунок 6. Burch et al.(1984,1985). Absorption coefficien (300-1000 cm-1, T=296K)
Рисунок 6. Values calculated with one line shape function
Рисунок 6. Values calculated with two line shape functions
Выбор составного графика
-------------------
Рисунок 1
Рисунок 2
Рисунок 4
Рисунок 1
Рисунок 3
Рисунок 1
Рисунок 1
Рисунок 2
Рисунок 1
Рисунок 1
Рисунок 4a
Рисунок 4b
Рисунок 4c
Рисунок 4d
Рисунок 3
Рисунок 1
Рисунок 4
Рисунок 1
Рисунок 1
Рисунок 2
Рисунок 5
Рисунок 1
Рисунок 2
Рисунок 3
Рисунок 4
Рисунок 5
Рисунок 2a
Рисунок 6
Рисунок 7
Рисунок 1
Рисунок 4
Рисунок 1
Рисунок 8
Рисунок 11
Рисунок 15
Рисунок 1
Рисунок 1
Рисунок 1
Рисунок 2
Рисунок 3
Рисунок 2
Рисунок 3
Рисунок 4
Рисунок 2
Рисунок 3
Рисунок 4
Рисунок 14
Рисунок 15
Рисунок 12
Рисунок 16
Рисунок 17
Рисунок 18
Рисунок 2
Рисунок 1
Рисунок 6
Рисунок 4
Рисунок 1
Рисунок 3
Рисунок 4
Рисунок 1
Рисунок 5
Рисунок 2
Рисунок 1
Рисунок 4
Рисунок 4
Рисунок 4
Рисунок 5
Рисунок 6a
Рисунок 6b
Рисунок 6c
Рисунок 6
Рисунок 7
Рисунок 2
Рисунок 3
Рисунок 6
Рисунок 6a
Рисунок 7a
Рисунок 7
Рисунок 1
Рисунок 2
Рисунок 1
Рисунок 2
Рисунок 1
Рисунок 2
Рисунок 3
Рисунок 4
Рисунок 5
Рисунок 6
Рисунок 7
Рисунок 8
Рисунок 9
Рисунок 10
Рисунок 11
Рисунок 12
Рисунок 13
Рисунок 14
Рисунок 15a
Рисунок 15b
Рисунок 16a
Рисунок 16b
Рисунок 6
Рисунок 1
Рисунок 1a
Рисунок 1
Рисунок 3
Рисунок 1b
Рисунок 4
Рисунок 1
Рисунок 10
Рисунок 4
Рисунок 8
Рисунок 1
Рисунок 1
Рисунок 5
Рисунок 6
Рисунок 7
Рисунок 8
Рисунок 1
Рисунок 1
Рисунок 2
Рисунок 1
Рисунок 2
Рисунок 1
Рисунок 3
Рисунок 1
Рисунок 1
Рисунок 4
Рисунок 1
Рисунок 3a
Рисунок 3
Рисунок 4
Рисунок 4a
Рисунок 5
Рисунок 1
Рисунок 2
Рисунок 3
Рисунок 4
Рисунок 5
Рисунок 2
Рисунок 1
Рисунок 2
Рисунок 11
Рисунок 1
Рисунок 2
Рисунок 2
Рисунок 3
Рисунок 1
Рисунок 1
Рисунок 1a
Рисунок 1b
Рисунок 1c
Рисунок 2
Рисунок 3
Рисунок 1
Рисунок 1
Рисунок 1a
Рисунок 1b
Рисунок 1c
Рисунок 2
Рисунок 2
Рисунок 8
Рисунок 6a
Рисунок 6
Рисунок 1
Рисунок 2
Рисунок 1
Рисунок 8
Рисунок 1
Рисунок 5
Рисунок 1
Рисунок 2
Рисунок 1
Рисунок 2
Рисунок 3
Рисунок 2
Рисунок 3
Рисунок 3
Таблица 1
Рисунок 4
Рисунок 1a
Рисунок 1b
Рисунок 2
Рисунок 1b
Таблица 1
Рисунок 1c
Рисунок 1a
Рисунок 1b
Рисунок 2
Рисунок 1
Рисунок 1
Рисунок 2
Рисунок 3
Рисунок 1
Рисунок 2
Рисунок 3
Рисунок 4
Рисунок 5
Рисунок 3
Рисунок 1
Рисунок 2
Рисунок 1
Рисунок 1
Рисунок 1
Рисунок 1
Рисунок 2
Рисунок 4
Рисунок 1
Рисунок 5
Рисунок 1
Рисунок 1
Рисунок 9
Рисунок 10
Рисунок 11
Рисунок 2
Рисунок 3
Рисунок 1
Рисунок 5
Рисунок 3
Рисунок 4
Рисунок 5
Рисунок 6
Рисунок 2
Рисунок 6
Рисунок 7
Рисунок 1
Рисунок 2
Рисунок 1a
Рисунок 1b
Рисунок 1c
Рисунок 2a
Рисунок 2b
Рисунок 2c
Рисунок 5
Таблица 1
Таблица 2
Рисунок 3
Таблица 1A
Таблица 1B
Таблица 1C
Рисунок 1
Рисунок 1a
Рисунок 3
Рисунок 4
Рисунок 1
Рисунок 2
Рисунок 3
Рисунок 4
Рисунок 5
Рисунок 6
Рисунок 7
Рисунок 8
Рисунок 5
Рисунок 2
Рисунок 1
Рисунок 3
Рисунок 1
Рисунок 2
Рисунок 2a
Рисунок 2b
Рисунок 2c
Рисунок 3a
Рисунок 3b
Рисунок 3c
Рисунок 2a
Рисунок 2b
Таблица 2
Рисунок 2c
Рисунок 3
Рисунок 1
Рисунок 2
Рисунок 1
Рисунок 3
Рисунок 9
Рисунок 1
Рисунок 2
Рисунок 4
Рисунок 5
Рисунок 8
Рисунок 9
Рисунок 10
Рисунок 6
Рисунок 7
Рисунок 1a
Рисунок 1
Рисунок 1
Таблица 1
Рисунок 2
Рисунок 6
Рисунок 1
Рисунок 2
Рисунок 4
Рисунок 5
Рисунок 7
Рисунок 8
Рисунок 10
Рисунок 11
Рисунок 13
Рисунок 13a
Рисунок 8
Рисунок 1a
Рисунок 1b
Рисунок 1
Таблица 1a
Таблица 1b
Рисунок 1
Рисунок 1
Рисунок 5
Рисунок 1
Рисунок 2
Рисунок 1
Рисунок 1
Рисунок 2
Рисунок 3
Рисунок 4
Рисунок 1
Рисунок 4
Рисунок 2
Рисунок 3
Рисунок 4
Рисунок 1
Рисунок 1
Рисунок 2
Рисунок 2
Рисунок 3
Рисунок 1
Рисунок 2
Рисунок 4
Таблица 1
Рисунок 3
Рисунок 1
Рисунок 2
Таблица 3
Рисунок 4a
Рисунок 4b
Рисунок 4
Рисунок 1
Рисунок 2
Рисунок 5
Рисунок 7
Рисунок 8
Рисунок 10
Рисунок 13a
Рисунок 13
Рисунок 1a
Рисунок 1
Рисунок 3
Рисунок 4
Рисунок 5
Рисунок 1
Рисунок 1
Рисунок 1
Рисунок 2
Рисунок 1
Рисунок 1a
Рисунок 1b
Рисунок 2
Рисунок 1
Рисунок 2
Рисунок 3
Рисунок 1
Рисунок 1
Рисунок 2
Рисунок 3
Рисунок 3
Рисунок 1
Рисунок 1
Рисунок 8
Рисунок 7
Рисунок 1
Рисунок 1
Рисунок 1
Рисунок 2
Таблица 3
Таблица 5
Таблица 6
Таблица 3
Рисунок 2
Рисунок 1
Рисунок 1a
Рисунок 2a
Рисунок 2
Рисунок 1
Рисунок 2
Рисунок 3
Рисунок 4
Рисунок 6
Рисунок 7
Рисунок 8
Рисунок 4
Таблица 7
Рисунок 4
Рисунок 5
Рисунок 4
Рисунок 1
Рисунок 1
Таблица 1
Рисунок 5a
Рисунок 5b
Рисунок 5c
Рисунок 6
Рисунок 9a
Рисунок 9b
Таблица 2
Рисунок 2a
Рисунок 2b
Рисунок 2c
Таблица 3
Рисунок 3a
Рисунок 3b
Рисунок 3c
Рисунок 5
Рисунок 3
Рисунок 3a
Рисунок 3b
Рисунок 3c
Рисунок 1a
Рисунок 1
Таблица 1
Таблица 1
Рисунок 4a
Рисунок 4b
Рисунок 5a
Рисунок 5b
Рисунок 5c
Рисунок 6
Рисунок 1a
Рисунок 1b
Рисунок 1
Рисунок 3
Рисунок 5
Рисунок 6
Рисунок 7
Рисунок 1
Рисунок 2
Рисунок 3
Рисунок 4
Рисунок 8a
Рисунок 8
Рисунок 2
Рисунок 3
Рисунок 4
Рисунок 5
Рисунок 6
Рисунок 2
Рисунок 3
Рисунок 5
Рисунок 2a
Рисунок 2
Рисунок 1a
Рисунок 1b
Рисунок 1c
Рисунок 2a
Рисунок 2b
Рисунок 2c
Таблица 4
Таблица 5
Рисунок 4
Рисунок 4a
Рисунок 4b
Рисунок 4c
Рисунок 1a
Рисунок 1
Рисунок 1b
Рисунок 1c
Рисунок 1d
Рисунок 1a
Рисунок 1
Рисунок 1b
Рисунок 1c
Рисунок 1d
Рисунок 1
Рисунок 2
Рисунок 3a
Рисунок 3
Рисунок 4
Рисунок 1
Рисунок 1
Рисунок 2
Таблица 1
Рисунок 1
Рисунок 1a
Таблица 1
Рисунок 1b
Рисунок 4
Рисунок 1
Таблица 1
Таблица 2
Рисунок 1
Рисунок 3
Рисунок 4a
Рисунок 4
Рисунок 1
Рисунок 2
Рисунок 3
Рисунок 1a
Рисунок 1
Рисунок 1a
Рисунок 1b
Рисунок 1c
Рисунок 1d
Рисунок 1e
Рисунок 1f
Рисунок 1g
Рисунок 1
Рисунок 2
Рисунок 3
Рисунок 4
Рисунок 1
Рисунок 1a
Рисунок 1b
Рисунок 1
Рисунок 1a
Рисунок 2a
Рисунок 2
Рисунок 1
Рисунок 2
Рисунок 2
Рисунок 1
Рисунок 2
Рисунок 3
Рисунок 4
Рисунок 1
Рисунок 19
Рисунок 19a
Рисунок 19b
Рисунок 20a
Рисунок 20
Рисунок 20b
Рисунок 20c
Рисунок 24a
Рисунок 24
Рисунок 6
Рисунок 7
Рисунок 8
Рисунок 1
Рисунок 1a
Рисунок 1b
Рисунок 2
Рисунок 3
Рисунок 4
Рисунок 5
Рисунок 6
Рисунок 1
Рисунок 2
Рисунок 3a
Рисунок 3b
Рисунок 6
Таблица 1
Рисунок 2a
Рисунок 2b
Рисунок 2c
Рисунок 2
Рисунок 3a
Рисунок 3b
Рисунок 3
Рисунок 3c
Рисунок 4a
Рисунок 4b
Рисунок 4c
Рисунок 4
Рисунок 5a
Рисунок 5b
Рисунок 5c
Рисунок 5d
Рисунок 5
Рисунок 6
Рисунок 1
Рисунок 2a
Рисунок 2b
Рисунок 2
Рисунок 3
Рисунок 4
Рисунок 6
Рисунок 7
Рисунок 8
Рисунок 1
Рисунок 1
Таблица 1
Рисунок 3
Рисунок 5
Рисунок 7
Таблица 1
Рисунок 4a
Рисунок 4b
Рисунок 5
Рисунок 6
Рисунок 3a
Рисунок 3
Рисунок 6
Таблица 1
Рисунок 5a
Рисунок 5b
Рисунок 5c
Рисунок 1a
Рисунок 1
Рисунок 2
Рисунок 3
Рисунок 4
Рисунок 1
Рисунок 5
Рисунок 9
Рисунок 7
Рисунок 7
Рисунок 8
Рисунок 4
Рисунок 5
Рисунок 7
Рисунок 1
Рисунок 1
Рисунок 2
Рисунок 1
Рисунок 5a
Рисунок 5b
Рисунок 1
Рисунок 3
Рисунок 1
Рисунок 3
Рисунок 4a
Рисунок 4b
Рисунок 1
Рисунок 1
Рисунок 2
Рисунок 2
Рисунок 3
Рисунок 4
Рисунок 4
Рисунок 5
Рисунок 7
Рисунок 8a
Рисунок 8
Рисунок 9
Рисунок 11
Рисунок 1
Рисунок 2
Рисунок 4
Рисунок 5
Рисунок 6
Рисунок 7
Рисунок 1
Рисунок 2
Рисунок 1
Рисунок 2
Рисунок 1
Рисунок 8
Рисунок 11
Рисунок 1
Таблица 1a
Таблица 1b
Таблица 2a
Таблица 2b
Рисунок 2
Рисунок 1
Рисунок 2
Рисунок 2a
Рисунок 2b
Рисунок 5a
Рисунок 5b
Рисунок 6a
Рисунок 6b
Рисунок 8
Рисунок 2a
Рисунок 2b
Рисунок 1
Рисунок 4
Рисунок 5
Рисунок 6
Рисунок 13
Рисунок 14
Рисунок 3
Рисунок 4
Рисунок 7
Рисунок 1
Рисунок 3
Рисунок 1a
Рисунок 1b
Рисунок 3
Рисунок 4
Рисунок 4
Рисунок 8
Рисунок 9
Рисунок 1
Рисунок 2
Рисунок 3
Рисунок 4
Рисунок 7
Рисунок 9
Рисунок 10
Рисунок 11
Рисунок 7
Рисунок 8
Рисунок 9
Рисунок 10
Рисунок 11
Рисунок 12
Рисунок 13
Рисунок 3
Рисунок 3
Рисунок 1
Рисунок 2a
Рисунок 2
Рисунок 2b
Рисунок 2c
Рисунок 3b
Рисунок 3
Рисунок 3a
Рисунок 4b
Рисунок 4
Рисунок 4a
Рисунок 8
Рисунок 9
Рисунок 1
Рисунок 2
Рисунок 3
Рисунок 6
Рисунок 7
Рисунок 8
Рисунок 3
Рисунок 2
Рисунок 3
Рисунок 4
Рисунок 5
Рисунок 6
Рисунок 1
Рисунок 2
Рисунок 3
Рисунок 4a
Рисунок 4
Рисунок 7
Рисунок 12a
Рисунок 12
Рисунок 13
Рисунок 14
Рисунок 14
Рисунок 16
Рисунок 1
Рисунок 2a
Рисунок 2b
Рисунок 2c
Рисунок 7
Рисунок 4
Рисунок 5
Рисунок 6
Рисунок 7
Рисунок 8
Рисунок 1
Рисунок 2
Рисунок 3
Рисунок 4
Рисунок 11
Рисунок 12
Рисунок 4
Рисунок 5
Рисунок 1
Рисунок 2a
Рисунок 5a
Рисунок 5c
Рисунок 6a
Рисунок 6b
Рисунок 1
Рисунок 2
Рисунок 3
Рисунок 5
Рисунок 6
Рисунок 4
Рисунок 6
Рисунок 7
Рисунок 8
Рисунок 10a
Рисунок 10b
Рисунок 2a
Рисунок 2b
Рисунок 3a
Рисунок 3b
Рисунок 3
Рисунок 5
Рисунок 6
Рисунок 7
Рисунок 8
Рисунок 9
Рисунок 10
Рисунок 11
Рисунок 12
Рисунок 4
Рисунок 6
Рисунок 8
Рисунок 10
Рисунок 8
Рисунок 5a
Рисунок 5b
Рисунок 7a
Рисунок 7b
Рисунок 9a
Рисунок 9b
Рисунок 9c
Рисунок 1
Рисунок 1a
Рисунок 1b
Рисунок 1c
Рисунок 2a
Рисунок 2b
Рисунок 2c
Таблица 2
Рисунок 9
Рисунок 10
Рисунок 1
Рисунок 1
Рисунок 3
Рисунок 7a
Рисунок 7b
Рисунок 1
Рисунок 1
Рисунок 2
Рисунок 2
Рисунок 5a
Рисунок 5
Рисунок 6
Рисунок 8
Рисунок 1
Рисунок 5
Рисунок 10a
Рисунок 10b
Рисунок 7a
Рисунок 7b
Рисунок 9a
Рисунок 9b
Рисунок 5a
Рисунок 6a
Рисунок 7a
Рисунок 8
Рисунок 10a
Рисунок 10b
Рисунок 11
Рисунок 2a
Рисунок 2b
Рисунок 2
Рисунок 5
Рисунок 1
Рисунок 2
Рисунок 4
Рисунок 5
Рисунок 6
Рисунок 7a
Рисунок 9
Рисунок 6
Рисунок 2a
Рисунок 2b
Рисунок 2
Рисунок 3
Рисунок 2
Рисунок 4
Рисунок 10a
Рисунок 10b
Таблица 2a
Рисунок 3a
Рисунок 3b
Рисунок 6
Рисунок 7a
Рисунок 7b
Рисунок 1
Рисунок 1
Рисунок 2
Рисунок 5a
Рисунок 5b
Рисунок 6a
Рисунок 6b
Рисунок 1
Рисунок 10
Рисунок 11
Рисунок 12
Рисунок 13
Рисунок 5a
Рисунок 5b
Рисунок 5a
Рисунок 5b
Рисунок 1
Рисунок 2
Рисунок 1
Рисунок 4
Рисунок 5
Рисунок 6
Рисунок 8
Рисунок 9
Рисунок 1
Рисунок 6
Рисунок 2
Рисунок 3a
Рисунок 3b
Рисунок 4a
Рисунок 4b
Рисунок 4c
Рисунок 4d
Рисунок 4e
Рисунок 5
Рисунок 2
Рисунок 3
Рисунок 4
Рисунок 1
Рисунок 2
Рисунок 1
Рисунок 8
Рисунок 9
Рисунок 1
Рисунок 3a
Рисунок 3
Рисунок 4
Рисунок 5
Рисунок 5a
Рисунок 2
Рисунок 6
Рисунок 1
Рисунок 3a
Рисунок 3
Рисунок 7
Рисунок 3a
Рисунок 3
Рисунок 4
Рисунок 3
Рисунок 2
Рисунок 3
Рисунок 4
Рисунок 5
Рисунок 1
Рисунок 2
Рисунок 3a
Рисунок 3
Рисунок 10
Рисунок 2a
Рисунок 2b
Рисунок 4
Рисунок 6
Таблица 1
Рисунок 4
Рисунок 5
Рисунок 6
Рисунок 4
Рисунок 8
Рисунок 6
Рисунок 7
Рисунок 8
Рисунок 1
Рисунок 2
Рисунок 2a
Рисунок 3
Рисунок 4
Рисунок 6
Рисунок 1
Рисунок 1
Рисунок 1
Рисунок 1
Рисунок 2
Рисунок 3
Рисунок 2
Рисунок 2a
Рисунок 3a
Рисунок 3
Рисунок 3
Рисунок 3
Рисунок 4
Рисунок 5
Рисунок 4
Рисунок 1
Рисунок 2
Рисунок 3
Рисунок 2
Рисунок 4
Рисунок 6
Рисунок 8
Рисунок 10
Рисунок 13
Рисунок 1
Рисунок 2
Рисунок 4
Рисунок 1
Рисунок 2
Рисунок 5
Рисунок 3a
Рисунок 3
Рисунок 1
Рисунок 1
Рисунок 1
Рисунок 1
Рисунок 4a
Рисунок 4
Рисунок 5a
Рисунок 5
Рисунок 5
Рисунок 6
Рисунок 9
Рисунок 12
Рисунок 13
Рисунок 15a
Рисунок 15b
Рисунок 15
Рисунок 15c
Рисунок 17
Рисунок 17a
Рисунок 17b
Рисунок 17c
Рисунок 1
Рисунок 1
Рисунок 2
Рисунок 1
Рисунок 1b
Рисунок 1c
Рисунок 1d
Рисунок 1e
Рисунок 1f
Рисунок 4
Рисунок 5
Рисунок 1
Рисунок 2
Рисунок 3
Рисунок 4a
Рисунок 4b
Рисунок 4
Рисунок 4c
Рисунок 5
Рисунок 6A
Рисунок 8A
Рисунок 17a
Рисунок 17
Рисунок 18
Рисунок 20
Рисунок 21
Рисунок 6B
Рисунок 7A
Рисунок 7B
Рисунок 7C
Рисунок 2
Рисунок 3
Рисунок 5
Рисунок 6
Рисунок 7
Рисунок 9
Рисунок 10
Рисунок 4
Рисунок 1
Рисунок 1
Рисунок 2
Рисунок 2
Рисунок 3
Рисунок 1
Рисунок 2a
Рисунок 2b
Рисунок 2c
Рисунок 2d
Рисунок 2
Рисунок 2e
Рисунок 2f
Рисунок 3
Рисунок 4
Рисунок 5
Рисунок 6
Рисунок 1
Рисунок 1a
Рисунок 1b
Рисунок 1c
Рисунок 2
Рисунок 2a
Рисунок 2b
Рисунок 1
Рисунок 4A
Рисунок 4B
Рисунок 2
Рисунок 7a
Рисунок 7b
Рисунок 7c
Рисунок 1
Рисунок 1
Рисунок 6
Рисунок 4a
Рисунок 4
Рисунок 4b
Рисунок 5
Рисунок 5a
Рисунок 5b
Рисунок 7
Рисунок 7
Рисунок 8
Рисунок 3-17
Рисунок 3c-22
Рисунок 13
Рисунок 4
Рисунок 1a
Рисунок 1
Рисунок 10a
Рисунок 10b
Рисунок 13a
Рисунок 13b
Рисунок 4a
Рисунок 4b
Рисунок 8
Рисунок 9
Рисунок 10
Рисунок 2
Рисунок 2a
Рисунок 4a
Рисунок 4
Рисунок 3a
Рисунок 4a
Рисунок 4
Рисунок 5
Рисунок 7
Рисунок 7a
Рисунок 10
Рисунок 5
Рисунок 3
Рисунок 4
Рисунок 2a
Рисунок 2
Рисунок 2c
Рисунок 2
Рисунок 3
Рисунок 3
Рисунок 5a
Рисунок 5b
Рисунок 10
Рисунок 2
Рисунок 1
Рисунок 1a
Рисунок 1b
Рисунок 1c
Рисунок 1d
Рисунок 1e
Рисунок 1f
Рисунок 1g
Рисунок 2
Рисунок 4
Рисунок 8
Рисунок 9
Рисунок 2
Рисунок 3a
Рисунок 3b
Рисунок 5a
Рисунок 5b
Рисунок 5c
Рисунок 5d
Рисунок 5e
Рисунок 6
Рисунок 2
Рисунок 5
Рисунок 6
Рисунок 7
Рисунок 8
Рисунок 6
Рисунок 6a
Рисунок 6b
Рисунок 4
Рисунок 5a
Рисунок 5b
Рисунок 3
Рисунок 8
Рисунок 4a
Рисунок 4
Рисунок 1a
Рисунок 1b
Рисунок 3a
Рисунок 3b
Рисунок 3c
Рисунок 7
Рисунок 2
Рисунок 3b
Рисунок 3c
Рисунок 3
Рисунок 3a
Рисунок 5
Рисунок 1
Рисунок 1a
Рисунок 1b
Рисунок 2b
Рисунок 2
Рисунок 3
Рисунок 3a
Рисунок 3b
Рисунок 3
Рисунок 3a
Рисунок 4a
Рисунок 4
Рисунок 1a
Рисунок 1b
Рисунок 1c
Рисунок 1d
Рисунок 3a
Рисунок 3
Рисунок 5a
Рисунок 5b
Рисунок 5c
Рисунок 8a
Рисунок 8b
Рисунок 9a
Рисунок 9b
Рисунок 9c
Рисунок 6
Рисунок 7
Рисунок 6
Рисунок 10a
Рисунок 10b
Рисунок 5A
Рисунок 6
Рисунок 7
Рисунок 8a
Рисунок 8
Рисунок 10
Рисунок 3
Рисунок 4a
Рисунок 4b
Рисунок 4c
Рисунок 4d
Рисунок 4e
Рисунок 4f
Рисунок 6a
Рисунок 6b
Рисунок 6c
Рисунок 1
Рисунок 6
Рисунок 1a
Рисунок 3a
Рисунок 4
Рисунок 5
Рисунок 1
Рисунок 1b
Рисунок 2c
Рисунок 1
Рисунок 7
Рисунок 9
Рисунок 2
Рисунок 13
Рисунок 10a
Рисунок 10b
Рисунок 11a
Рисунок 11b
Рисунок 12a
Рисунок 12b
Рисунок 12c
Рисунок 12d
Рисунок 3a
Рисунок 3b
Рисунок 6a
Рисунок 6b
Рисунок 7a
Рисунок 7b
Рисунок 7c
Рисунок 8a
Рисунок 8b
Рисунок 8c
Рисунок 9a
Рисунок 9b
Рисунок 9c
Рисунок 9d
Рисунок 3
Рисунок 5
Рисунок 6
Рисунок 3
Рисунок 4
Рисунок 5
Рисунок 2
Рисунок 2
Рисунок 3
Рисунок 4
Рисунок 4
Рисунок 5
Рисунок 6
Рисунок 7b
Рисунок 7
Рисунок 7a
Рисунок 5
Рисунок 1
Рисунок 2
Рисунок 3
Рисунок 2
Рисунок 4
Рисунок 4a
Рисунок 5
Рисунок 5a
Рисунок 6b
Рисунок 6c
Рисунок 6а
Рисунок 1a
Рисунок 1
Рисунок 2
Рисунок 4
Рисунок 1
Рисунок 2a
Таблица 1
Рисунок 3
Рисунок 3
Рисунок 5
Рисунок 3a
Рисунок 3b
Рисунок 4a
Рисунок 4b
Рисунок 5
Рисунок 7a
Рисунок 7b
Рисунок 8
Рисунок 9a
Рисунок 9b
Рисунок 9c
Рисунок 4
Рисунок 5
Рисунок 7
Рисунок 8a
Рисунок 8b
Рисунок 1
Рисунок 2
Рисунок 3
Рисунок 10
Рисунок 4
Рисунок 5
Рисунок 6
Рисунок 7
Рисунок 8
Рисунок 9
Рисунок 10
Рисунок 11
Рисунок 2
Рисунок 6
Рисунок 7
Рисунок 8
Рисунок 1a
Рисунок 1b
Рисунок 2a
Рисунок 2b
Рисунок 2c
Рисунок 3a
Рисунок 3b
Рисунок 3c
Рисунок 5
Рисунок 8a
Рисунок 5
Рисунок 6
Рисунок 7
Рисунок 9
Рисунок 4
Рисунок 1
Рисунок 2
Рисунок 3
Рисунок 6
Рисунок 7
Рисунок 10
Рисунок 11
Рисунок 2
Рисунок 10
Рисунок 16
Рисунок 6
Рисунок 3
Рисунок 3a
Рисунок 4a
Рисунок 4
Рисунок 2
Рисунок 2a
Рисунок 2b
Рисунок 2
Рисунок 3a
Рисунок 3
Рисунок 1
Рисунок 2
Рисунок 3
Рисунок 2
Рисунок 6
Рисунок 8
Рисунок 1a
Рисунок 1b
Рисунок 2a
Рисунок 2
Рисунок 3
Рисунок 8
Рисунок 9
Рисунок 9a
Рисунок 10
Рисунок 1
Рисунок 4
Рисунок 5
Рисунок 6
Рисунок 6a
Рисунок 6b
Рисунок 1a
Рисунок 1
Рисунок 2
Рисунок 8
Рисунок 9
Рисунок 11
Рисунок 4
Рисунок 5a
Рисунок 5b
Рисунок 5c
Рисунок 5d
Рисунок 6a
Рисунок 8a
Рисунок 8b
Рисунок 3
Рисунок 4
Рисунок 5a
Рисунок 5
Рисунок 7
Рисунок 8
Рисунок 9
Рисунок 1
Рисунок 3
Рисунок 4
Рисунок 6a
Рисунок 6b
Рисунок 7a
Рисунок 7b
Рисунок 2a
Рисунок 2
Рисунок 2b
Рисунок 2c
Рисунок 2d
Рисунок 2e
Рисунок 2
Рисунок 3
Рисунок 4
Рисунок 5
Рисунок 2a
Рисунок 2
Рисунок 3
Рисунок 5a
Рисунок 5b
Рисунок 5
Рисунок 6
Рисунок 7a
Рисунок 7
Рисунок 7b
Рисунок 8
Рисунок 9
Рисунок 12a
Рисунок 2
Рисунок 3
Рисунок 8
Рисунок 10
Рисунок 1
Рисунок 4
Рисунок 5
Рисунок 9
Рисунок 13
Рисунок 21a
Рисунок 22a
Рисунок 4a
Рисунок 4b
Рисунок 5a
Рисунок 5b
Рисунок 6
Рисунок 2
Рисунок 4
Рисунок 5
Рисунок 6
Рисунок 5
Рисунок 5a
Рисунок 5b
Рисунок 6
Рисунок 7a
Рисунок 7b
Рисунок 7c
Рисунок 1
Рисунок 2a
Рисунок 2
Рисунок 3a
Рисунок 3
Рисунок 2
Рисунок 6a
Рисунок 6b
Рисунок 10
Рисунок 14
Рисунок 5
Рисунок 1
Рисунок 2
Рисунок 5
Рисунок 4
Рисунок 5
Рисунок 6
Рисунок 9a
Рисунок 9
Рисунок 1
Рисунок 1
Рисунок 3
Рисунок 6a
Рисунок 6
Рисунок 7b
Рисунок 7
Рисунок 7a
Рисунок 8
Рисунок 2
Рисунок 3
Рисунок 2
Рисунок 2a
Рисунок 3
Рисунок 3a
Рисунок 4
Рисунок 5a
Рисунок 5b
Рисунок 5c
Рисунок 5
Рисунок 5d
Рисунок 5e
Рисунок 5f
Рисунок 5g
Рисунок 6a
Рисунок 6
Рисунок 7
Рисунок 8a
Рисунок 8
Рисунок 3
Рисунок 8
Рисунок 4
Рисунок 9
Рисунок 10
Рисунок 11
Рисунок 9
Рисунок 12
Рисунок 15a
Рисунок 16
Рисунок 18
Рисунок 19
Рисунок 51a
Рисунок 4
Рисунок 4
Рисунок 5
Рисунок 11
Таблица 6
Таблица 10
Рисунок 1
Рисунок 6
Просмотр составных рисунков
INTAS grants 00-189, 03-51-3394, гранты РФФИ 02-07-90139, 05-07-90196, 08-07-00318, 13-07-00411